Phosphorus Sorption by Saline Soils of Western Transbaikalia
- Authors: Sosorova S.B.1, Merkusheva M.G.1, Boloneva L.N.1, Lavrentieva I.N.1
-
Affiliations:
- Institute of General and Experimental Biology SB RAS
- Issue: No 10 (2023)
- Pages: 1230-1243
- Section: SOIL CHEMISTRY
- URL: https://journals.rcsi.science/0032-180X/article/view/138255
- DOI: https://doi.org/10.31857/S0032180X22601414
- EDN: https://elibrary.ru/ULLZWW
- ID: 138255
Cite item
Full Text
Abstract
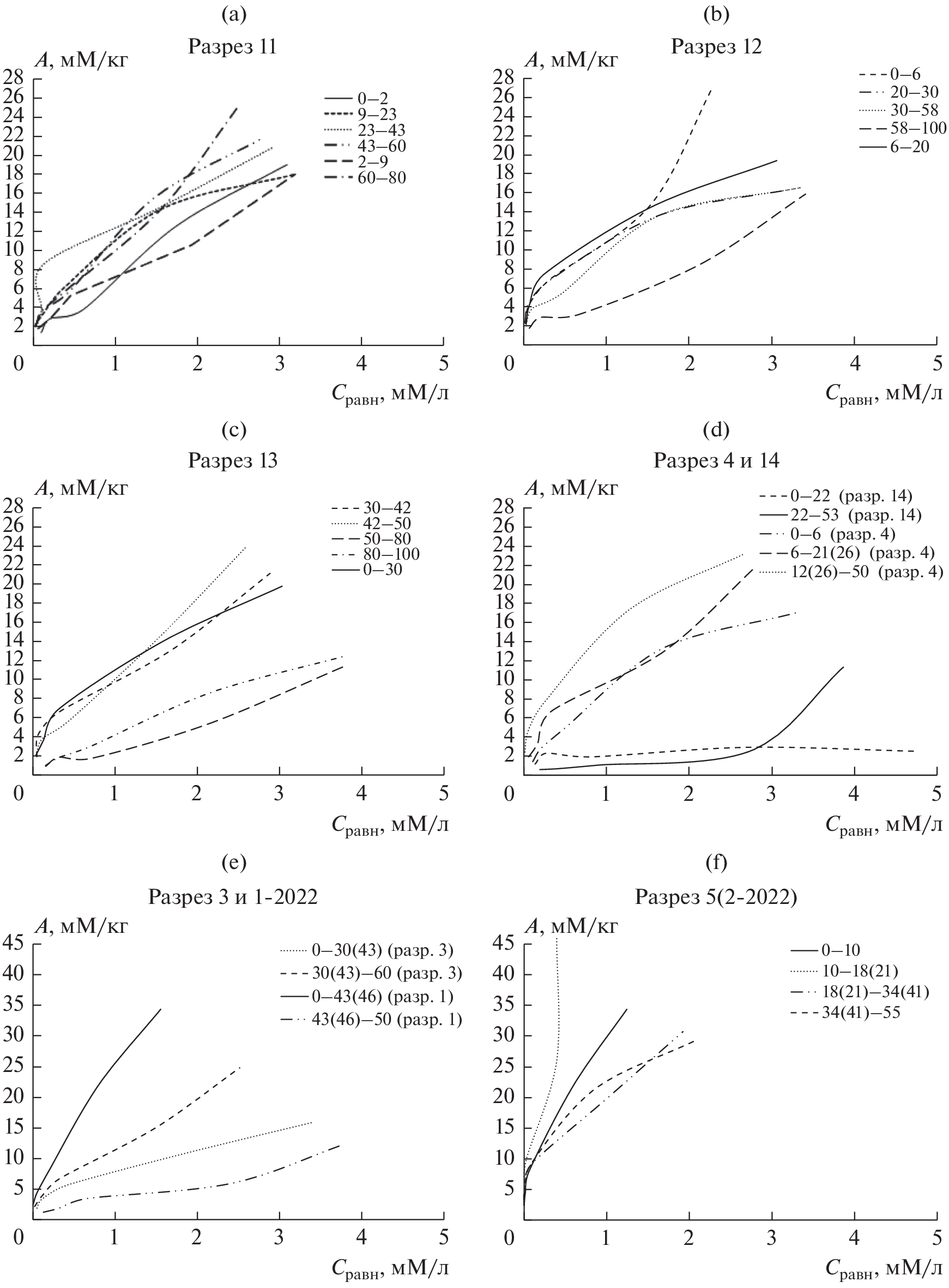
The sorption of phosphorus by salt marshes of the dry-steppe zone of the Republic of Buryatia from an aqueous solution of KN2PO4 in the concentration range from 0.25 to 5.0 mM/L (mmol/L) was studied under static conditions. The interaction time is 24 hours with a soil: solution ratio of 1 : 10. The amount of sorbed phosphorus was calculated from the difference in its content in the initial solutions and in the filtrates of soil suspensions. Based on experimental data, phosphorus adsorption isotherms were constructed by soil and sorption parameters were calculated using the Langmuir and Freundlich equations. Typical and quasi-clay Solonchaks have relatively high sorption properties with respect to phosphorus. The value of the maximum adsorption capacity (Amax) in the humus horizons of these soils varied in the range of 23.04–42.74 mM P/kg, in the underlying horizons 16.26–30.39 mM P/kg. In general, all soils, with the exception of the sorov Solonchaks, had an Amax value in the range of 17.70–42.74 mM P/kg. A low sorption value of phosphorus was found in the Solonchaks of sorovy. The Langmuir adsorption constant (KL) varied in the range of 0.3–14.0 l/mmol. Solonchaks dark and typical most strongly bind phosphorus. The Freundlich coefficient (KF) in