Benthic foraminiferal assemblages as indicators of recent environmental conditions in the northeastern east siberian
- Authors: Ovsepyan E.A.1, Ovsepyan Y.S.1,2, Mitrofanova N.O.1,2, Korsun S.A.1, Rhee T.S.3, Jin Y.K.3
-
Affiliations:
- Shirshov Institute of Oceanology Russian Academy of Sciences
- Geological Institute Russian Academy of Sciences
- Korea Polar Research Institute
- Issue: Vol 64, No 5 (2024)
- Pages: 792-806
- Section: Морская биология
- URL: https://journals.rcsi.science/0030-1574/article/view/281376
- DOI: https://doi.org/10.31857/S0030157424050054
- EDN: https://elibrary.ru/OFXRMP
- ID: 281376
Cite item
Full Text
Abstract
Quantitative analyses of species composition and abundance of benthic foraminifers in the surface samples on the submeridional profile in the northeastern East Siberian Sea reveal three assemblages associated to the middle-outer shelf, upper and middle continental slope. Maximum abundance of “living” benthic foraminifers is found near the shelf break which is possibly related to enhanced sea surface bioproductivity. Active dissolution of calcareous microfossils is detected at the shelf area whereas preservation of calcareous tests becomes better with depth. Some micropaleontological and grain-size data indirectly point to the development of compensatory currents on the middle-outer shelf in the East Siberian Sea.
Full Text
ВВЕДЕНИЕ
Восточно-Сибирское море (ВСМ) – самое мелководное и самое ледовитое море евразийской континентальной окраины, которое, несмотря на возросшую экспедиционную активность, остается одним из наименее изученных районов из-за короткого безледного навигационного сезона и суровых климатических условий. В том числе остается малоизученной реакция сообществ бентосных фораминифер (БФ) на состояние современной окружающей среды в этом районе. В немногочисленных ранних работах содержатся сведения, в основном, о видовом составе и численности современной фауны БФ в ВСМ [13, 40, 42]. В мелководной изолированной Чаунской губе, расположенной в юго-восточной части моря, установлено, что структура сообществ меняется как с увеличением глубины, так и по контуру залива [6].
За последние годы сообщества современных (“живых”) БФ были проанализированы на континентальном склоне, севернее бровки шельфа ВСМ [36], и в мелководной западной части бассейна [8]. В западной части моря выделено четыре комплекса, которые постепенно сменяют друг друга по мере удаления от устья реки Индигирки [8]. В результате анализов проб поверхностных осадков, собранных в 2015 г. на континентальном склоне, установлено доминирование секреционно-известковых БФ, в том числе вида Cassidulina neoteretis – индикатора трансформированных атлантических вод [36]. При этом северо-восточная часть ВСМ остается практически неизученной.
Целью данной работы является анализ видового состава и численности сообществ “живых” и мертвых БФ, а также изучение пространственного распространения “живых” комплексов в зависимости от условий природной среды на субмеридиональном разрезе в северо-восточной части ВСМ.
ОКЕАНОЛОГИЧЕСКИЕ УСЛОВИЯ
ВСМ, расположенное между Чукотским морем и морем Лаптевых, является самым мелководным бассейном среди окраинных арктических морей; наиболее распространенные глубины находятся в диапазоне 20–30 м [4]. Достаточно ровное дно ВСМ без значительных поднятий и впадин за исключением вытянутых в субмеридиональном направлении палеодолин рек Индигирки и Колымы слабо наклонено с северо-запада на юго-восток [4].
Как и другие окраинные моря Арктики, ВСМ характеризуется ярко выраженным опреснением поверхностного слоя, которое формируется как за счет стока рек Индигирки и Колымы [22], так и вследствие весеннего таяния льда [19]. Опресненные воды моря Лаптевых, проникающие в ВСМ через проливы Дмитрия Лаптева и Санникова, также вносят вклад в формирование поверхностного слоя в районе исследования [45]. Пресные воды сибирских рек, впадающих в Арктику, формируют Сибирское Прибрежное течение, которое берет начало в море Лаптевых и движется на восток вдоль материкового побережья, достигая Чукотского моря [33, 45].
Благодаря стоку рек, в западной части ВСМ распространены опресненные воды с низким содержанием биогенных элементов, в то время как восточная часть моря находится под влиянием вод тихоокеанского происхождения, соленых и богатых биогенными элементами, проникающих в ВСМ из Чукотского моря [39].
Морской лед покрывает поверхность ВСМ около 10 месяцев в году. Короткий летний сезон наступает в августе–октябре, когда площадь ледового покрова сокращается или он отсутствует совсем [4].
В гидрологической структуре водной толщи выделяется опресненный поверхностный слой (θ = 1.0–4.0°C, S <28‰), занимающий верхние 20–30 м и, таким образом, омывающий большую часть площади морского дна. Ниже в диапазоне глубин 30–100 м в северо-восточной части моря распространены холодные, соленые и плотные Восточно-Сибирские холодные шельфовые воды (ВСХШВ, θ = –1.7–1.2°C, S = 32.8–34.0‰), формирующиеся во время зимнего льдообразования. За счет пониженного pH [17] придонные условия в области влияния этой воды неблагоприятны для развития фауны с известковым скелетом. Глубины 100–~150 м занимают воды арктического галоклина (ВАГ, θ = –1.7–1.4°C, S = 29.5–32.8‰), под которыми на глубинах ~150–350 до 900 м на континентальном склоне присутствует теплый слой трансформированных атлантических вод (ТАВ, θ = –0.50–1.16°C, S = 34.60–34.87‰) [19, 44]. Данная водная масса образуется в результате охлаждения и смешения поступающих в Арктику атлантических вод с окружающими полярными водами (например, [19]). Глубоководные области Арктики с глубинами >900 м омываются Арктической донной водой (АДВ, θ <–0.50°C, S ~34.9‰) [19, 44].
