Экспресс-анализ вертикального распределения 137Cs в почве для оценки темпов эрозионно-аккумулятивных процессов в зоне интенсивного радиоактивного загрязнения
- Авторы: Иванов М.М.1,2, Иванова Н.Н.2
-
Учреждения:
- Институт географии РАН
- МГУ им. М.В. Ломоносова
- Выпуск: № 4 (2023)
- Страницы: 510-520
- Раздел: ДЕГРАДАЦИЯ, ВОССТАНОВЛЕНИЕ И ОХРАНА ПОЧВ
- URL: https://journals.rcsi.science/0032-180X/article/view/138030
- DOI: https://doi.org/10.31857/S0032180X22601104
- EDN: https://elibrary.ru/HNXFYF
- ID: 138030
Цитировать
Полный текст
Аннотация
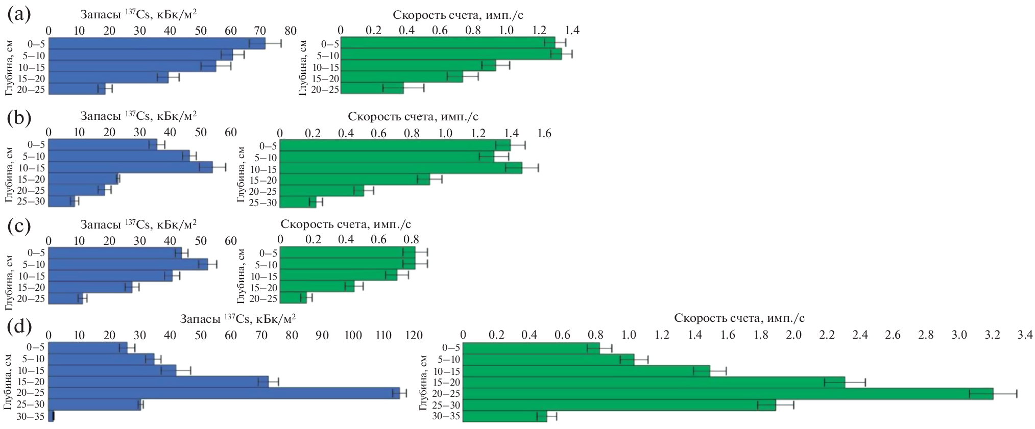
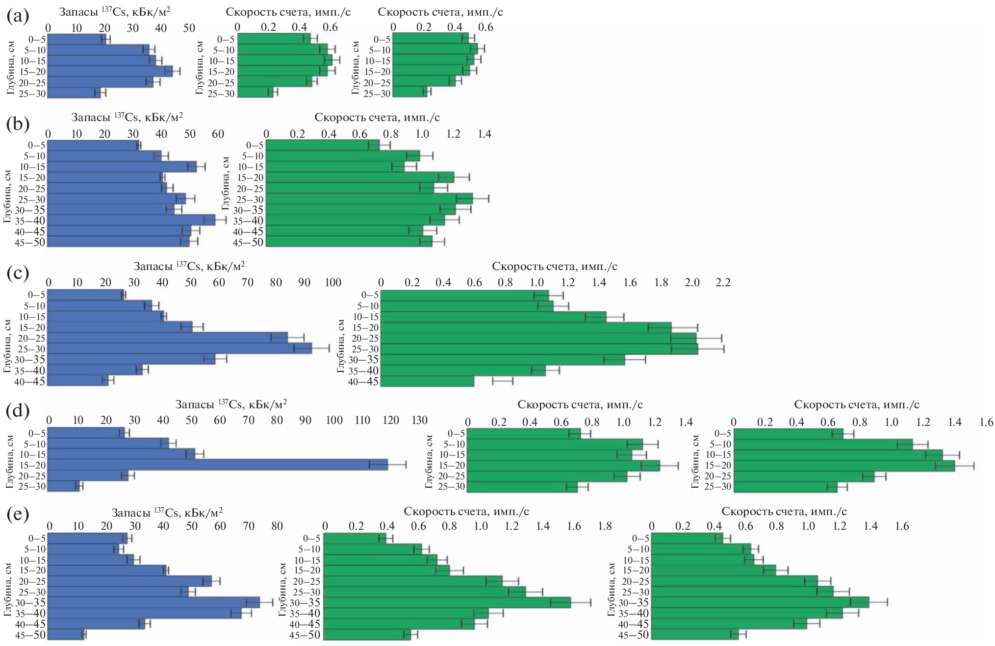
Полевая гамма-спектрометрия в условиях интенсивного радиоактивного загрязнения показала высокую эффективность при изучении проявлений эрозионно-аккумулятивных процессов и вызванной ими трансформации поля загрязнения. Целью представленной работы является оценка применимости компактных и широкодоступных гамма-детекторов для экспресс-анализа вертикального распределения 137Cs чернобыльского происхождения в почве и толщах наносов для определения мощности слоя аккумуляции за постчернобыльский период. В качестве объекта исследования были выбраны почвы и аккумулятивные толщи разного происхождения, сформированные в пределах “Плавского радиоактивного пятна” в южной части Тульской области. Можно заключить, что сравнительной экономичности и быстроте проведения измерения в заданных условиях возникают существенные искажения. Путем сопоставления получаемого вертикального распределения скорости счета гамма-квантов и реального распределения запасов 137Cs установлены систематические искажения, ограничивающие применимость предлагаемой схемы измерений. Рассмотрены основные перспективы дальнейшего применения методики экспресс-анализа вертикального распределения 137Cs в почве при сравнительно высоких концентрациях радионуклидов.
Ключевые слова
Об авторах
М. М. Иванов
Институт географии РАН; МГУ им. М.В. Ломоносова
Автор, ответственный за переписку.
Email: ivanovm@bk.ru
