Biotechnological Potential of Hydrolytic Prokaryotic Component in Soils
- Authors: Manucharova N.A.1, Kovalenko M.A.1, Alekseeva M.G.1, Babenko A.D.1, Stepanov A.L.1
-
Affiliations:
- Lomonosov Moscow State University
- Issue: No 5 (2023)
- Pages: 550-566
- Section: ТАКСОНОМИЧЕСКОЕ И ФУНКЦИОНАЛЬНОЕ РАЗНООБРАЗИЕ ПОЧВЕННЫХ МИКРОБИОМОВ
- URL: https://journals.rcsi.science/0032-180X/article/view/138064
- DOI: https://doi.org/10.31857/S0032180X22601311
- EDN: https://elibrary.ru/IEWDLZ
- ID: 138064
Cite item
Full Text
Abstract
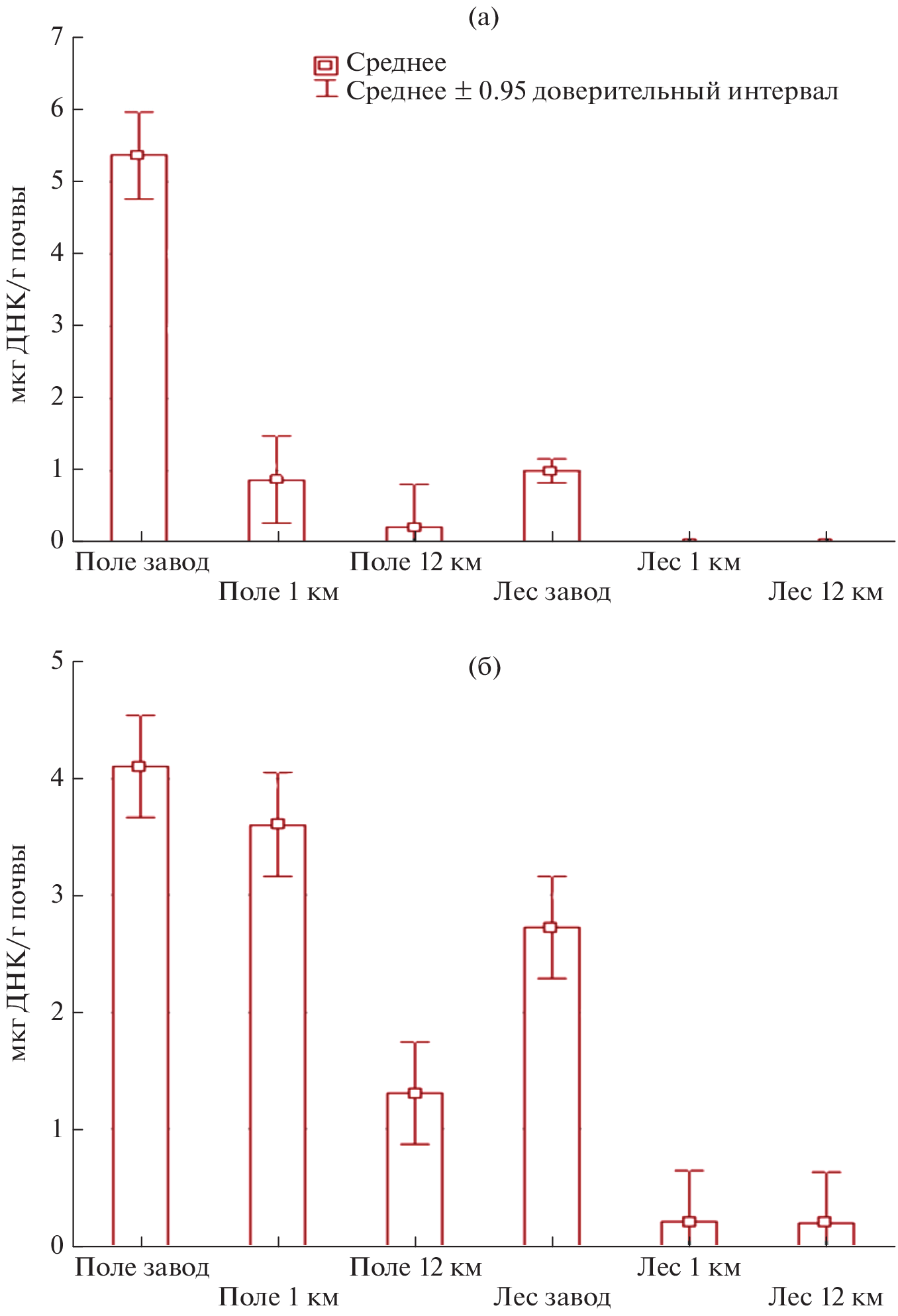
The phylogenetic and functional diversity of a prokaryotic complex with biotechnological potential (carrying out the destruction of biopolymers, hydrocarbons; capable of synthesizing secondary metabolites; nitrogen fixation process) in soil and associated ecosystems has been studied. In order to identify the specifics of the development of metabolically active prokaryotes with biotechnological potential, the patterns of their distribution and the dependence of functional activity on the main environmental factors have been established. The study used molecular biological and bioinformatic approaches. The range of samples studied included modern soils (Volgograd, Tula, Moscow regions, Siberia and the Northern part of Central Kamchatka), relict habitats (Volgograd Region and Central Kamchatka) and permafrost soils of Antarctica (King George Island). The impact of anthropogenic and abiogenic loads on the development of the prokaryotic community was considered. In soils exposed to anthropogenic or abiogenic loads, along with a decrease in the diversity and abundance of prokaryotes, an