Донные осадки ВСМ представлены в основном глинами и глинистыми алевритами, иногда с примесью песка [5]. Содержание органического углерода составляет около 1.3% в прибрежной части моря [1, 11]. Среднегодовая первичная продукция в северо-восточной части моря низкая и составляет 68 ± 22 мг С/м2 в сут с максимальными значениями в июне (273 мг С/м2 в сут) [2].
МАТЕРИАЛ И МЕТОДЫ
Количественные анализы комплексов БФ выполнены в 10-ти поверхностных пробах донных осадков (0–1 см), отобранных в рейсах ARA09C и ARA10C на ледоколе “Араон” в 2018 и 2019 гг. (рис. 1, табл. 1, [26, 27]). Пробы были подняты мультикорером MUC8, оборудованным пластиковыми трубками c внутренним диаметром 10.5 см и длиной 80 см [26, 27] Сразу после отбора поверхностные пробы были залиты 100–150 мл 75%-го спиртового раствора бенгальского розового с концентрацией 2 г/л, в соответствии с протоколом FOBIMO [37]. После отбора пробы периодически встряхивались до образования гомогенной суспензии для обеспечения равномерности окрашивания особей и хранились при комнатной температуре.
Таблица 1. Список станций, выполненных в рейсах ARA09 и ARA10, характеристики придонного слоя воды и поверхностных донных осадков
№ | Станция | Короткое название станции | Широта, °с.ш. | Долгота, °в.д. | Глубина моря, м | T, °C | S, ‰ | Водная масса* | Песок, % | Силт, % | Глина, % | Сорг, % |
1 | ARA10C/St08-MC | St.08 (10) | 73° 41.7522′ | 167° 40.6060′ | 43 | –1.46 | 30.31 | ВСХШВ | 6.72 | 72.65 | 20.63 | 1.17 |
2 | ARA10C/St09-MC | St.09 (10) | 73° 56.2577′ | 168° 50.15′ | 48 | –1.50 | 31.85 | ВСХШВ | – | – | – | – |
3 | ARA10C/St36-MC | St.36 (10) | 73° 56.6716′ | 170° 44.4277′ | 48 | –1.72 | 32.20 | ВСХШВ | 3.79 | 79.81 | 16.41 | 1.34 |
4 | ARA10C/St10-MC | St.10 (10) | 74° 05.2578′ | 169° 49.1415′ | 49 | –1.54 | 31.91 | ВСХШВ | 16.45 | 66.55 | 17.01 | 1.19 |
5 | ARA10C/St11-MC | St.11 (10) | 74° 24.5348′ | 170° 40.8649′ | 59 | –1.60 | 32.55 | ВСХШВ | 2.03 | 81.43 | 16.54 | 1.66 |
6 | ARA10C/St12-MC | St.12 (10) | 74° 41.4787′ | 171° 50.0334′ | 65 | –1.44 | 32.87 | ВСХШВ | 16.78 | 70.78 | 12.44 | 1.04 |
7 | ARA09C/St25-MC | St.25 (09) | 75° 11.4712′ | 170° 23.9218′ | 82 | –1.41 | 33.19 | ВСХШВ | 5.53 | 75.00 | 19.47 | 1.30 |
8 | ARA10C/St13-MC | St.13 (10) | 74° 56.4942′ | 172° 55.0516′ | 123 | –0.72 | 34.35 | ВАГ | 0.75 | 79.49 | 19.76 | 2.01 |
9 | ARA10C/St15-MC | St.15 (10) | 75° 48.0242′ | 176° 19.9687′ | 370 | 0.98 | 34.83 | ТАВ | 2.36 | 72.49 | 25.15 | 0.98 |
10 | ARA10C/St14-MC | St.14 (10) | 77° 07.9210′ | 179° 58.8750′ | 1351 | –0.39 | 34.92 | АДВ | 0.74 | 64.37 | 34.89 | 1.18 |
Примечание: размеры песка – 2000–63 мкм, силта – 63–2 мкм, глины – <2 мкм;
* водные массы по [44] (ВСХШВ – Восточно-Сибирские холодные шельфовые воды, ВАГ – воды Арктического галоклина, ТАВ – трансформированные атлантические воды, АДВ – Арктическая донная вода).
Рис. 1. Карта станций (а) и температура вдоль субмеридионального профиля (б) по [48]. Тонкими пунктирными стрелками показана поверхностная циркуляция, сплошные стрелки маркируют направление движения промежуточных трансформированных атлантических вод. Черными кружками отмечены изученные в работе станции, белыми – станции из работы [36]. Пунктирной линией показан субмеридиональный разрез. ТАВ – трансформированные атлантические воды.
Перед анализом влажные пробы были высушены в сушильном шкафу при температуре 50°C для определения веса сухого осадка, взвешены, а после этого залиты водой и промыты через сита с ячейками 125 и 63 мкм и снова высушены. В результате были получены две фракции: 63–125 и >125 мкм, в каждой из которых проводились определения и подсчет видов. После объединения данных было рассчитано содержание всех найденных видов во фракции >63 мкм. Общее содержание раковин БФ было нормировано на объем влажного грунта (экз./50 см3) и единицу массы сухого непромытого осадка (экз./г).
Использованный раствор бенгальского розового окрашивает цитоплазму фораминифер, тем самым позволяя отделить живых на момент отбора особей от мертвых экземпляров [43]. Однако неразложившаяся цитоплазма недавно погибшего организма также может быть окрашена, что приводит к завышению числа реально живших на момент отбора организмов [37]. В данной работе все найденные БФ были разделены на три группы. Первая группа (ярко-розовые) содержала экземпляры с заполняющей всю раковину, кроме последней камеры, и окрашенной в ярко-розовый цвет цитоплазмой. Такие экземпляры считались “живыми” на момент отбора [37]. Вторая группа (бледно-розовые) включала в себя экземпляры с окрашенными органическими выстилками бледно-розового цвета и/или небольшим количеством ярко-розовой цитоплазмы, заполняющей незначительную часть раковины. Такие представители считались недавно жившими организмами, цитоплазма которых не успела полностью разложиться. Третья группа (мертвых) содержала неокрашенные раковины БФ. Данный подход помогает понять интенсивность тафономических процессов в районе исследования по соотношению процентного содержания всех трех групп в одном образце. Агглютинирующие представители классифицировались как живые, если была окрашена область устья и просматривалась цитоплазма при смачивании раковины водой.
