Macrofauna and Organic Matter in Postagrogenic Sandy Soils at the NW Smolensk Region (Russia)
- Authors: Terekhova D.A.1,2, Gerasimova M.I.2,3, Khokhryakov V.R.1,4, Enchilik P.R.1,2, Klink G.V.5, Bavshin I.М.1,6, Кuznetsova А.I.1, Shopina О.V.1,2, Geraskina А.P.1, Smirnova M.A.2,3, Semenkov I.N.1,2
-
Affiliations:
- Center for Forest Ecology and Productivity of the Russian Academy of Sciences
- Lomonosov Moscow State University
- Dokuchaev Soil Science Institute
- National Park Sebezhskiy
- Kharkevich Institute for Information Transmission Problems RAS
- National Park Smolensk Lakeland
- Issue: No 8 (2023)
- Pages: 981-996
- Section: DEGRADATION, REHABILITATION, AND CONSERVATION OF SOILS
- URL: https://journals.rcsi.science/0032-180X/article/view/138153
- DOI: https://doi.org/10.31857/S0032180X23600105
- EDN: https://elibrary.ru/OERQKB
- ID: 138153
Cite item
Full Text
Abstract
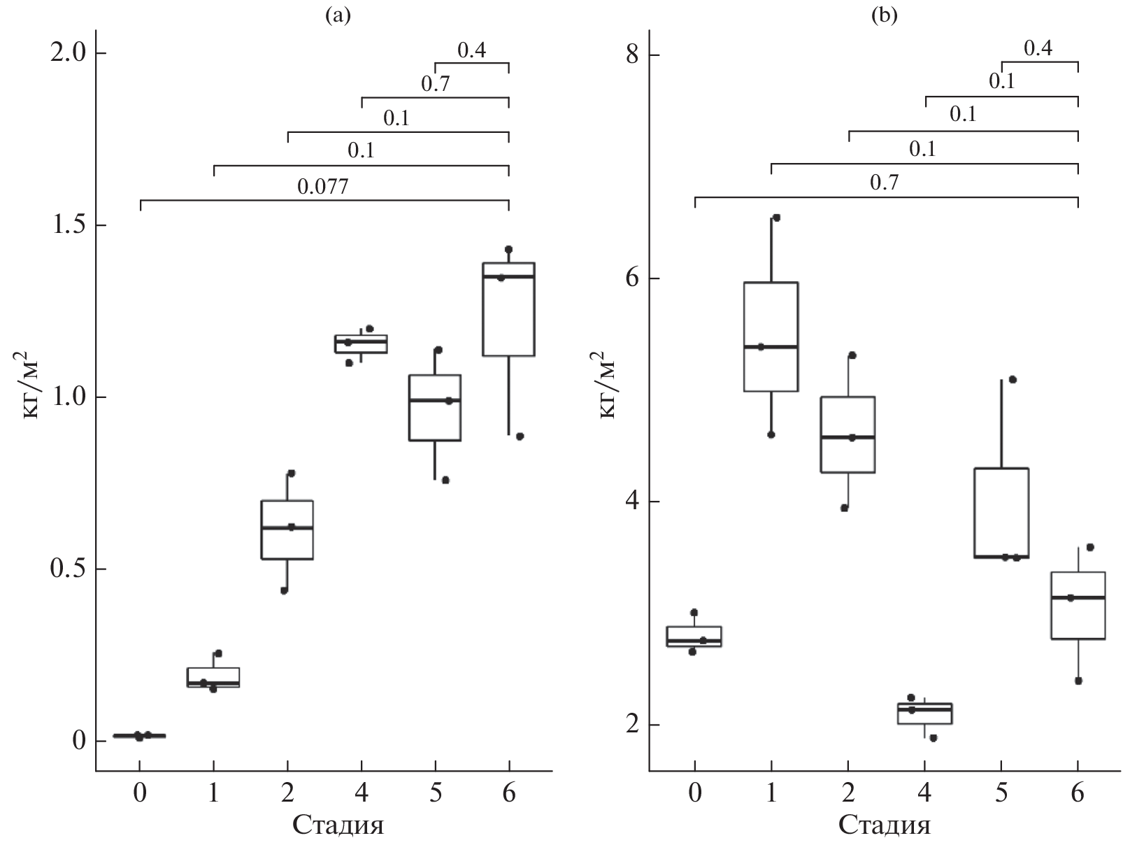
Natural reforestation on the abandoned arable lands is one of the characteristic processes that triggers the transformation of soils, accompanied by the change in the abundance, biomass, and taxonomic structure of the soil macrofauna. The assessment of the restoration potential of the soil properties and soil macrofauna to the natural state, the duration of this period, the dynamics of soil organic carbon stocks, and the role of macrofauna in this process at different stages of post-agrogenic successions is relevant for prediction of changes in ecosystem components and their role in the storage of organic carbon under various land use scenarios. The work is based on the data on organic carbon reserves, morphological properties of soils, abundance, biomass and taxonomic structure of the soil macrofauna of arable lands, primary forests and 5 stages of pine forest restoration (fallow meadows and pine forests of different ages) at the Smolenskoye Poozerye National Park (Smolensk region). It was revealed that in the soils of the 85–100-year-old pine forests, signs of plowing are preserved in the form of the smooth lower boundary of the humus horizon. At the same time, signs of soil regradation appear already at the meadow stage and are expressed in the formation of a thin humus horizon penetrated by roots, which transforms further at the next stages. In the litter and mineral part of the soil, the carbon stocks change non-monotonically with a maximum at the meadow stage and a minimum in 70–80-year-old forests. By the age of 80, the stock of organic carbon in the mineral part of soils is almost restored to the background values. The composition of soil macrofauna