Россия, 119017, Москва, Старомонетный пер., 29, стр. 4; Россия, 119991, Москва, Ленинские горы, 1
Н. Н. Иванова
МГУ им. М.В. Ломоносова
Email: ivanovm@bk.ru
Россия, 119991, Москва, Ленинские горы, 1
Список литературы
- Атлас современных и прогнозных аспектов по следствий аварии на Чернобыльской АЭС на пострадавших территориях России и Белоруссии. М.–Минск: АСПА Россия–Беларусь, 2009. 139 с.
- Геннадиев А.Н., Голосов В.Н., Чернянский С.С., Маркелов М.В., Беляев В.Р., Иванова Н.Н., Ковач Р.Г. Сравнительная оценка содержания в почвах магнитных сферул, 137Cs и 210Pb для целей индикации эрозионно-аккумулятивных процессов // Почвоведение. 2006. № 10. С. 1218–1234.
- Голосов В.Н., Куксина Л.В., Иванов М.М., Фролова Н.Л., Иванова Н.Н., Беляев В.Р. Оценка перераспределения 137Cs в пойменных отложениях реки Упы (Тульская область) после аварии на Чернобыльской АЭС // Известия РАН. Сер. географическая. 2020. № 1. С. 67–79. https://doi.org/10.31857/S2587556620010082
- Иванов М.М., Гуринов А.Л., Иванова Н.Н., Коноплев А.В., Константинов Е.А., Кузьменкова Н.В., Терская Е.В., Голосов В.Н. Динамика накопления 137Cs в донных осадках Щекинского водохранилища за постчернобыльский период // Радиационная биология. Радиоэкология. 2019. Т. 59. № 6. С. 651–663.
- Иванова Н.Н., Голосов В.Н., Маркелов М.В. Сопоставление методов оценки интенсивности эрозионно-аккумулятивных процессов на обрабатываемых склонах // Почвоведение. 2000. № 7. С. 898–906.
- Иванова Н.Н., Шамшурина Е.Н., Голосов В.Н., Беляев В.Р., Маркелов М.В., Парамонова Т.А., Эврар О. Оценка перераспределения 137Cs экзогенными процессами в днище долины р. Плава (Тульская область) после аварии на Чернобыльской АЭС // Вестник Моск. ун-та. Сер. 5, география. 2014. № 1. С. 24–34.
- Ратников А.И. Геоморфологические и агропочвенные районы Тульской области // Почвенное районирование СССР. М.: Изд-во Моск. ун-та, 1960. С. 92–115.
- Филиппов Е.М. Гамма-гамма-каротаж с генератором гамма-квантов // Известия Томского политехнического ин-та. 1959. № 1 С. 87–95.