the studied soils varied in the humus horizon from 5.34 to 63.43 mM P/kg, in mineral from 1.74 to 22.68 mM P/kg. The distribution coefficient (Kd) ranged from 1.95–145.04 l/kg with high values for quasi-clay Solonchaks and low for sorov Solonchaks. The correlation between Kd and Amax was estimated as average (r = 0.51), Kd and KL – high (r = 0.84, p ≤ 0.05). The studied soils according to the values of SPR (the amount of phosphorus that must be sorbed by the soil to maintain a concentration of P = 0.2 mg/kg (0.0065 mM/l) in soil solution) from (0.0723 to 3.4836 mM/kg) refer to weakly absorbing phosphorus. According to the ability to sorb phosphorus, soils form the following decreasing series: quasi-glay solonchaks > typical solonchaks > dark solonchaks > glay solonchaks >alluvial light humus saline > sorov solonchaks.
About the authors
S. B. Sosorova
Institute of General and Experimental Biology SB RAS
Author for correspondence.
Email: soelma_sosorova@mail.ru
Russia, 670047, Ulan-Ude
M. G. Merkusheva
Institute of General and Experimental Biology SB RAS
Email: soelma_sosorova@mail.ru
Russia, 670047, Ulan-Ude
L. N. Boloneva
Institute of General and Experimental Biology SB RAS
Email: soelma_sosorova@mail.ru
Russia, 670047, Ulan-Ude
I. N. Lavrentieva
Institute of General and Experimental Biology SB RAS
Email: soelma_sosorova@mail.ru
Russia, 670047, Ulan-Ude
References
- Абашеева Н.Е. Агрохимия почв Новосибирск: Наука: Сиб. изд. фирма. 1992. 211 с.
- Агрохимические методы исследования почв. М.: Наука, 1975. 656 с.
- Артемьева З.С. Роль органических и органо-минеральных составляющих в формировании фосфатного режима пахотных горизонтов эрозионно-деградированных агродерново-подзолистых почв // Бюл. Почв. ин-та им. В.В. Докучаева. 2015. Вып. 78. С. 70-86.