Гранулометрические анализы были проведены на лазерном дифракционном анализаторе размеров частиц SALD-2300 (Shimadzu, Япония) для валового осадка с предварительным удалением органического вещества перекисью водорода. Содержания органического и неорганического углерода в осадке были определены на анализаторе TOC–L (Shimadzu, Япония). Измерения температуры и солености проводились с помощью CTD-зонда (SBE911plus).
РЕЗУЛЬТАТЫ
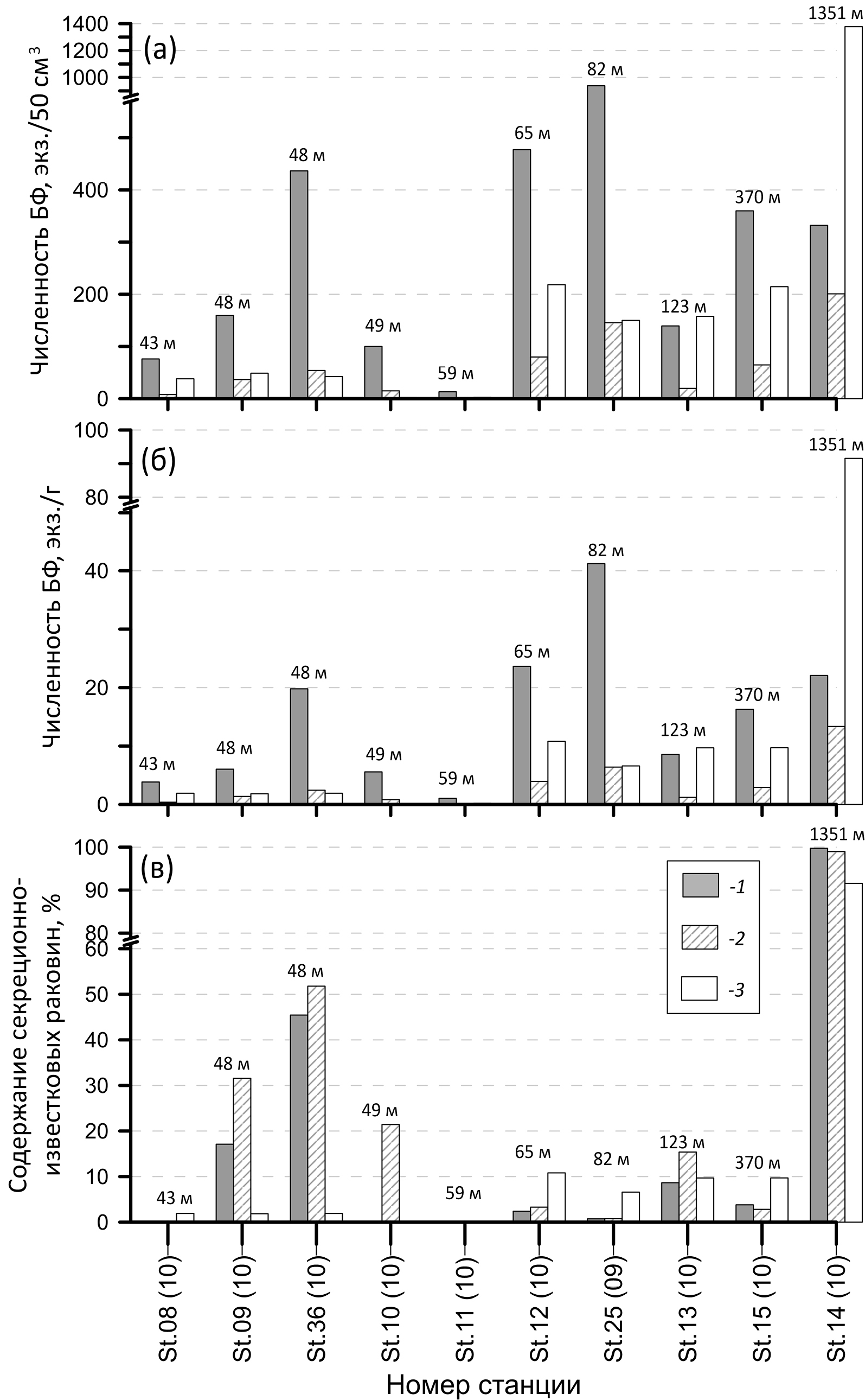
Удалось идентифицировать 62 вида бентосных фораминифер (26 видов с агглютинированной раковиной, 36 – с секреционно-известковой). Практически во всех образцах число подсчитанных раковин составило больше 110 экземпляров, за исключением St. 11(10), где было найдено всего 13 раковин. Результаты подсчета ярко-розовых (“живых”), бледно-розовых (недавно живших) и белых (мертвых) экземпляров во фракции >63 мкм приведены в табл. 2. Общая численность ярко-розовых раковин БФ, рассчитанных на единицу объема и массы сухого непромытого осадка увеличивается от более мелководных районов по направлению к бровке шельфа, где обе численности демонстрируют максимальные значения (рис. 2а, б). Концентрация бледно-розовых и белых раковин на единицу массы и объема постепенно увеличивается с глубиной. Следует отметить, что на шельфовых станциях (гл. 43–123 м) практически все бледно-розовые и белые секреционно-известковые раковины частично растворены или несут следы коррозии. На самой глубоководной станции St. 14(10) все найденные экземпляры БФ отличной сохранности. На большинстве станций комплексы БФ представлены агглютинирующими видами, доля которых превышает 50% (рис. 2в). Исключение составляет станция St. 14(10), на которой комплекс БФ более чем на 90% состоит из секреционно-известковых раковин.