increase in the number of genes marking the ability of a community to biodegradate xenobiotics, as well as genes encoding nitrogen transformations and the level of metabolism of cofactors and vitamins was found. The bacterial complex is capable of nitrification with high oil contamination of the soil, and its role also increases in the lower layers of the soil profile. Archaea play a leading role in the nitrification process in undisturbed soils. The revealed patterns indicate a high metabolic potential of the prokaryotic component of the objects under consideration and open up opportunities for biotechnological use of strains isolated from relict habitats.
Keywords
About the authors
N. A. Manucharova
Lomonosov Moscow State University
Author for correspondence.
Email: manucharova@mail.ru
Russia, 119991, Moscow
M. A. Kovalenko
Lomonosov Moscow State University
Email: manucharova@mail.ru
Russia, 119991, Moscow
M. G. Alekseeva
Lomonosov Moscow State University
Email: manucharova@mail.ru
Russia, 119991, Moscow
A. D. Babenko
Lomonosov Moscow State University
Email: manucharova@mail.ru
Russia, 119991, Moscow
A. L. Stepanov
Lomonosov Moscow State University
Email: manucharova@mail.ru
Russia, 119991, Moscow
References
- Добровольская Т.Г., Головченко А.В., Юрченко Е.Н., Якушев А.В., Манучарова Н.А., Лысак Л.В., Костина Н.В. Структура и функции бактериальных сообществ регрессивных пятен верхового торфяника. Микробиология. 2020. Т. 89. № 1. С. 111–120. https://doi.org/10.31857/S0026365620010061
- Кольцова Е.М. Cтруктурно-функциональная характеристика гидролитической составляющей реликтовых прокариотных сообществ. Дис. … канд. биол. наук. М., 2017. 139 с.