- Важенин И.Г., Важенина Е.А. Проблема фосфатов в Забайкалье. Тр. конф. почвоведов Сибири и Дальнего Востока. Новосибирск, 1964. С. 433–441.
- Гамзиков Г.П., Мангатаев Ц.Д., Пигарева Н.Н. Плодородие лугово-черноземных мерзлотных почв. Новосибирск: Наука: Сиб. отд-ние, 1991. 130 с.
- Герасимова М.И., Лебедева И.И., Хитров Н.Б. Индексация почвенных горизонтов: состояние вопроса. проблемы и предложения // Почвоведение. 2013. № 5. С. 627–638. https://doi.org/10.7868/S0032180X14050098
- Гинзбург К.Е. Фосфор основных типов почв СССР. М.: Наука, 1981. 244 с.
- Диалло Т.Б. Сорбция фосфат-ионов тропическими и дерново-подзолистыми почвами и влияние фосфорного удобрения на урожай ячменя. Автореф. канд. … с.-х. наук. СПб., 1993. 27 с.
- Ефремов Е.Н. Плодородие почв и удобрения. Электронный ресурс. AgroXXI.ru. Дата обращения 02.02.2023. https://doi.org/journal/199804/199804001.pdf
- Карпова Д.В., Чижикова Н.П., Колобова Н.А., Кононенко В.В. Анализ состояния фосфора в агросерых почвах Владимирского Ополья // Агрохимический вестник. 2016. № 3. С. 15–19.
- Классификация и диагностика почв России. Смоленск: Ойкумена. 2004. 342 с.
- Курсакова В.С. Влияние минеральных удобрений на урожайность многолетних трав в условиях засоления // Вестник Алтайского гос. аграрного ун-та. 2019. № 7. С. 45–51.
- Макаров М.И. Соединения фосфора в гумусовых кислотах почвы // Почвоведение. 1997. № 4. С. 458–466.
- Мангатаев Ц.Д. Фосфатный фонд автоморфных почв Западного Забайкалья // Вестник Северо-Восточного научного центра ДВО РАН. 2006. № 4. С. 79–83.
- Мангатаев Ц.Д., Меркушева М.Г., Убугунов Л.Л. Cодержание фосфатов в аллювиальных болотных почвах в сухостепной зоне Забайкалья // Плодородие. 2010. № 3. С. 13–15.
- Мангатаев Ц.Д., Пьянкова Н.А., Рузавин Ю.Н. Cодержание фосфатов в целинных и пахотных почвах Западного Забайкалья //Доклады Российской академии сельскохозяйственных наук. 2008. № 4. С. 27–30.
- Меркушева М.Г., Убугунов В.Л. Оценка буферной способности почв Забайкалья к тяжелым металлам // Устойчивость почв к естественным и антропогенным воздействиям. М., 2002. С. 163.
- Минеев В.Г. Агрохимия. М., 1999. 720 с.
- Национальная стратегия сохранения биоразнообразия России. М., 2012. 129 с.
- Панкова Е.И., Новикова А.Ф. Засоленные почвы России (диагностика, география, площади) // Почвоведение. 1995. № 1. С. 73–83.
- Панкова Е.И., Горохова И.Н. Анализ сведений о площади засоленных почв России на конец XX и начало XXI веков // Бюл. Почв. ин-та им. В.В. Докучаева. 2020. Вып. 103. С. 5–33. https://doi.org/10.19047/0136-1694-2020-103-5-33
- Почвоведение. Ч. 1. Почва и почвообразование. М.: Высшая школа, 1988.
- Приемы повышения плодородия почв (известкование. фосфоритование. гипсование): науч.-метод. реком. М.: Росинформагротех, 2021. 116 с.
