Short–Range Variation of Humus and Carbonate Profiles of Arable Chernozems (Key Site in Belgorod Region)
- Authors: Smirnova M.A.1, Gennadiev A.N.1, Chendev Y.G.2
- 
							Affiliations: 
							- Lomonosov Moscow State University
- Belgorod State National Research University
 
- Issue: No 3 (2023)
- Pages: 300-311
- Section: ГЕНЕЗИС И ГЕОГРАФИЯ ПОЧВ
- URL: https://journals.rcsi.science/0032-180X/article/view/138014
- DOI: https://doi.org/10.31857/S0032180X22601086
- EDN: https://elibrary.ru/HDONUQ
- ID: 138014
Cite item
Full Text
Abstract
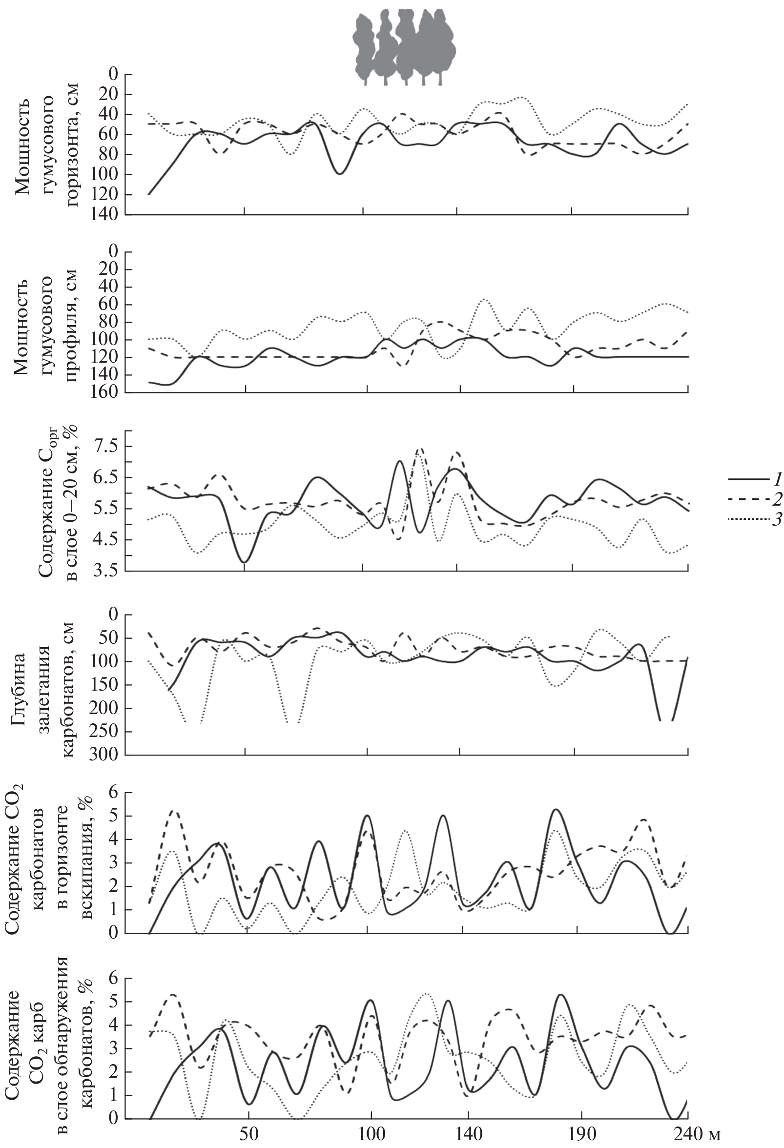
The short-range variation of soil properties is a particular expression of the spatial soil variability; it is non-directional short-periodic (in the range of a few meters) changes in soil-profile features. The short-range variation of soil properties is aimed to characterize the continuum nature of soil cover instead of the discrete (as in the soil cover pattern theory), thus the soil cover is presented by a continuum field of various soil properties, and the boundaries of the selected soil properties ranges may or may not coincide with the soil taxonomic boundaries. The study is based on soil data of three parallel transects (length 240 m) in the watershed, perpendicularly crossing the 60-year-old shelterbelt in their central part. The sampling step was 10 m on agricultural fields, 6 – under the shelterbelt; In total, the features of the humus (the content of organic carbon in the 0–20 cm layer, the thickness of the humus horizon and profile) and carbonate (the effervescence depth, the carbonate content in the effervescence layer and the horizon of maximum accumulation of carbonates) profiles were studied at 75 points. It was revealed that the parameters of the humus and carbonate profiles of soils have periodic changes with a step of 6–10 meters. The parameters of the humus profile are characterized by lower coefficients of variation (less than 30%) than the parameters of the carbonate profile of soils (more than 50%). The growth of trees on agrochernozems (Haplic Chernozem (Aric)) for 60 years led to the formation of new taxonomic components (postagrogenic agrochernozems (Haplic Chernozem)), characterized by a smaller lateral variation in soil properties compared to arable soils. In total, 3 types of soils are found within the studied area: agrochernozem (64 points; Haplic Chernozem (Aric, Loamic, Pachic)), clay-illuvial agrochernozem (7 points; Luvic Chernozem (Aric, Loamic, Pachic) and Luvic Chernic Phaeozem (Aric, Loamic, Pachic, Loamic, Pachic)) and agrochernozems, clay-illuvial quasigley (4 points; Luvic Stagnic Chernic Phaeozem (Aric, Loamic, Pachic)), including 8 subtypes.
About the authors
M. A. Smirnova
Lomonosov Moscow State University
							Author for correspondence.
							Email: summerija@yandex.ru
				                					                																			                												                								Russia, 119999, Moscow						
A. N. Gennadiev