Таблица 2. Количество экземпляров и численность “живых” (“Ж”), недавно живших (НЖ) и мертвых (М) бентосных фораминифер во фракции >63 мкм в поверхностных пробах донных осадков, объем отобранных проб и вес сухого непромытого осадка на станциях, выполненных в рейсах ARA09 и ARA10
Станция | St.08(10) | St.09(10) | St.36(10) | St.10(10) | St.11(10) | St.12(10) | St.25(09) | St.13(10) | St.15(10) | St.14(10) | |
Глубина, м | 43 | 48 | 48 | 49 | 59 | 65 | 82 | 123 | 370 | 1351 | |
Станция | St.08(10) | St.09(10) | St.36(10) | St.10(10) | St.11(10) | St.12(10) | St.25(09) | St.13(10) | St.15(10) | St.14(10) | |
Глубина, м | 43 | 48 | 48 | 49 | 59 | 65 | 82 | 123 | 370 | 1351 | |
Buccella frigida, экз. | “Ж” | 9 | 25 | 72 | 6 | 0 | 2 | 1 | 22 | 9 | 0 |
НЖ/М | 0/0 | 3/5 | 2/9 | 0/0 | 0/0 | 0/0 | 0/0 | 1/3 | 0/0 | 0/4 | |
Cassidulina neoteretis, экз. | “Ж” | 0 | 0 | 0 | 0 | 0 | 0 | 0 | 0 | 23 | 38 |
НЖ/М | 0/0 | 0/0 | 0/0 | 0/0 | 0/0 | 0/0 | 0/0 | 0/0 | 0/0 | 12/199 | |
Cibicidoides wuellerstorfi, экз. | “Ж” | 0 | 0 | 0 | 0 | 0 | 0 | 0 | 0 | 0 | 35 |
НЖ/М | 0/0 | 0/0 | 0/0 | 0/0 | 0/0 | 0/0 | 0/0 | 0/0 | 0/0 | 72/391 | |
Eoeponidella pulchella, экз. | “Ж” | 10 | 16 | 2 | 0 | 0 | 54 | 44 | 11 | 3 | 0 |
НЖ/М | 0/0 | 10/4 | 2/0 | 0 | 0 | 1/3 | 0/0 | 0/0 | 0/0 | 0/0 | |
Elphidium clavatum, экз. | “Ж” | 3 | 5 | 102 | 15 | 1 | 17 | 0 | 1 | 37 | 0 |
НЖ/М | 0/0 | 2/0 | 25/6 | 2/0 | 0/0 | 0/0 | 0/0 | 1/4 | 1/5 | 0/5 | |
Elphidiella groenlandica, экз. | “Ж” | 2 | 4 | 1 | 7 | 2 | 3 | 0 | 0 | 0 | 0 |
НЖ/М | 0/0 | 0/0 | 0/0 | 1/0 | 0/0 | 0/0 | 0/0 | 0/0 | 0/0 | 0/4 | |
Haynesina orbiculare, экз. | “Ж” | 13 | 16 | 16 | 6 | 2 | 1 | 12 | 0 | 0 | 0 |
НЖ/М | 0/0 | 2/3 | 0/3 | 0/0 | 0/0 | 2/0 | 1/0 | 0/1 | 0/0 | 0/0 | |
Ioanella tumidula, экз. | “Ж” | 0 | 0 | 0 | 0 | 0 | 0 | 0 | 0 | 0 | 40 |
НЖ/М | 0/0 | 0/0 | 0/0 | 0/0 | 0/0 | 0/0 | 0/0 | 0/0 | 0/0 | 134/42 | |
Islandiella islandica, экз. | “Ж” | 0 | 0 | 0 | 0 | 0 | 0 | 0 | 0 | 0 | 12 |
НЖ/М | 0/0 | 0/0 | 0/0 | 0/0 | 0/0 | 0/0 | 0/0 | 0/0 | 0/0 | 0/26 | |
Oridorsalis tener, экз. | “Ж” | 0 | 0 | 0 | 0 | 0 | 0 | 0 | 0 | 0 | 25 |
НЖ/М | 0/0 | 0/0 | 0/0 | 0/0 | 0/0 | 0/0 | 0/0 | 0/0 | 0/0 | 62/573 | |
Pyrgo williamsoni, экз. | “Ж” | 0 | 1 | 0 | 0 | 0 | 0 | 0 | 0 | 39 | 0 |
НЖ/М | 0/0 | 0/0 | 0/0 | 0/0 | 0/0 | 0/0 | 0/0 | 0/0 | 0/0 | 0/0 | |
Stetsonia horvarthi, экз. | “Ж” | 0 | 0 | 0 | 0 | 0 | 0 | 0 | 0 | 0 | 94 |
НЖ/М | 0/0 | 0/0 | 0/0 | 0/0 | 0/0 | 0/0 | 0/0 | 0/0 | 0/0 | 0/117 | |
Valvulineria arctica, экз. | “Ж” | 0 | 0 | 0 | 0 | 0 | 0 | 0 | 0 | 0 | 14 |
НЖ/М | 0/0 | 0/0 | 0/0 | 0/0 | 0/0 | 0/0 | 0/0 | 0/0 | 0/0 | 2/43 | |
Adercotryma glomerata, экз. | “Ж” | 0 | 0 | 0 | 0 | 0 | 6 | 112 | 10 | 1 | 3 |
НЖ/М | 0/0 | 1/0 | 0/0 | 0/0 | 0/0 | 0/3 | 26/21 | 6/62 | 1/1 | 1/2 | |
Ammotium cassis, экз. | “Ж” | 3 | 4 | 1 | 1 | 1 | 131 | 11 | 2 | 0 | 0 |
НЖ/М | 0/23 | 1/23 | 0/0 | 0/0 | 0/0 | 1/38 | 0/0 | 0/3 | 0/0 | 0/0 | |
Cribrostomoides crassimargo, экз. | “Ж” | 0 | 0 | 0 | 0 | 0 | 3 | 11 | 0 | 9 | 0 |
НЖ/М | 0/0 | 0/0 | 0/0 | 0/0 | 0/0 | 0/12 | 0/2 | 0/0 | 1/0 | 0/0 | |