- Расширенное воспроизводство плодородия почв в интенсивном земледелии Нечерноземья. М.: ВИУА, 1993. 864 с.
- Сосорова С.Б. Сорбция фосфат-иона аллювиальной дерновой почвой // Природа Внутренней Азии. Nature of Inner Asia. 2021. № 2–3. С. 64–72.
- Сосорова С.Б. Сорбция фосфора почвами Западного Забайкалья // Агрохимия. 2022. № 3. С. 3–11.
- Сосорова С.Б., Меркушева М.Г., Болонева Л.Н., Балданова А.Л., Убугунов Л.Л. Содержание микроэлементов в солончаках Западного Забайкалья // Почвоведение. 2016. № 4. С. 459–474. https://doi.org/10.7868/S0032180X16040146
- Тошматова Н.А., Макарова Л.Д. Влияние норм фосфора на динамику его содержания в почве и урожайность люцерны при сульфатном засолении // Докл. ТАСХА. 2013. №3. С. 28–32.
- Убугунов Л.Л., Лаврентьева И.Н., Меркушева М.Г. Биологическая продуктивность и гумусное состояние почв Иволгинской котловины (Западное Забайкалье) // Почвоведение. 2001. № 5. С. 557–568.
- Убугунов Л.Л., Лаврентьева И.Н., Убугунова В.И., Меркушева М.Г. Разнообразие почв Иволгинской котловины: эколого-агрохимические аспекты. Улан-Удэ: БГСХА, 2000. 208 с.
- Убугунов Л.Л., Меркушева М.Г., Андреева И.М. Натрий в экосистемах Забайкалья и его агрохимическая эффективность. Новосибирск: Изд-во СО РАН, 2022. 239 с.
- Убугунов Л.Л., Ральдин Б.Б., Убугунова В.И. Почвенный покров Бурятии как базовый компонент природных ресурсов Байкальского региона. Улан-Удэ: Изд-во БНЦ СО РАН. 2002. 53 с.
- Убугунов Л.Л., Убугунова В.И., Мангатаев Ц.Д. Фосфатный фонд основных типов аллювиальных почв бассейна реки Селенги // Почвоведение. 1998. № 1. С. 67–73.
- Фокин А.Д. Исследования в области кинетики, статики и динамики сорбции фосфатов в почвах с применением фосфора-32. Автореф. … дис. канд. хим. наук. М. 1964. 20 с.
- Шумилова М.А., Петров В.Г. Адсорбционные модели поведения поллютантов в почве Удмуртии // Биодиагностика состояния природных и природно-техногенных систем. Мат-лы ХIX Всерос. Н-ауч.-пр. конф. Киров, 2021. С. 130–134.
- Электронный ресурс: https://soil-db.ru/soilatlas/razdel-6-funkcii-pochv/sorbcionnye-funkcii-pochv
- Asomaning S.K. Processes and Factors Affecting Phosphorus Sorption in Soils://www.intechopen.com/chapters/70866. Al-Rohily et al., 2013. https://doi.org/10.5772/intechopen.90719
- Beji R., Hamdi W., Kesraoui A., Seffen M. Effects of salts on phosphorus adsorption in alkalize Tunisian soil. Euro-Mediterr // J. Environ. Integr. 2017. V. 2. P. 2.
- Bolland M.D., Allen D.G., Barrow N.J. Sorption of phosphorus by soils: how it is measured in Western Australia. Department of Primary Industries and Regional Development. Western Australia. Perth. Bulletin, 2003. 4591 p.
- Börling K. Phosphorus sorption. accumulation and leaching – Effects of long-term inorganic fertilization of cultivated soils. Doctoral thesis. Uppsala: Swedish University of Agricultural Sciences, 2003. 39 p.
- Cantrell I.C., Linderman R.G. Preinoculation of lettuce and onion with VA mycorrhizal fungi reduces deleterious effects of soil salinity // Plant and Soil. 2001. V. 233. P. 269–281.