- Bertozzi W., Ellis D.V., Wahl J.S. The physical foundation of formation lithology logging with gamma rays // Geophysics. 1981. V. 46. № 10. P. 1439–1455.
- Chesnokov A.V., Govorun A.P., Fedin V.N., Ivanov O.P., Liksonov V.I., Potapov V.N., Shcherbak S.B., Smirnov S.V., Urutskoev L.I. Method and device to measure 137Cs soil contamination in-situ // Nuclear Instruments and Methods in Physics Research Section A: Accelerators, Spectrometers, Detectors and Associated Equipment. 1999. V. 420. № 1–2. P. 336–344. https://doi.org/10.1016/S0168-9002(98)00761-X
- Feng T.C., Jia M.Y., Feng Y.J. Method-sensitivity of in-situ γ spectrometry to determine the depth-distribution of anthropogenic radionuclides in soil // Nuclear Instruments and Methods in Physics Research Section A: Accelerators, Spectrometers, Detectors and Associated Equipment. 2012. V. 661. № 1. P. 26–30. https://doi.org/10.1016/j.nima.2011.09.014
- Fogh C.L., Andersson K.G., Roed J. In situ performance of the CORAD device measuring contamination levels and penetration ratio of 137Cs // Nuclear Instruments and Methods in Physics Research Section B: Beam Interactions with Materials and Atoms. 2000. V. 160. № 3. P. 408–414. https://doi.org/10.1016/S0168-583X(99)00611-4
- Gering F., Kiefer P., Fesenko S., Voigt G. In situ gamma-ray spectrometry in forests: determination of kerma rate in air from 137Cs // J. Environ. Radioactiv. 2002. V. 61. № 1. P. 75–89. https://doi.org/10.1016/S0265-931X(01)00116-3
- Golosov V.N. Special considerations for areas affected by Chernobyl fallout // Handbook for the assessment of soil erosion and sedimentation using environmental radionuclides. Dordrecht: Springer, 2002. P. 164–183.
- Ignatov S.M., Chirkin V.M., Potapov V.N., Ivanov O.P., Stepanov V.E., Meng L.J. Environmental monitoring using large-volume CsI (Tl) scintillation counters // 2001 IEEE Nuclear Science Symposium Conference Record (Cat. No. 01CH37310). 2001. V. 1. P. 380–384. https://doi.org/10.1109/NSSMIC.2001.1008481
- Ivanov M.M., Konoplev A.V., Walling D.E., Konstantinov E.A., Gurinov A.L., Ivanova N.N., Kuzmenkova N.V., Tsyplenkov A.S., Ivanov M.A., Golosov V.N. Using reservoir sediment deposits to determine the longer-term fate of chernobyl-derived 137Cs fallout in the fluvial system // Environ. Poll. 2021. V. 274. P. 116588. https://doi.org/10.1016/j.envpol.2021.116588
- Konoplev A.V., Ivanov M.M., Golosov V.N., Konstantinov E.A. Reconstruction of long-term dynamics of Chernobyl-derived 137Cs in the upa river using bottom sediments in the Scheckino reservoir and semi-empirical modelling // Proceedings IAHS “Land use and climate change impacts on erosion and sediment transport. 2019. V. 381. P. 95–99. https://doi.org/10.5194/piahs-381-95-2019
- Laedermann J.P., Byrde F., Murith C. In-situ gamma-ray spectrometry: the influence of topography on the accuracy of activity determination // J. Environ. Radioactiv. 1998. V. 38. № 1. P. 1–16. https://doi.org/10.1016/S0265-931X(97)00025-8
- Likar A., Omahen G., Vidmar T., Martincic R. Method to determine the depth of Cs-137 in soil from in-situ gamma-ray spectrometry // J. Phys. D: Appl. Phys. 2000. V. 33. № 21. P. 2825.