changes drastically during the transition from meadow to forest communities. At the initial stages (in agrocenoses and fallow meadows), the fauna of mineral soil horizons predominates: endogeic earthworms and larvae of lamellar beetles. Further, the fauna of organic horizons is restored, among which there is a high proportion of saprophages – epigeic and epi-endogeic earthworms, which contribute to the differentiation of litter. The biomass of saprophages has a negative correlation with the carbon reserves in the mineral part of forest soils, the thickness and reserves of organic carbon in the litter, and a positive correlation with the share of the easily decomposable litter fraction.
About the authors
D. A. Terekhova
Center for Forest Ecology and Productivity of the Russian Academy of Sciences; Lomonosov Moscow State University
Email: semenkov@geogr.msu.ru
Russia, 117997, Moscow; Russia, 119991, Moscow
M. I. Gerasimova
Lomonosov Moscow State University; Dokuchaev Soil Science Institute
Email: semenkov@geogr.msu.ru
Russia, 119991, Moscow; Russia, 119017, Moscow
V. R. Khokhryakov
Center for Forest Ecology and Productivity of the Russian Academy of Sciences; National Park Sebezhskiy
Email: semenkov@geogr.msu.ru
Russia, 117997, Moscow; Russia, 182250, Sebezh
P. R. Enchilik
Center for Forest Ecology and Productivity of the Russian Academy of Sciences; Lomonosov Moscow State University
Email: semenkov@geogr.msu.ru
Russia, 117997, Moscow; Russia, 119991, Moscow
G. V. Klink
Kharkevich Institute for Information Transmission Problems RAS
Email: semenkov@geogr.msu.ru
Russia, 119017, Moscow
I. М. Bavshin
Center for Forest Ecology and Productivity of the Russian Academy of Sciences; National Park Smolensk Lakeland
Email: semenkov@geogr.msu.ru
Russia, 117997, Moscow; Russia, 216270, Przhevalskoe
А. I. Кuznetsova
Center for Forest Ecology and Productivity of the Russian Academy of Sciences
Email: semenkov@geogr.msu.ru
Russia, 117997, Moscow
О. V. Shopina
Center for Forest Ecology and Productivity of the Russian Academy of Sciences; Lomonosov Moscow State University
Email: semenkov@geogr.msu.ru
Russia, 117997, Moscow; Russia, 119991, Moscow
А. P. Geraskina
Center for Forest Ecology and Productivity of the Russian Academy of Sciences
Email: semenkov@geogr.msu.ru
Russia, 117997, Moscow
M. A. Smirnova
Lomonosov Moscow State University; Dokuchaev Soil Science Institute
Email: semenkov@geogr.msu.ru
Russia, 119991, Moscow; Russia, 119017, Moscow
I. N. Semenkov
Center for Forest Ecology and Productivity of the Russian Academy of Sciences; Lomonosov Moscow State University
Author for correspondence.