Lomonosov Moscow State University
														Email: summerija@yandex.ru
				                					                																			                												                								Russia, 119999, Moscow						
Yu. G. Chendev
Belgorod State National Research University
														Email: summerija@yandex.ru
				                					                																			                												                								Russia, 308015, Belgorod						
References
- Аринушкина Е.В. Руководство по химическому анализу почв. М.: Изд-во Моск. ун-та, 1970. 490 с.
- Афанасьева Е.А. Черноземы Средне-Русской возвышенности. М.: Наука, 1966. 224 с.
- Белеванцев В.Г., Чендев Ю.Г. Картографический анализ социальных и природных явлений на территории Белгородской области в XVIII, XIX и XX вв. // Проблемы природопользования и экологическая ситуация в Европейской России и сопредельных странах. Белгород: Политерра, 2015. С. 6–16.
- Денисова Н.В. Почвенный покров Курской опытной станции // Научн. тр. Курской с.-х. опытной станции. Курск, 1967. Т. 1. С. 27–31.
- Дмитриев П.П., Худяков О.И. Педогенез в поселениях млекопитающих-землероев. М.: КМК, 2018. 250 с.
- Жидкин А.П., Геннадиев А.Н. Количественная оценка интенсивности вертикальной транслокации твердофазного вещества почв с помощью метода магнитного трассера // Почвоведение. 2016. № 7. С. 785–793.
- Классификация и диагностика почв России. Смоленск: Ойкумена, 2004. 342 с.
- Классификация и диагностика почв СССР. М.: Колос, 1977. 221 с.
- Княжнева Е.В., Надежкин С.М., Фрид А.С. Пространственная неоднородность уровня плодородия выщелоченного чернозема в пределах поля // Почвоведение. 2006. № 9. С. 1120–1129.
- Козловский Ф.И. Теория и методы изучения почвенного покрова. М.: ГЕОС, 2003. 534 с.
- Кураченко Н.Л. Пространственно-временная динамика агрохимических показателей чернозема в условиях минимальной обработки // Проблемы современной аграрной науки. 2018. С. 42–45.
- Лебедева И.И. Гумусовые и карбонатные аккумуляции как диагностические критерии в черноземах Восточной Европы // Бюл. Почв. ин-та им. В.В. Докучаева. 2011. № 68. С. 3–18.
- Лукин С.В. Агроэкологическое состояние и продуктивность почв Белгородской области. Белгород: Константа, 2016. 344 с.
- Смирнова М.А., Геннадиев А.Н., Чендев Ю.Г., Ковач Р.Г. Влияние полезащитных лесных насаждений на локальное разнообразие почв (Белгородская область) // Почвоведение. 2020. № 9. С. 1041–1052.
- Сидорова В.А., Красильников П.В. Почвенно-географическая интерпретация пространственной вариабельности химических и физических свойств поверхностных горизонтов почв степной зоны // Почвоведение. 2007. № 10. С. 1168–1178.
- Семенов В.М., Когут Б.М. Почвенное органическое вещество. М.: Геос, 2015. 233 с.
- Соколов И.А. Теоретические проблемы генетического почвоведения. Новосибирск: Наука, Сибирская издательская фирма, 1993. 232 с.
- Сорокина Н.П. Динамика почвенного покрова распаханного склона Курской опытной станции за 20-летний период // Региональные модели плодородия почв как основа совершенствования зональных систем земледелия. М.: Почв ин-т им. В. В. Докучаева, 1988. С. 163–171.