Haplophragmoides sp., экз. | “Ж” | 0 | 0 | 0 | 0 | 0 | 0 | 0 | 9 | 0 | 0 |
НЖ/М | 0/0 | 0/0 | 0/0 | 0/0 | 0/0 | 0/0 | 0/0 | 1/13 | 0/0 | 0/0 | |
Eggerella advena, экз. | “Ж” | 30 | 15 | 8 | 1 | 0 | 0 | 0 | 0 | 0 | 0 |
НЖ/М | 2/13 | 12/4 | 3/2 | 1/0 | 0/0 | 0/0 | 0/0 | 0/0 | 0/0 | 0/0 | |
Lagenammina atlantica, экз. | “Ж” | 0 | 0 | 0 | 0 | 0 | 1 | 68 | 0 | 52 | 1 |
НЖ/М | 1/0 | 0/0 | 1/0 | 0/0 | 0/0 | 1/0 | 4/8 | 1/0 | 11/5 | 0/1 | |
Recurvoides trochamminiforme, экз. | “Ж” | 1 | 0 | 1 | 0 | 1 | 0 | 3 | 0 | 83 | 0 |
НЖ/М | 0/0 | 0/0 | 0/0 | 0/0 | 0/0 | 0/0 | 3/10 | 0/0 | 14/93 | 0/0 | |
Recurvoides sp., экз. | “Ж” | 0 | 0 | 2 | 0 | 0 | 63 | 168 | 2 | 0 | 0 |
НЖ/М | 0/0 | 0/0 | 1/1 | 0/0 | 0/0 | 15/13 | 3/0 | 0/1 | 0/0 | 0/0 | |
Reophax scorpiurus, экз. | “Ж” | 0 | 0 | 0 | 0 | 0 | 0 | 32 | 0 | 4 | 0 |
НЖ/М | 0/0 | 0/0 | 0/0 | 0/0 | 0/0 | 0/0 | 2/2 | 0/0 | 0/0 | 0/0 | |
Saccorhiza ramosa, экз. | “Ж” | 0 | 0 | 0 | 0 | 0 | 0 | 0 | 0 | 24 | 0 |
НЖ/М | 0/0 | 0/0 | 0/0 | 0/0 | 0/0 | 0/0 | 0/0 | 0/0 | 0/1 | 0/0 | |
Spiroplectammina biformis, экз. | “Ж” | 0 | 0 | 1 | 3 | 0 | 13 | 18 | 2 | 0 | 0 |
НЖ/М | 0/0 | 0/0 | 0/0 | 0/0 | 0/0 | 1/58 | 0/12 | 0/0 | 0/0 | 0/0 | |
Textularia torquata, экз. | “Ж” | 36 | 148 | 233 | 55 | 0 | 215 | 283 | 23 | 1 | 0 |
НЖ/М | 8/15 | 25/36 | 22/20 | 10/2 | 0/0 | 69/56 | 76/25 | 2/5 | 0/1 | 0/0 | |
Trochammina nana, экз. | “Ж” | 0 | 0 | 1 | 0 | 1 | 9 | 11 | 3 | 63 | 0 |
НЖ/М | 0/0 | 0/0 | 0/1 | 0/0 | 0/1 | 0/2 | 12/19 | 1/11 | 24/88 | 0/0 | |
Trochammina globigeriniformis, экз. | “Ж” | 0 | 4 | 0 | 0 | 0 | 1 | 0 | 0 | 12 | 1 |
НЖ/М | 0/0 | 0/0 | 0/0 | 0/0 | 0/0 | 0/0 | 0/1 | 0/0 | 10/15 | 0/0 | |
Trochammina sp., экз. | “Ж” | 0 | 0 | 0 | 0 | 0 | 0 | 0 | 0 | 0 | 10 |
НЖ/М | 0/0 | 0/0 | 0/0 | 0/0 | 0/0 | 0/55 | 0/25 | 0/0 | 0/0 | 0/1 | |
Другие виды, экз. | “Ж” | 1 | 11 | 14 | 0 | 2 | 25 | 70 | 7 | 36 | 36 |
НЖ/М | 1/2 | 1/1 | 0/2 | 0/0 | 1/1 | 1/9 | 4/10 | 0/0 | 9/26 | 10/130 | |
Всего экз. | “Ж” | 108 | 249 | 454 | 94 | 10 | 544 | 844 | 92 | 396 | 309 |
НЖ | 11 | 57 | 56 | 14 | 1 | 91 | 131 | 13 | 71 | 293 | |
М | 54 | 76 | 44 | 2 | 2 | 249 | 135 | 104 | 236 | 1538 | |
Всего в образце, экз. | 173 | 382 | 554 | 110 | 13 | 884 | 1110 | 209 | 703 | 2140 | |
Вес сухого непромытого осадка, г | 28 | 41 | 22.9 | 17 | 9.4 | 23 | 20.5 | 11 | 24.3 | 16.85 | |
Объем образца, см3 | 71 | 71 | 52 | 47 | 38 | 57 | 45 | 33 | 55 | 56 | |
Практически на всех станциях доминируют ярко-розовые (“живые”) экземпляры, кроме St. 14(10), где преобладают белые раковины (рис. 3). Содержание бледно-розовых относительно постоянно во всех изученных образцах. Процентное содержание ярко-розовых видов БФ в поверхностных осадках представлено на рис. 4.
Рис. 2. Численность раковин бентосных фораминифер во фракции >63 мкм, пересчитанная на объем (а) и вес (б), а также доля секреционно-известковых раковин в комплексе. Доля секреционно-известковых раковин не рассчитывалась для St. 11(10) из-за малого количества экземпляров в пробе. 1 – ярко-розовые (“живые”); 2 – бледно-розовые (недавно жившие); 3 – неокрашенные (мертвые).
