Factors for Conversion of the Content of Double-Stranded DNA to Carbon of Soil Microbial Biomass
- Authors: Chernysheva E.V.1, Fornasier F.2, Borisov A.V.1
-
Affiliations:
- Institute of Physicochemical and Biological Problems in Soil Science
- Soliomics
- Issue: No 5 (2023)
- Pages: 664-675
- Section: ПОЧВЕННЫЙ МИКРОБИОМ В УСЛОВИЯХ АНТРОПОГЕННОГО ВОЗДЕЙСТВИЯ
- URL: https://journals.rcsi.science/0032-180X/article/view/138095
- DOI: https://doi.org/10.31857/S0032180X2260127X
- EDN: https://elibrary.ru/IEOYRG
- ID: 138095
Cite item
Full Text
Abstract
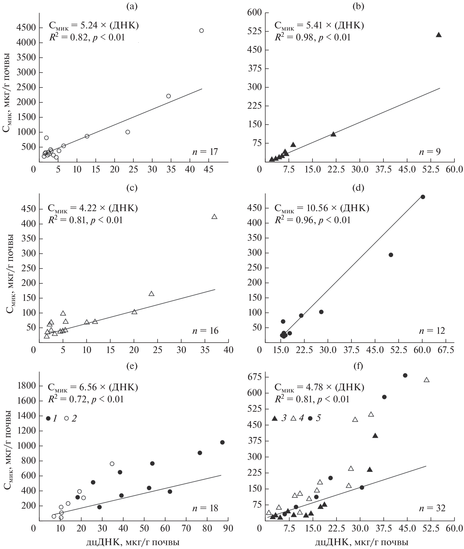
The relationship between the concentration of soil DNA and microbial biomass, determined by the method of substrate-induced respiration was studied in a wide range of soils differing in particle size distribution, acidity, organic carbon content, microbial biomass, and type of human activity in antiquity and present time. Calcaric Leptosols and Leptic Phaeozems of medieval agricultural lands in the Central Caucasus, Stratozems of agricultural terraces of the late Middle Ages – Modern times in the middle mountain zone of the Eastern Caucasus, as well as Kashtanozems and Solonetzes with different grazing intensity in the dry steppe zone (Rostov region) were chosen as the key sites. It has been shown that the determination of soil dsDNA concentration is a reliable and simple method for determining microbial biomass in soils with a loam texture, organic carbon content less 2%, and microbial biomass less 700 µg C/g of dry soil. The conversion factor FDNA in such soils varied in a narrow range from 5.24 to 5.41. In soils with a high content of organic carbon, an increase of FDNA (6.56 and 10.56) was observed due to the presence of recalcitrant e-xtracellular DNA. Agristratified soil of sandy loam texture was characterized by a lower degree of preservation of dsDNA, which resulted in a decrease in the determined microbial biomass (FDNA = 4.22). A reduced conversion factor FDNA (4.78) was also found in the soils of pastures in the dry steppe zone, which confirms the known limitations of using the substrate-induced respiration method in alkaline soils. Human activity does not significantly affect the relationship between the amount of soil DNA and microbial biomass.
About the authors
E. V. Chernysheva
Institute of Physicochemical and Biological Problems in Soil Science
Author for correspondence.
Email: e.chernyysheva@yandex.ru
Russia, 142290, Pushchino
F. Fornasier
Soliomics
Email: e.chernyysheva@yandex.ru
Italy, 33100, Udine
A. V. Borisov
Institute of Physicochemical and Biological Problems in Soil Science
Email: e.chernyysheva@yandex.ru
Russia, 142290, Pushchino
References
- Агроклиматические ресурсы Калмыцкой АССР. Л.: Гидрометеорологическое изд-во, 1974. 124 с.
- Агроклиматические ресурсы Ставропольского края. Л.: Гидрометеорологическое изд-во, 1971. 238 с.
- Борисов А.В., Каширская Н.Н., Ельцов М.В., Пинской В.Н., Плеханова Л.Н., Идрисов И.А. Почвы древних земледельческих террас Восточного Кавказа // Почвоведение. 2021. № 5. С. 542–557. https://doi.org/10.31857/S0032180X2105004X
- Минкин М.Б., Бабушкин В.М., Садименко П.А. Солонцы юго-востока Ростовской области. Ростов-на-Дону: Изд-во Рост. ун-та, 1980. 271 с.
- Теории и методы физики почв. Коллективная монография / Под ред. Е.В. Шеина и Л.О. Карпачевского. М.: Гриф и К, 2007. 616 с.