- Chaudhary E.H., Ranjha A.M., Gill M.A. Mehdi S.M. Phosphorus requirement of maize in relation to soil characteristics // Int. J. Agric. Biol. 2003. № 5. P. 625–629.
- Chimdi A., Gebrekidan H., Tadesse A., Kibret K. Phosphorus Sorption Patterns of Soils from Different Land Use Systems of East Wollega. Ethiopia // American-Eurasian J. Scient. Res. 2003. V. 8. P. 109–116. https://doi.org/10.5829/idosi.aejsr.2013.8.3.12056
- Daniel E., Dodor., Kazuhiro Oya. Phosphate sorption characteristics of major soils in Okinawa. Japan // Communications in Soil Science and Plant Analysis. 2000. V. 31. P. 277–288. https://www.researchgate.net/publication/249073919_ Phosphate_sorption_characteristics_of_major_soils_ in_Okinawa_Japan
- Ding Z., Kheir AMS., Ali MGM., Ali OAM., Abdelaal AIN., Lin X., Zhou Z., Wang B., Liu B., He Z. The integrated effect of salinity. organic amendments. phosphorus fertilizers. and deficit irrigation on soil properties. phosphorus fractionation and wheat productivity // Sci Rep. 2020. V. 10. P. 2736. https://doi.org/10.1038/s41598-020-59650-8
- Fageria N.K., Moreira A. The role of mineral nutrition on root growth of crop plants. // Adv. Agron. 2011. V. 110. P. 251–331.
- Gaurina-Medjimurec N. Hand book of Research on Advancementsin Environmental Engineering. IGI Global, 2014. 660 p
- Gonzalez-Rodriguez S., Fernandez-Marcos M.L. Phosphate sorption and desorption by two contrasting volcanic soils of equatorial Africa // PeerJ. 2018. V. 6. P. e5820. https://doi.org/10.7717/peerj.5820
- Grattan S.R., Grieve C.M. Salinity–mineral nutrient relations in horticultural crops // Sci. Hortic. 1998. V. 78. P. 127–157.
- Gregor M. Mullite-corundum-spinel-cordierite-plagioclase xenolithsin the Skaergaard Marginal Border Group: multi-stage interaction between metasediments and basaltic magma // Contrib Mineral Petr 2005. № 49. P. 96–215.
- Sanchez P., Goro U. The role of phosphorus in agriculture. Symposium proceeding. ASA, CSSA, SSSA. Madison. Wisconsin. USA. 1980. P. 471–514.
- Sato S., Comerford N.B. Influence of soil pH on inorganic phosphorus sorption and desorption in a humid Brazilian Ultisol // Rev. Bras. Ciênc. Solo. 2005. № 29. P. 685–694.
- Scherrer R.A., Howard S.M. The Use of Distribution Coefficients in Quantitative Structure-Activity Relationships // J. Medical Chem.1977. V. 20. P. 53–58. https://doi.org/10.1021/jm00211a010
- Uddin R., Baloch P.A., Iqbal S., Bhutto M.A., Nizamani F.K., Solangi A.H., Sidiqui A.A. Phosphorus Sorption characteristics of four Soil series // J. Anim. Plant Sci. 2014. V. 24. P. 1547–1553
- Wang Y.T., O’Halloran I.P., Zhang T.Q., Hu Q.C., Tan C.S. Phosphorus Sorption Parameters of Soils and Their Relationships with Soil Test Phosphorus. https://doi.org/10.2136/sssaj2014.07.0307
- Wolde Z., Hai W. Phosphorus sorption Isotherms and External phosphorus requirements of some Soils of southern Ethiopia // African Crop Sci. J. 2015. V. 23. P. 89–99. https://www.researchgate.net/publication/277834837_ phosphorus_sorption_isotherms_and_external_phosphorus_requirements_of_some_soils_of_southern_ethiopia.