- Linnik V.G., Brown J.E., Dowdall M., Potapov V.N., Surkov V.V., Korobova E.M., Volosov A.G., Vakulovsky S.M., Tertyshnik E.G. Radioactive contamination of the Balchug (Upper Yenisey) floodplain, Russia in relation to sedimentation processes and geomorphology // Sci. Total Environ. 2005. V. 339. № 1–3. P. 233–251. https://doi.org/10.1016/j.scitotenv.2004.07.033
- Linnik V.G., Brown J.E., Dowdall M., Potapov V.N., Nosov A.V., Surkov V.V., Sokolov A.V., Wright S.M., Borghuis S. Patterns and inventories of radioactive contamination of island sites of the Yenisey River, Russia // J. Environ. Radioactiv. 2006. V. 87. № 2. P. 188–208. https://doi.org/10.1016/j.jenvrad.2005.11.011
- Martynenko V.P., Linnik V.G., Govorun A.P., Potapov V.N. Comparison of the Results of Field Radiometry and Sampling in the Investigation of 137Cs Soil Content in Bryansk Oblast // Atomic Energy. 2003. V. 95. № 4. P. 727–733. https://doi.org/10.1023/b:aten.0000010992.31484.3c
- Potapov V.N., Ivanov O.P., Chirkin V.M., Ignatov S.M. A dip detector for in situ measuring of Cs-137 specific soil activity profiles // IEEE Transactions on Nuclear Science. 2001. V. 48. № 4. P. 1194–1197. https://doi.org/10.1109/23.958749
- Potapov V.N., Danilovich A.S., Ignatov S.M., Volkovich A.G., Ivanov O.P., Stepanov V.E., Volkov V.G. Non-Destructive Measurements of the Characteristics of Radioactive Contamination of Near Surface Layers of Concrete and Ground with Collimated Spectrometric Detectors // Proceedings of the Waste Management Symposia. 2006.
- Povinec P.P., Osvath I., Baxter M.S. Underwater gamma-spectrometry with HPGe and NaI (Tl) detectors // Appl. Radiation Isotopes. 1996. V. 47. № 9–10. P. 1127–1133. https://doi.org/10.1016/S0969-8043(96)00118-2
- Slatt R.M., Jordan D.W., D’Agostino, A.E., Gillespie R.H. Outcrop gamma-ray logging to improve understanding of subsurface well log correlations // Geological Society. 1992. V. 65. № 1. P. 3–19. https://doi.org/10.1144/GSL.SP.1992.065.01.02
- Sowa W., Martini E., Gehrcke K., Marschner P., Naziry M.J. Uncertainties of in situ gamma spectrometry for environmental monitoring // Radiation Protection Dosimetry. 1989. V. 27. № 2. P. 93–101. https://doi.org/10.1093/oxfordjournals.rpd.a080450
- Stepanov A., Ivanov O., Potapov V., Stepanov V., Volkovich A., Semin I., Simirskii I. Development and Application of Collimated Spectrometric Systems for the Characterization of Radioactive Contamination of Decommissioned Facilities // WM2015 Conf. Proceedings-15030. Phoenix, 2015. P. 1–12.
- Tyler A.N. High accuracy in situ radiometric mapping // J. Environ. Radioactiv. 2004. V. 72. № 1–2. P. 195–202. https://doi.org/10.1016/S0265-931X(03)00202-9
- Varley A., Tyler A., Dowdall M., Bondar Y., Zabrotski V. An in situ method for the high resolution mapping of 137Cs and estimation of vertical depth penetration in a highly contaminated environment // Sci. Total Environ. 2017. V. 605. P. 957–966. https://doi.org/10.1016/j.scitotenv.2017.06.067
- Varley A., Tyler A., Bondar Y., Hosseini A., Zabrotski V., Dowdall M. Reconstructing the deposition environment and long-term fate of Chernobyl 137Cs at the floodplain scale through mobile gamma spectrometry // Environ. Poll. 2018. V. 240. P. 191–199. https://doi.org/10.1016/j.envpol.2018.04.112
- Vetrov V.A., Alexeenko V.A., Poslovin A.L., Chereminisov A.A., Nikitin A.A., Bovkun L.A. Radionuclide washout from natural catchments in the Dnieper River basin // J. Hydrology Meteorology. 1990. № 2. P. 120–123.
- Zombori P., Németh I., Andrási A., Lettner H. In-situ gamma-spectrometric measurement of the contamination in some selected settlements of Byelorussia (BSSR), Ukraine (UkrSSR) and the Russian Federation (RSFSR) // J. Environ. Radioactiv. 1992. V. 17. № 2–3. P. 97–106.
Дополнительные файлы