Рис. 3. Содержание раковин бентосных фораминифер разной степени окрашенности в поверхностном слое осадка на изученных глубинах. Данные по станциям St. 10(10) (фракция >125 мкм) и St. 11(10) не рассчитывались из-за малого количества экземпляров в пробе. Условные обозначения см. рис. 2.
Рис. 4. Распределение “живых” представителей видов с содержанием >2% во фракции >63 мкм в поверхностном слое осадка.
ОБСУЖДЕНИЕ
Сохранность раковин БФ. Преобладание “живых” представителей в комплексе БФ (рис. 2, 3), присутствие многочисленных изъеденных раковин недавно живших особей, а также доминирование агглютинированных раковин (рис. 2) свидетельствуют об интенсивном посмертном растворении известковых биогенных компонентов осадка на среднем и внешнем шельфе ВСМ. Неблагоприятные для развития и захоронения раковин БФ условия отмечаются как в соседних районах моря [8, 49], так и в других арктических морях [25, 34, 46, 47]. Исследователи объясняют формирование таких обстановок высоким содержанием растворенного углекислого газа, поступающего как из атмосферы [35], так и за счет бактериального разложения лабильного органического вещества, которое образуется в фотическом слое, приносится реками и/или поступает в море в результате абразии берегов [2, 12, 18]. Реки также являются источником биогенных элементов, поступление которых способствует сезонному увеличению биопродуктивности поверхностных вод в приустьевой зоне моря [2]. Кроме того, установлению агрессивной по отношению к известковым раковинам среды способствуют плотные и соленые рассолы, которые формируются при льдообразовании [21, 44].
Постепенное увеличение доли пустых раковин с глубиной связано, скорее всего, с улучшением сохранности погибших особей за счет разбавления агрессивных ВСХШВ менее агрессивными ВАГ вблизи бровки шельфа и влиянием ТАВ и АДВ на континентальном склоне (табл. 1). Установленные закономерности не противоречат ранее выявленному тренду ослабления интенсивности растворения секреционно-известковых раковин с глубиной [46].
Комплексы “живых” бентосных фораминифер как индикаторы современных обстановок. В результате анализов видового состава и численности “живых” БФ в поверхностных осадках в северо-восточной части ВСМ выделено три комплекса. Первый из них объединяет сообщества со станций среднего (30–50 м) и внешнего (50–200 м) шельфа: St. 8(10), St. 9(10), St. 10(10), St. 36(10), St. 12(10), St. 25(09) и St. 13(10) (глубины отбора 43–123 м). Наибольший вклад в видовое разнообразие и численность вносят экземпляры из фракции 63–125 мкм, что также отмечают многие исследователи для других арктических морей [21, 36, 46]. Преобладание особей мелкого размера является признаком стрессовых условий [10].
Доминирующим таксоном в первом комплексе является вид Textularia torquata – типичный представитель мелководных арктических морей, который выдерживает широкий спектр условий, в том числе существенные колебания температуры и солености [21, 24, 46]. Действительно, согласно гидрологическим данным, в ВСМ этот комплекс формируется в области влияния ВСХШВ (табл. 1, [44]) – холодного подповерхностного слоя, который за счет сезонного образования льда периодически обогащается холодными, плотными и солеными водами (рассолами) с низким pH и высоким содержанием кислорода [17]. В рамках предыдущих исследований ВСМ авторы отмечали присутствие T. torquata в поверхностных осадках Чаунской губы и на прилегающем шельфе в небольших количествах и не относили его к доминантным видам [6, 42]. В море Лаптевых данный вид демонстрирует максимальную численность в зоне мелководного опресненного шельфа [7, 46].
Субдоминантные таксоны представлены разными видами на разных станциях (рис. 4). Вид Elphidium clavatum, так же как и T. torquata, выдерживающий стрессовые изменчивые условия, присутствует во всех изученных пробах, однако, является субдоминантным только на глубинах 48–49 м. Вероятно, этот вид не выдерживает конкуренции с T. torquata в условиях повышенной солености и активного растворения известковых компонентов осадка. Содержание вида Eggerella advena велико на самой мелководной станции с глубиной 43 м. Максимальное содержание раковин Ammotium cassis зафиксировано на глубине 65 м, хотя в районе Шпицбергена этот вид обитает, в основном, в мелководных внутренних частях фьордов [24]. Доля Adercotryma glomerata увеличивается по направлению к бровке шельфа. Ранее было отмечено, что раковины этого вида быстро разрушаются после гибели организма, поэтому они плохо сохраняются в осадке [46]. Таким образом, возможно, что условия для захоронения агглютинированных раковин вида A. glomerata более благоприятны на внешнем шельфе ВСМ, чем на внутреннем. Доля Spiroplectammina biformis также увеличивается на внешнем шельфе. Данный вид доминирует вместе с T. torquata в море Бофорта, предпочитает условия низкого потока органического вещества на дно и, вероятно, может питаться частично переработанным органическим веществом [20, 21]. В небольшом количестве встречены секреционно-известковые виды, которые типичны для опресненных районов: Haynesina orbuculare, Elphidiella groenlandica, Eoeponidella pulchella, Buccella frigida [8, 29, 34].
В целом, сообщество “живых” БФ первого комплекса становится более разнообразным и многочисленным по направлению к бровке шельфа, что, вероятно, связано с уменьшением влияния сезонных колебаний на придонную обстановку с увеличением глубины и повышением биопродуктивности поверхностных вод от среднего к внешнему шельфу, судя по пикам Сорг вблизи кромки шельфа (табл. 1). В сопоставлении с ранее опубликованными данными, численность “живых” БФ в поверхностном слое осадка на шельфе ВСМ несколько ниже, чем на тех же глубинах в северной части моря Лаптевых [14]. Однако концентрация “живых” особей в пересчете на 50 см3 осадка получилась выше, чем на глубине 100 м в более продуктивном Чукотском море [36].