Email: semenkov@geogr.msu.ru
Russia, 117997, Moscow; Russia, 119991, Moscow
References
- Алексеев Я.Я. Очерк растительности Смоленской губернии // Сельское хозяйство Смоленской губернии. 1924. С. 107–119.
- Ахмалишев К.Б. Влияние земледельческого освоения на свойства дерново-подзолистых суглинистых почв современных лесов. Дис. … канд. с.-х. н. М.: Почв. ин-т им. В.В. Докучаева, 2007. 149 с.
- Баранова О.Ю., Номеров Г.Б., Строганова М.Н. Изменение свойств пахотных дерново-подзолистых почв при зарастании их лесом // Почвообразование в лесных биогеоценозах. М.: Наука, 1989. С. 60–78.
- Богатырев Л.Г. О классификации лесных подстилок // Почвоведение. 1990. № 3. С. 118–127.
- Владыченский А.С., Телеснина В.М., Румянцева К.А., Чалая Т.А. Органическое вещество и биологическая активность постагрогенных почв южной тайги на примере Костромской области // Почвоведение. 2013. № 5. С. 518–529. https://doi.org/10.7868/S0032180X1305016X
- Гиляров М.С. (ред). Методы почвенно-зоологических исследований. М.: Наука, 1975. 304 с.
- Дымов А.А. Сукцессии почв в бореальных лесах Республики Коми. М.: ГЕОС, 2020. 318 с. https://doi.org/10.34756/GEOS.2020.10.37828
- Ершов Д.В., Гаврилюк Е.А., Карпухина Д.А., Ковганко К.А. Новая карта растительности центральной части европейской России по спутниковым данным высокой детальности // Доклады АН. 2015. Т. 464. № 5. С. 639–641. https://doi.org/10.7868/S0869565215290289
- Исянова Р.А., Коок В.А. Организационно-экономические условия сельскохозяйственного производства Смоленской области. Комитет по земельным ресурсам и землеустройству Смоленской области. Смоленск, 1995. 352 с.
- Карпачевский Л.О., Строганова М.Н., Баранова О.Ю., Тощева Г.П., Щеголькова Н.М. Эволюция почвенного покрова при лесовосстановлении // Успехи почвоведения. Советские Почвоведы к XIII Междунар. конгр. почвоведов. М.: Наука, 1986. С. 135–142.
- Карта Лесоустройства, 2013, 2014. Смоленск: ФГБУ Национальный парк “Смоленское Поозерье” Смоленской области, 2015.
- Классификация и диагностика почв России. Смоленск: Универсум, 2004. 341 с.
- Классификация и диагностика почв СССР. М.: Колос. 1977. 221 с.
- Королева Н.В., Тихонова Е.В., Ершов Д.В., Салтыков А.Н., Гаврилюк Е.А., Пугачевский А.В. Оценка масштабов зарастания нелесных земель в национальном парке “Смоленское Поозерье” за 25 лет по спутниковым данным Landsat // Лесоведение. 2018. Т. 2018. № 2. С. 83–96.
- Лихарев И.М., Раммельмейер Е.С. Наземные моллюски фауны СССР. М.: Рипол Классик, 2013. Т. 43. 511 с.
- Локшина И.Е. Определитель двупарноногих многоножек (Diplopoda) равнинной части Европейской территорий СССР. М.: Наука, 1969. 78 с.
- Лопес де Гереню В.О., Курганова И.Н., Ермолаев А.М., Кузяков Я.В. Изменение пулов органического углерода при самовосстановлении пахотных черноземов // Агрохимия. 2009. № 5. С. 5–12.
- Лукина Н.В., Кузнецова А.И., Гераськина А.П., Смирнов В.Э., Иванова В.Н., Тебенькова Д.Н., Горнов А.В., Шевченко Н.Е., Тихонова Е.В. Неучтенные факторы, определяющие запасы углерода в лесных почвах // Метеорология и гидрология. 2022. № 10. С. 92–110. https://doi.org/10.52002/0130-2906-2022-10-92-110
- Люри Д.И., Горячкин С.В., Караваева Н.А., Денисенко Е.А., Нефедова Т.Г. Динамика сельскохозяйственных земель России в ХХ в. и постагрогенное восстановление растительности и почв. М.: ГЕОС, 2010. 416 с.