- Кряжевских Н.А., Демкина Е.В., Лойко Н.Г., Баслеров Р.В., Колганова Т.В., Соина В.С., Манучарова Н.А., Гальченко В.Ф., Эль-Регистан Г.И.Сравнение адаптационного потенциала изолятов из вечномерзлых осадочных пород Arthrobacter oxydans и Acinetobacter lwoffii и их коллекционных аналогов // Микробиология. 2013. Т. 82. № 1. С. 27–41. https://doi.org/10.7868/S0026365613010059
- Соляникова И.П., Сузина Н.Е., Мулюкин А.Л., Эль-Регистан Г.И., Головлева Л.А. ВлияниесостоянияпокоянаштаммPseudomonas fluorescens 26K – деструкторксенобиотиков // Микробиология. 2013. Т. 82. № 5. С. 552. https://doi.org/10.7868/S0026365613050145
- Феофилова Е.П. Торможение жизненной активности как универсальный биохимический механизм адаптации микроорганизмов к стрессовым воздействиям // Прикладная биохимия и микробиология. 2003. Т. 39. № 1. С. 5–24. https://doi.org/10.1023/A:1021774523465
- Эль-Регистан Г.И. Покой как форма адаптации микроорганизмов // Механизмы выживания бактерий. М.: Медицина, 2005. С. 11–142. https://search.rsl.ru/ru/record/01002681279
- Эль-Регистан Г.И., Мулюкин А.Л., Николаев Ю.А., Сузина Н.Е., Гальченко В.Ф., Дуда В.И. Адаптогенные функции внеклеточных ауторегуляторов микроорганизмов // Микробиология. 2006. Т. 75. № 4. С. 446–456. https://doi.org/10.1134/S0026261706040035
- Abraham W.R., Nogales B., Golyshin P.N., Pieper D.H., Timmis K.N. Polychlorinated biphenyl-degrading microbial communities in soils and sediments // Curr. Opin. Microbiol. 2002. V. 5. № 3. P. 246–53. https://doi.org/10.1016/s1369-5274(02)00323-5
- Adair K.L. Schwartz E. Evidence that ammonia-oxidizing archaea are more abundant than ammonia-oxidizing bacteria in semiarid soils of northern Arizona, USA // Microb. Ecol. 2008. V. 56. P. 420–426. https://doi.org/10.1007/s00248-007-9360-9
- Anderson M.J. A new method for non-parametric multivariate analysis of variance // Austral. Ecol. 2001. V. 26. P. 32–46. https://www.pelagicos.net/MARS6300/homework/hw6/ Anderson_2001.pdf
- Bartilson M., Nordlund I., Shingler V. Nucleotide sequence and expression of the catechol 2,3-dioxygenaseencoding gene of phenol catabolizing Pseudomonas CF600 // Gene. 1989. V. 85. P. 233–238. https://doi.org/10.1016/0378-1119(89)90487-3
- Boden R., Hutt L.P., Rae A.W. Reclassification of Thiobacillusaquaesulis (Wood & Kelly, 1995) as Annwoodiaaquaesulis gen. nov., comb. nov., transfer of Thiobacillus (Beijerinck, 1904) from the Hydrogenophilales to the Nitrosomonadales, proposal of Hydrogenophilalia class. nov. within the 'Proteobacteria', and four new families within the orders Nitrosomonadales and Rhodocyclales // Int. J. Syst. Evol. Microbiol. 2017. V. 67. P. 1191–1205. https://doi.org/10.1099/ijsem.0.001927
- Bray J.R., Curtis J.T. An Ordination of the Upland Forest Communities of Southern Wisconsin // Ecol. Monogr. 1957. V. 27. № 4. P. 325–349. https://doi.org/10.2307/1942268
- Bürgmann H., Widmer F., Sigler W.V., Zeyer J. mRNA extraction and reverse transcription-PCR protocol for detection of nifH gene expression by Azotobacter vinelandii in soil // Appl. Environ. Microbiol. 2003. V. 69. P. 1928–1935. https://doi.org/10.1128/AEM.69.4.1928-1935.2003
- Caporaso J.G., Kuczynski J., Stombaugh J., Bittinger K., Bushman F.D., Costello E.K., Fierer N. et al. QIIME allows analysis of high-throughput community sequencing data // Nat. Methods. 2010. V. 7. № 5. P. 335–336. https://doi.org/.1038/nmeth.f.303