Кроме пиков численности, на эпизодическое повышение биопродуктивности на среднем-внешнем шельфе ВСМ указывает совместное присутствие таких видов как B. frigida и E. pulchella [20, 29, 46]. Небольшое (<8 и <16% соответственно) процентное содержание каждого из этих таксонов может указывать на эпизодическое увеличение первичной продукции на шельфе Восточно-Сибирского моря даже в течение короткого летнего периода. Рост биопродуктивности, вероятно, связано с периодическим повышением концентрации биогенных элементов в фотическом слое, которое, в свою очередь, может быть обусловлено несколькими причинами. Во-первых, более активное ветровое перемешивание в безледный летний период обеспечивает более интенсивное поступление биогенных элементов из подповерхностного слоя [2]. Во-вторых, усиление притока высокопродуктивных вод из Чукотского моря также может приводить к увеличению биопродуктивности северо-восточной части ВСМ. В-третьих, приток дополнительного количества биогенных элементов может происходить за счет периодически возникающих компенсационных течений, формирующихся в результате апвеллинга и затока на шельф обогащенных нитратами, фосфатами и силикатами ТАВ [19] и их смешением с вышележащими водами. Компенсационные течения и апвеллинг у бровки шельфа были неоднократно зафиксированы в море Лаптевых [3], Чукотском море [15] и на шельфе канадской Арктики [28], однако, эти процессы в ВСМ остаются неизученными, хотя для верхней части континентального склона, прилегающего к шельфу, зафиксирован подъем ТАВ и их смешение с вышележащими водами [44]. Инструментально доказано, что в море Лаптевых скорости компенсационных течений достигают 59 см/с, а продвижение по шельфу в южном направлении происходит вплоть до изобаты 37 м [3].
Хотя компенсационные течения в ВСМ еще неизвестны, есть ряд косвенных признаков, которые могут указывать на их существование. Например, найденный на шельфе ВСМ вид E. pulchella был обнаружен на шельфе канадской Арктики (глубина моря 18, 32 и 59 м), где типичны затоки теплых, соленых и обогащенных биогенными элементами вод с промежуточных глубин [20, 38]. Для пролива Вилькицкого установлено, что увеличение содержания E. pulchella в поверхностных осадках совпало с максимальным содержанием хлорофилла-а, биогенного опала и морского органического углерода в осадке в условиях, благоприятных для формирования апвеллинга в море Лаптевых [20]. Кроме того, в Северном море E. pulchella упомянут как вид, приуроченный к областям с высокой гидродинамической активностью [16, 32]. На возможное возникновение течений на средне-внешнем шельфе ВСМ указывает и доминирующий в комплексе вид T. torquata, который является не только индикатором изменчивых температуры и солености придонных вод, но и обитает при воздействии течений умеренной и высокой интенсивности [46]. В море Лаптевых, где компенсационные течения инструментально задокументированы [3], этот вид обнаружен в 28-ми поверхностных пробах, причем его процентное содержание достигает 40% на среднем шельфе в восточной части бассейна [7]. Небольшое содержание глины в осадке северо-восточной части ВСМ также может свидетельствовать об усилении гидродинамической активности вблизи дна.
Второй комплекс “живых” БФ на St. 13(10) (370 м) характеризуется доминированием Recurvoides trochamminiforme, Lagenammina atlantica, Trochammina nana, Pyrgo williamsoni. В этой ассоциации исчезают виды, типичные для опресненного мелководья, такие как H. orbuculare, E. groenlandica, E. advena. В единичных количествах встречается доминирующий вид предыдущего комплекса T. torquata. Согласно гидрологическим данным, место отбора пробы омывается относительно теплыми и солеными ТАВ (табл. 1, рис. 1). В небольшом количестве в поверхностных осадках встречен вид-индикатор этой водной массы Сassidulina neoteretis [9, 31, 41]. Интересно, что в поверхностных пробах, собранных в конце августа 2015 г. в этом же районе с глубины 350 м, была установлена совершенно иная структура комплексов БФ [36]. В частности, в образцах численность “живых” БФ была существенно выше во фракции >125 мкм, чем во фракции 63–125 мкм; вид С. neoteretis доминировал во фракции >125 мкм, а агглютинированные раковины БФ составляли всего около 10% от всех подсчитанных экземпляров [36]. Как в августе 2015 г., так и в сентябре 2019 г., когда были отобрано большинство проб для настоящего исследования, морской лед отсутствовал над верхней частью континентального склона, однако, сведений о том, как менялись другие параметры, такие как, например, биопродуктивность, в настоящее время нет. Тем не менее, можно сказать, что структура комплексов БФ на континентальном склоне ВСМ крайне неустойчива, а таксономический состав БФ непостоянен даже при схожих ледовых условиях. Такая изменчивость требует дальнейшего изучения путем регулярного комплексного мониторинга арктических экосистем. Интересно, что проба со станции St. 13(10) более близка по видовому составу к сообществам, отобранным в августе–сентябре 2018 г. на более удаленном континентальном слоне моря Лаптевых [14].
Третий комплекс БФ установлен на St. 14(10), поднятой с глубоководной части континентального склона (1351 м). В нем присутствуют типичные глубоководные арктические виды секреционно-известковых фораминифер, как Ioanella tumidula, Cibicidoides wuellerstorfi, Stetsonia horvarthi, Oridorsalis tener, Valvulineria arctica [23, 36, 47]. Доминирующие виды S. horvarthi и I. tumidula обитают преимущественно в областях круглогодичного ледового покрова в условиях низкого потока органического вещества на дно, хотя могут обитать и в областях с сезонным развитием морского льда [30, 46]. В комплексе также найден вид С. neoteretis, индикатор ТАВ, хотя на глубине 1351 м доминирует АДВ (табл. 1). На тех же глубинах (~1500 м) в море Лаптевых доминируют агглютинированные виды [14], в то время как на склоне ВСМ, но несколько глубже (2300 м, [36]), комплекс БФ похож на описанный выше.