- Люри Д.И., Карелин Д.В., Кудиков А.В., Горячкин С.В. Изменение почвенного дыхания в ходе постагрогенной сукцессии на песчаных почвах в южной тайге // Почвоведение. 2013. № 9. С. 1060–1072. https://doi.org/10.7868/S0032180X13070058
- Милов Л.В. Великорусский пахарь и особенности российского исторического процесса. М.: РОСС-ПЭН, 1998. 574 с.
- Народное хозяйство Смоленской области за 1957 г. статистический сборник. Смоленск: Кн. изд-во, 1958. 160 с.
- Огуреева Г.Н., Леонова Н.Б., Булдакова Е.В., Кадетов Н.Г., Архипова М.В., Микляева И.М., Бочарников М.В., Дудов С.В., Игнатова Е.А., Игнатов М.С., Мучник Е.Э., Урбанавичюс Г.П., Даниленко А.К., Румянцев В.Ю., Емельянова Л.Г., Леонтьева О.А., Романов А.А., Константинов П.А. Биомы России. Масштаб 1 : 7 500 000. М.: Всемирный фонд дикой природы, 2018.
- Пичужкин Н.А. Хозяйство Александра Энгельгардта (к 150-летию “12 писем из деревни”) // Наука без границ. 2021. № 2(54). С. 11–15.
- Плавильщиков Н.Н. Определитель насекомых: краткий определитель наиболее распространенных насекомых европейской части России. М.: Топикал, 1994. 544 с.
- Полевой определитель почв России. М.: Почв. ин-т им. В.В. Докучаева, 2008. 182 с.
- Раздел научного обоснования к ТЭО по национальному парку “Смоленское Поозерье”. Смоленск, 1992. 232 с.
- Росстат. Российский статистический ежегодник / Под ред. Суринова А.Е. 2017. 686 с. https://www.gks.ru/free_doc/doc_2017/year/year17.pdf
- Рыжова И.М., Ерохова А.А., Подвезенная М.А. Динамика и структура запасов углерода в постагрогенных экосистемах южной тайги // Почвоведение. 2014. № 12. С. 1426–1435. https://doi.org/10.7868/S0032180X14090111
- Скворцова Е.Б., Баранова О.Ю., Нумеров Г.Б. Изменение микростроения почв при зарастании пашни лесом // Почвоведение. 1987. № 9. С. 101–109.
- Слюсарь И.А., Силаева О.П., Бабурченкова З.П. Динамика показателей почвенного плодородия и использование средств химизации в Смоленской области // Достижения науки и техники АПК. 2018. № 4. С. 10–15. https://doi.org/10.24411/0235-2451-2018-10402
- Соловьев Я.А. Сельскохозяйственная статистика Смоленской губернiи. М.: Иждивение учен. ком. М-ва гос. имуществ, 1855. 486 с.
- Телеснина В.М., Богатырев Л.Г., Бенедиктова А.И., Земсков Ф.И., Маслов М.И. Динамика поступления растительного опада и некоторых свойств лесных подстилок при постагрогенном лесовосстановлении в условиях южной тайги // Вестник Моск. ун-та. Сер. 17, почвоведение. 2019. №. 4. С. 3–10.
- Телеснина В.М., Курганова И.Н., Лопес де Гереню В.О., Овсепян Л.А., Личко В.И., Ермолаев А.М., Мирин Д.М. Динамика свойств почв и состава растительности в ходе постагрогенной эволюции в разных биоклиматических зонах // Почвоведение. 2017. № 12. С. 1514–1534. https://doi.org/10.7868/S0032180X17120115
- Шопина О.В., Герасимова М.И., Бавшин И.М., Хохряков В.Р., Семенков И.Н. Инвентаризация и картографирование почв национального парка “Смоленское Поозерье” // Лесоведение. 2022. № 5. С. 478–493. https://doi.org/10.31857/S0024114822040088
- Шопина О.В., Гераськина А.П., Кузнецова А.И., Тихонова Е.В., Титовец А.В., Бавшин И.М., Хохряков В.Р., Семенков И.Н. Стадии постагрогенного восстановления компонентов экосистем сосновых лесов национального парка “Смоленское Поозерье” // Почвоведение. 2023. № 1. С. 10–24. https://doi.org/10.31857/S0032180X22600706
- Энгельгардт А.Н. Из деревни. 12 писем: 1872–1887. СПб.: Наука, 1999. 714 с.