- Chen J., Del Genio A.D., Carlson B.E., Bosilovich M.G. The spatiotemporal structure of twentieth-century climate variations in observations and reanalyses. P. I: Long-term trend // J. Climate. 2008. V. 21. P. 2611–2633. https://doi.org/10.1175/2007JCLI2011.1
- DeSantis T.Z., Hugenholtz P., Larsen N., Rojas M., Brodie E.L., Keller K., Huber T. et al. Greengenes, a chimera-checked 16S rRNA gene database and workbench compatible with ARB // Appl. Environ. Microbiol. 2006. V. 72. № 7. P. 5069–5072. https://doi.org/10.1128/AEM.03006-05
- Edgar R.C. Search and clustering orders of magnitude faster than BLAST // Bioinformatics. 2010. V. 26. № 19. P. 2460-1. https://doi.org/10.1093/bioinformatics/btq461
- Faith D.P., Baker A.M. Phylogenetic diversity (PD) and biodiversity conservation: some bioinformatics challenges // Evol. Bioinform. Online. 2006. V. 2. P. 121–128. https://doi.org/10.4137/ebo.s0
- Gaby J.C., Buckley D.H. A comprehensive aligned nifH gene database: a multipurpose tool for studies of nitrogen-fixing bacteria // Database (Oxford). 2014. V. 2014. P. bau001. https://doi.org/10.1093/database/bau001
- Hallin S., Jones C. M., Schloter M., Philippot L. Relationship between n-cycling communities and ecosystem functioning in a 50-year-old fertilization experiment // ISME J. 2009. V. 53. P. 597–605. https://doi.org/10.1038/ismej.2008.128
- Harayama S., Rekik M. Bacterial aromatic ring cleavage enzymes are classified into two different gene families // J. Biol. Chem. 1989. V. 264. P. 15328–15333. https://www.jbc.org/article/S0021-9258(19)84830-5/pdf
- Hendrickx B., Junca H., Vosahlova J., Lindner A., Ruegg I., Bucheli-Witschel M., Faber F. et al. Alternative primer sets for PCR detection of genotypes involved in bacterial aerobic BTEX degradation: Distribution of the genes in BTEX degrading isolates and in subsurface soils of a BTEX contaminated industrial site // J. Microbiol. Methods. 2006. V. 64. P. 250–265. https://doi.org/10.1016/j.mimet.2005.04.018
- Henry S., Baudouin E., López–Gutiérrez J.C., Martin–Laurent F., Brauman A., Philippot L. Quantification of denitrifying bacteria in soils by nirK gene targeted real-time PCR // J. Microbiol. Methods. 2004. V. 59. P. 327–335. https://doi.org/10.1016/J.MIMET.2004.07.002
- Hiraishi A., Ueda Y. Rhodoplanes gen. nov., a new genus of phototrophic bacteria including Rhodopseudomonasrosea as Rhodoplanesroseus comb. nov. and Rhodoplaneselegans sp. nov. // Int. J. Syst. Bacteriol. 1994. V. 44. P. 665–673. https://doi.org/10.1099/00207713-44-4-665
- Kanehisa M., Goto S., Sato Y., Furumichi M., Tanabe M. KEGG for integration and interpretation of large-scale molecular data sets // Nucleic Acids Res. 2012. V. 40. Database issue. P. 109–114. https://doi.org/10.1093/nar/gkr988
- Kaprelyants A.S., Mukamolova G. V., Davey H.M., Kell D.B. Quantitative analysis of the physiological heterogeneity within starved cultures of Micrococcus luteus by flow cytometry and cell sorting // Appl. Environ. Microbiol. 1996. V. 62. № 4. P. 1311–1316. https://doi.org/10.1128/aem.62.4.1311-1316.1996
- Kok M., Oldenhuis R., van der Linden M. P. G., Raatjes P., Kingma J., van Lelyveld P.H. The Pseudomonas oleovorans alkane hydroxylase gene, sequence and expression // J. Biological Chem. 1989. V. 264. P. 5435–5441. https://doi.org/10.1016/S0021-9258(18)83564-5