- Сорокина Н.П. Применение статистических методов при уточнении диагностики черноземов // Крупномасштабная картография почв. М.: Наука, 1971. С. 123–132.
- Сорокина Н.П. Элементарные почвенные структуры на полях Курской опытной станции // Крупномасштабная картография почв и ее значение в сельском хозяйстве черноземной зоны. М.: Почв. ин-т им. В.В. Докучаева, 1976. С. 155–173.
- Фомин Д.С. Пространственные закономерности распределения органического, карбонатного углерода в агроландшафте (Курский НИИ АПП) // Почвоведение: горизонты будущего. 2017. С. 76–81.
- Фишман М.И. Черноземные комплексы и их связь с рельефом на Среднерусской возвышенности // Почвоведение. 1977. № 5. С. 17–30.
- Фридланд В.М. Структура почвенного покрова. М.: Мысль, 1972. С. 424.
- Фридланд В.М., Белобров В.П., Дайнеко Е.К. Опыт статистического анализа морфологических свойств черноземов целинной степи // Почвоведение. 1969. № 4. С. 12–24.
- Хитров Н.Б. Создание детальных почвенных карт на основе интерполяции данных о свойствах почв // Почвоведение. 2012. № 10. С. 1045–1046.
- Хитров Н.Б., Лойко С.В. Структура почвенного покрова плоских водораздельных пространств Каменной Степи // Почвоведение. 2010. № 12. С. 1411–1423.
- Целищева Л.К., Дайнеко Е.К. Очерк почв стрелецкого участка центрально-черноземного заповедника // Тр. Центрально-черноземного государственного заповедника им. В.В. Алёхина. 1966. Вып. 10.
- Hartemink A.E., Gennadiyev A.N., Bockheim J.G., Bero N. Short-range variation in a Wisconsin soilscape (USA) // Eurasian Soil Science. 2017. V. 50. № 2. P. 198–209.
- Heuvelink G.B.M., Webster R. Modelling soil variation: past, present, and future // Geoderma. 2001. V. 100. № 3–4. P. 269–301.
- Khitrov N., Smirnova M., Lozbenev N., Levchenko E., Gribov V., Kozlov D., Rukhovich D., Kalinina N., Koroleva P. Soil cover patterns in the forest-steppe and steppe zones of the East-European plain // Soil Sci. Annual. 2019. V. 70(3). P. 198–210. https://doi.org/10.2478/ssa-2019-0018
- Lozbenev N., Yurova A., Smirnova M., Kozlov D. Incorporating process-based modeling into digital soil mapping: A case study in the virgin steppe of the central Russian upland // Geoderma. 2021. V. 383. P. 114733. https://doi.org/10.1016/j.geoderma.2020.114733
- McBratney A.B., Webster R. Spatial dependence and classification of the soil along a transect in northeast Scotland // Geoderma. 1981. V. 26. № 1–2. P. 63–82.
- Wilkinson M.T., Richards P.J., Humphreys G.S. Breaking ground: Pedological, geological, and ecological implications of soil bioturbation // Earth-Sci. Rev. 2009. V. 97. P. 254–269. https://doi.org/10.1016/j.earscirev.2009.09.005
- Zhang Y., Hartemink A.E. Quantifying short-range variation of soil texture and total carbon of a 330-ha farm // Catena. 2021. V. 201. P. 105200.
Supplementary files
 
				
			 
					 
						 
						 
						 
						 
				
 
  
  
  Email this article
			Email this article 