- Anderson J.P.E., Domsch K.H. Physiological method for quantitative measurement of microbial biomass in soils // Soil Biol. Biochem. 1978. V. 10. P. 215–221.https://doi.org/10.1016/0038-0717(78)90099-8
- Anderson T.-H., Martens R. DNA determinations during growth of soil microbial biomasses // Soil Biol. Biochem. 2013. V. 57. P. 487–495.https://doi.org/10.1016/j.soilbio.2012.09.031
- Bachoon D.S., Otero E., Hodson R.E. Effects of humic substances on fluorometric DNA quantification and DNA hybridization // J. Microbiological Methods. 2001. V. 47. P. 73–82. https://doi.org/10.1016/S0167-7012(01)00296-2
- Beck T., Joergensen R.G., Kandeler E., Makeschin F., Nuss E., Oberholzer H.R., Scheu S. An inter-laboratory comparison of ten different ways of measuring soil microbial biomass // Soil Biol. Biochem. 1997. V. 29. P. 1023–1032. https://doi.org/10.1016/S0038-0717(97)00030-8
- Blagodatskaya E.V., Blagodatskii S.A., Anderson T.-H. Quantitative isolation of microbial DNA from different types of soils of natural and agricultural ecosystems // Microbiology. 2003. V. 72(6). P. 744–749. https://doi.org/10.1023/B:MICI.0000008379.63620.7b
- Blum S.A.E., Lorenz M.G., Wackernagel W. Mechanism of retarded DNA degradation and prokaryotic origin of DNases in nonsterile soils // Systematic and Applied Microbiology. 1997. V. 20. P. 513–521. https://doi.org/10.1016/S0723-2020(97)80021-5
- van den Boogaart K.G., Filzmoser P., Hron K., Templ M., Tolosana-Delgado R. Classical and robust regression analysis with compositional data // Mathematical Geosciences. 2021. V. 53. P. 823–858. https://doi.org/10.1007/s11004-020-09895-w
- Chernysheva E., Khomutova T., Fornasier F., Kuznetsova T., Borisov A. Effects of long-term medieval agriculture on soil properties: A case study from the Kislovodsk basin, Northern Caucasus, Russia // J. Mountain Sci. V. 15. P. 1171–1185. https://doi.org/10.1007/s11629-017-4666-7
- Crecchio C., Stotzky G. Binding of DNA on humic acids: effect on transformation of Bacillus subtilis and resistance to DNase // Soil Biol. Biochem. 1998. V. 30. P. 1060–1067. https://doi.org/10.1016/S0038-0717(97)00248-4
- Fornasier F., Ascher J., Ceccherini M.T., Tomat E., Pietramellara G. A simplified rapid, low-cost and versatile DNA-based assessment of soil microbial biomass // Ecological Indicators. 2014. V. 45. P. 75–82. https://doi.org/10.1016/j.ecolind.2014.03.028
- Gangneux C., Akpa-Vincesla M., Sauvage H., Desaire S., Houot S., Laval K. Fungal, bacterial and plant dsDNA contributions to soil total DNA extracted from silty soils under different farming practices: relationships with chloroform-labile carbon // Soil Biol. Biochem. 2011. V. 43. P. 431–437. https://doi.org/10.1016/j.soilbio.2010.11.012
- Georgiou C.D., Papapostolou I. Assay for the quantification of intact/fragmented genomic DNA // Analyt. Biochem. 2006. V. 358. P. 247–256.https://doi.org/10.1016/j.ab.2006.07.035
- Gong H., Du Q., Xie S., Hu W., Akram M.A., Hou Q., Dong L., Sun Y., Manan A., Deng Y., Ran J., Deng J. Soil microbial DNA concentration is a powerful indicator for estimating soil microbial biomass C and N across arid and semi-arid regions in northern China // Appl. Soil Ecology. 2021. V. 160. P. 103863. https://doi.org/10.1016/j.apsoil.2020.103869
- Griffiths, B.S., Díaz-Raviña, M., Ritz, K., McNicol, J.W., Ebblewhite, N., Bååth, E. Community DNA hybridisation and % G + C profiles of microbial communities from heavy metal polluted soils // FEMS Microbiol. Ecol. 1997. V. 24. P. 103–112. https://doi.org/10.1111/j.1574-6941.1997.tb00427.x
- Homburg J.A., Sandor J.A. Anthropogenic effects on soil quality of ancient agriculture systems of the American Southwest // Catena. 2011. V. 85. P. 144–154. https://doi.org/10.1016/j.catena.2010.08.005