- Langille M., Zaneveld J., Caporaso J.G., McDonald D., Knights D., Reyes J., Clemente J., Burkepile D. et al. Predictive functional profiling of microbial communities using 16S rRNA marker gene sequences // Nat. Biotechnol. 2013. V. 31. № 9. P. 814–821. https://doi.org/10.1038/nbt.2676
- Manucharova N.A., Ksenofontova N.A., Belov A.A., Kamenskiy N.N., Arzamazova A.V., Zenova G.M., Kinzhaev R.R., Trofimov S.Y., Stepanov A.L. Prokaryotic component of oil-contaminated oligotrophic peat soil under different levels of mineral nutrition: biomass, diversity, and activity // Eurasian Soil Science. 2021. V. 54. № 1. P. 89–97. https://doi.org/10.31857/s0032180x2101010x
- Markowitz V.M., Chen I.-M.A., Palaniappan K., Chu K., Szeto E., Grechkin Y., Ratner A. et al. IMG: the Integrated Microbial Genomes database and comparative analysis system // Nucleic Acids Res. 2012. V. 40. Database issue. P. D115-22. https://doi.org/10.1093/nar/gkr1044
- McIlroy S.J., Nielsen P.H. The Prokaryotes / Eds E. Rosenberg et al. Berlin: Springer, 2014. P. 863–889. https://doi.org/10.1007/978-3-642-39044-9
- Nichols D., Lewis K., Orjala J., Mo S., Ortenberg R., O’Connor P., Zhao C., Vouros P., Kaeberlein T., Epstein S.S. Short peptide induces an “uncultivable” microorganism to grow in vitro // Appl. Environ. Microbiol. 2008. V. 74. № 15. P. 496. https://doi.org/10.1128/AEM.00393-08
- Pantanella F., Berlutti F., Passariello C., Sarli S., Morea C., Schippa S.Violacein and biofilm production in Janthinobacteriumlividum // J. Appl. Microbiol. 2007. V. 102. № 4. P. 992–999. https://doi.org/10.1111/j.1365-2672.2006.03155.x
- Price M.N., Dehal P.S., Arkin A.P. FastTree 2 – Approximately Maximum-Likelihood Trees for large alignments // PLoS One. 2010. V. 5. № 3. P. e9490. https://doi.org/10.1371/journal.pone.0009490
- Rotthauwe J., Witzel K. The ammonia monooxygenase structural gene amoA as a functional marker: Molecular fine-scale analysis of natural ammonia-oxidizing populations // Appl. Environ. Microbiol. 1997. V. 63. P. 4704–4712. https://doi.org/10.1128/aem.63.12.4704-4712.1997
- Somanadhan B., Kotturi S.R., Yan Leong C., Glover R.P., Huang Y., Flotow H., Buss A.D., Lear M.J., Butler M.S. Isolation and synthesis of falcitidin, a novel myxobacterial-derived acyltetrapeptide with activity against the malaria target falcipain-2 // J. Antibiot. (Tokyo). 2013. V. 66. № 5. P. 259–264. https://doi.org/10.1038/ja.2012.123
- Su X., Chen X., Hu J., Shen C., Ding L. Exploring the potential environmental functions of viable but non-culturable bacteria // World J. Microbiol. Biotechnol. 2013. V. 29. № 12. P. 2213–2218. https://doi.org/10.1007/s11274-013-1390-5
- Takashi Itoh, Kaoru Yamanoi, Takuji Kudo, Moriya Ohkuma, Tomonori Takashina. Aciditerrimonas ferrireducens gen. nov., sp. nov., an iron-reducing thermoacidophilic actinobacterium isolated from a solfataric field // Int. J. Systematic Evolutionary Microbiol. 2011. V. 61 P. 1281–1285. https://doi.org/10.1099/ijs.0.023044-0
- Wang Q., Garrity G.M., Tiedje J.M., Cole J.R. Naive Bayesian Classifier for Rapid Assignment of rRNA Sequences into the New Bacterial Taxonomy // Appl. Environ. Microbiol. 2007. V. 73. № 16. P. 5261–5267. https://doi.org/10.1128/AEM.00062-07
- Whyte L.G., Schultz A., van Beiden J.B., Luz A.P., Pellizari V., Labbé D., Greer C.W. Prevalence of alkane monooxygenase genes in Arctic and Antarctic hydrocarbon-contaminated and pristine soils // FEMS Microbiol. Ecol. 2002. V. 41. P. 141–150. https://doi.org/10.1111/j.1574-6941.2002.tb00975.x
Supplementary files