- Якушев П.А. Сельское хозяйство Смоленской губернии в 1917 году // Исторические, философские, политические и юридические науки, культурология и искусствоведение // Вопросы теории и практики. 2012. № 5. С. 224–226.
- Dashora A., Lohani B., Malik J.N. A repository of earth resource information – CORONA satellite programme // Current Science. 2007. V. 92. № 7. P. 926–932.
- Elgersma A.M. Primary Forest succession on poor sandy soils as related to site factors // Biodivers. Conserv. 1998. V. 7. № 2. P. 193–206. https://doi.org/10.1023/A:1008884418570
- Huang W., Gonzalez G., Zou X. Earthworm abundance and functional group diversity regulate plant litter decay and soil organic carbon level: A global meta-analysis // Appl. Soil Ecol. 2020. V. 150. P. 1–15. https://doi.org/10.1016/j.apsoil.2019.103473
- IUSS Working Group WRB, 2022. World Reference Base for Soil Resources. International soil classification system for naming soils and creating legends for soil maps. Vienna: International Union of Soil Sciences (IUSS), 2022. 234 p.
- Kalinina O., Chertov O., Dolgikh A.V., Goryachkin S.V., Lyuri D.I., Vormstein S., Giani L. Self-restoration of post-agrogenic Albeluvisols: Soil development, carbon stocks and dynamics of carbon pools // Geoderma. 2013. V. 207–208. P. 221–233. https://doi.org/10.1016/j.geoderma.2013.05.019
- Kalinina O., Goryachkin S.V., Karavaeva N.A., Lyuri D.I., Najdenko L., Giani L. Self-restoration of post-agrogenic sandy soils in the southern Taiga of Russia: Soil development, nutrient status, and carbon dynamics // Geoderma. 2009. V. 152. P. 35–42. https://doi.org/10.1016/j.geoderma.2009.05.014
- Karra K., Kontgis C., Statman-Weil Z., Mazzariello J.C., Mathis M., Brumby S.P. Global land use/land cover with Sentinel-2 and deep learning // IGARSS 2021-2021 IEEE International Geoscience and Remote Sensing Symposium. IEEE, 2021.https://doi.org/10.1109/igarss47720.2021.9553499
- Kuznetsova A.I., Geraskina A.P., Lukina N.V., Smirnov V.E., Tikhonova E.V., Shevchenko N.E., Gornov A.V., Ruchinskaya E.V., Tebenkova D.N. Linking vegetation, soil carbon stocks, and earthworms in upland coniferous–broadleaf forests // Forests. 2021. V. 12. P. 1179. https://doi.org/10.3390/f12091179
- Larionova A.A., Rozonova L.N., Yevdokimov I.V., Yermolayev A.M., Kurganova I.N., Blagodatsky S.A. Land-use change and management effects on carbon sequestration in soils of Russia’s South Taiga zone // Tellus B. 2003. V. 55. P. 331–337. https://doi.org/10.1034/j.1600-0889.2003.00042.x
- Matuszkiewicz J.M., Kowalska A., Kozłowska A., Roo-Zielińska E., Solon J. Differences in plant-species composition, richness and community structure in ancient and post-agricultural pine forests in central Poland // For. Ecol. Manage. 2013. V. 310. P. 567–576. https://doi.org/10.1016/j.foreco.2013.08.060
- Robertson G.P., Coleman D.C., Sollins P., Bledsoe C.S. (Eds.). Standard soil methods for long-term ecological research. Oxford University Press on Demand, 1999. V. 2. 480 p.
- Woziwoda B., Parzych A., Kopeć D. Species diversity, biomass accumulation and carbon sequestration in the understorey of post-agricultural Scots pine forests // Silva Fennica. 2014. V. 48. P. 1119–1123. https://doi.org/10.14214/sf.1119
- Zanella A., Jabiol B., Ponge J.-F., Sartori G., de Waal R., Delft B.V., Graefe U., Cools N., Katzensteiner K. et al. European Humus Forms Reference Base. 2011. http://doi.org/hal-00541496v2
Supplementary files