- Joergensen R.G., Emmerling C. Methods for evaluating human impact on soil microorganisms based on their activity, biomass, and diversity in agricultural soils // J. Plant Nutrition Soil Sci. 2006. V. 169. P. 295–309. https://doi.org/10.1002/jpln.200521941
- Khomutova T.E., Fornasier F., Yeltsov M.V., Chernysheva E.V., Borisov A.V. Influence of grazing on the structure and biological activity of dry steppe soils of the southern Russian Plain // Land Degradation Development. V. 32. P. 4832–4844. https://doi.org/10.1002/ldr.4032
- Leckie S.E., Prescott C.E., Grayston S.J., Neufeld J.D., Mohn W.W. Comparison of chloroform fumigation-extraction, phospholipid fatty acid, and DNA methods to determine microbial biomass in forest humus // Soil Biol. Biochem. V. 36. P. 529–532. https://doi.org/10.1016/j.soilbio.2003.10.014
- Levy-Booth D.J., Campbell R.G., Gulden R.H., Hart M.M., Powell J.R., Klironomos J. N., Pauls K.P., Swanton C.J., Trevors J.T., Dunfield K.E. Cycling of extracellular DNA in the soil environment // Soil Biol. Biochem. 2007. V. 39. P. 2977–2991. https://doi.org/10.1016/j.soilbio.2007.06.020
- Lloyd-Jones G., Hunter D.W.F. Comparison of rapid DNA extraction methods applied to contrasting New Zealand soils // Soil Biol. Biochem. 2001. V. 33. P. 2053–2059. https://doi.org/10.1016/S0038-0717(01)00133-X
- Lorenz M.G., Wackernagel W. Adsorption of DNA to sand and variable degradation rates of adsorbed DNA // Appl. Environ. Microbiol. 1987. V. 53. P. 2948–2952. https://doi.org/10.1128%2Faem.53.12.2948-2952.1987
- Marstorp H., Witter E. Extractable dsDNA and product formation as measures of microbial growth in soil upon substrate addition // Soil Biol. Biochem. 1999. V. 31. P. 1443–1453. https://doi.org/10.1016/S0038-0717(99)00065-6
- Morrissey E.M., McHugh T.A., Preteska L., Hayer M., Dijkstra P., Hungate B.A., Schwartz E. Dynamics of extracellular DNA decomposition and bacterial community composition in soil // Soil Biol. Biochem. 2015. V. 86. P. 42–49. https://doi.org/10.1016/j.soilbio.2015.03.020
- Mueller T., Joergensen R.G., Meyer B. Estimation of soil microbial biomass C in the presence of living roots by fumigation-extraction // Soil Biol. Biochem. 1992. V. 24. P. 179–181. https://doi.org/10.1016/0038-0717(92)90275-3
- Muneer M., Oades J.M. The role of Ca-organic interactions in soil aggregate stability. 1. Laboratory studies with glucose-C-14, CaCO3 and CaSO4·H2O // Austral. J. Soil Res. 1989. V. 27. P. 389–399. https://doi.org/10.1071/SR9890389
- Muneer M., Oades J.M. The role of Ca-organic interactions in soil aggregate stability. 2. Field studies with C-14-labeled straw, CaCO3 and CaSO4·H2O // Austral. J. Soil Res. 1989b. V. 27. P. 401–409. https://doi.org/10.1071/SR9890401
- Paget E., Monrozier L.J., Simonet P. Adsorption of DNA on clay minerals: protection against DNase I and influence on gene transfer // FEMS Microbiol. Lett. 1992. V. 97. P. 31–40. https://doi.org/10.1016/0378-1097(92)90359-V
- Semenov M., Blagodatskaya E., Stepanov A., Kuzyakov Ya. DNA-based determination of soil microbial biomass in alkaline and carbonaceous soils of semi-arid climate // J. Arid Environ. 2018. V. 150. P. 54–61. https://doi.org/10.1016/j.jaridenv.2017.11.013
- Wiesmeier M., Urbanski L., Hobley E., Lang B., von Lützow M., Marin-Spiotta E., van Wesemael B., Rabot E., Liess M., Garcia-Franco N., Wollschläger U., Vogen H.-J., Kögel-Knabner I. Soil organic carbon storage as a key function of soils - A review of drivers and indicators at various scales // Geoderma. 2019. V. 333. P. 149–162. https://doi.org/10.1016/j.geoderma.2018.07.026
- Yokoyama S., Yuri K., Nomi T., Komine M., Nakamura S., Hattori H., Rai H. The high correlation between DNA and chloroform-labile N in various types of soil // App-l. Soil Ecol. 2017. V. 117–118. P. 1–9. https://doi.org/10.1016/j.apsoil.2017.04.002
Supplementary files