ЗАКЛЮЧЕНИЕ
В результате количественных анализов сообществ “живых” БФ в поверхностных осадках на субмеридиональном разрезе в северо-восточной части ВСМ выделено три комплекса, приуроченных к среднему-внешнему шельфу, верхней и средней части континентального склона. Показано, что численность “живых” особей максимальна вблизи бровки шельфа, что, вероятно, связано с повышенной биопродуктивностью поверхностных вод. Наиболее интенсивные процессы растворения, установленные по соотношению “живых”, недавно живших и мертвых особей, характерны для среднего и внешнего шельфа, которые находятся под влиянием агрессивных холодных шельфовых вод. Выявленное улучшение сохранности секреционно-известковых раковин с глубиной хорошо согласуется с предыдущими микропалеонтологическими исследованиями в Арктике. Зафиксирован ряд микропалеонтологических и гранулометрических признаков компенсационных течений, которые, вероятно, эпизодически возникают на среднем-внешнем шельфе ВСМ. Сопоставление полученных результатов с опубликованными микропалеонтологическими данными из этого же района показало, что комплексы БФ очень изменчивы и их состав может существенно меняться год от года.
Благодарности. Авторы благодарят Б.В. Баранова и сотрудников института KOPRI за возможность участия в экспедициях, Н.В. Немченко за промывку образцов и М.М. Васильеву за проведение гранулометрических анализов и измерение органического углерода в осадках. Особую признательность авторы выражают Л.А. Гарлицкой за неоценимую помощь при отборе образцов на борту судна. Авторы благодарят Е.А. Новичкову и А.Г. Матуля за внимательное прочтение статьи и ценные замечания, позволившие улучшить данную статью.
Источники финансирования. Работа выполнена при поддержке Российского научного фонда (грант № 22-27-00566).
About the authors
E. A. Ovsepyan
Shirshov Institute of Oceanology Russian Academy of Sciences
Author for correspondence.
Email: eovsepyan@ocean.ru
Russian Federation, Moscow
Ya. S. Ovsepyan
Shirshov Institute of Oceanology Russian Academy of Sciences; Geological Institute Russian Academy of Sciences
Email: yaovsepyan@yandex.ru
Russian Federation, Moscow; Moscow
N. O. Mitrofanova
Shirshov Institute of Oceanology Russian Academy of Sciences; Geological Institute Russian Academy of Sciences
Email: eovsepyan@ocean.ru
Russian Federation, Moscow; Moscow
S. A. Korsun
Shirshov Institute of Oceanology Russian Academy of Sciences
Email: eovsepyan@ocean.ru
Russian Federation, Moscow
T. S. Rhee
Korea Polar Research Institute
Email: eovsepyan@ocean.ru
Korea, Republic of, Incheon
Y. K. Jin
Korea Polar Research Institute
Email: eovsepyan@ocean.ru
Korea, Republic of, Incheon
References
- Ветров А.А., Семилетов И.П., Дударев О.В. и др. Исследование состава и генезиса органического вещества донных осадков Восточно-Сибирского моря // Геохимия. 2008. № 2. С. 183–195.
- Демидов А.Б., Гагарин В.И., Шеберстов С.В. Сезонная изменчивость первичной продукции Восточно-Сибирского моря и оценка ее годовой величины. Сравнение с другими морями Сибирской Арктики // Океанология. 2020. Т. 60. № 5. С. 696–710.
- Дмитренко И.А., Хьюлеманн Й.А., Кириллов С.А. и др. Роль баротропных изменений уровня моря в формировании режима течений на шельфе восточной части моря Лаптевых // Докл. РАН. 2001. Т. 377. № 1. С. 1–8.
- Добровольский А.Д., Залогин Б.С. Моря СССР. М.: изд-во МГУ, 1982. 192 с.
- Кошелева В.А., Яшин Д.С. Донные осадки Арктических морей России. СПб.: ВНИИОкеанология, 1999. 286 с.
- Лукина Т.Г. Фораминиферы Чаунской губы Восточно-Сибирского моря // Экосистемы и фауна Чаунской губы и сопредельных вод Восточно-Сибирского моря. Ч. II. Исследования фауны морей. 1994. Т. 48. № 56. С. 98–115.
- Овсепян Я.С. Позднечетвертичные фораминиферы моря Лаптевых и реконструкции изменения среды на основе палеоэкологического анализа. Дисс. на соиск. уч. степ. к. г.- м. н. М., 2016. 240 с.
- Овсепян Е.А., Овсепян Я.С., Зенина М.А., Митрофанова Н.О. Современные сообщества бентосных фораминифер западной части Восточно-Сибирского моря // Океанология. 2023. Т. 63. № 5. С. 749–761.
- Овсепян Я.С., Талденкова Е.Е., Баух Х.А., Кандиано Е.С. Реконструкция событий позднего плейстоцена–голоцена на континентальном склоне моря Лаптевых по комплексам бентосных и планктонных фораминифер // Стратиграфия. Геологическая корреляция. 2015. Т. 23. № 6. С. 96–112.
- Одум Ю. Экология. М.: Мир, 1986. 322 с.
- Романкевич Е.А., Ветров А.А. Углерод в Мировом океане. М.: ГЕОС, 2021. 352 с.
- Семилетов И.П. Разрушение мерзлых пород побережья как важный фактор в биогеохимии шельфовых вод Арктики // Докл. РАН. 1999. Т. 368. № 5. С. 679–682.
- Сиренко Б.И. Состояние изученности фауны Восточно-Сибирского моря // Фауна Восточно-Сибирского моря, закономерности развития и количественное распределение донных сообществ. Исследования фауны морей. СПб., 2010. Т. 66(74). C. 5–7.
- Хусид Т.А. Либина Н.В., Доманов М.М. Бентосные фораминиферы моря Лаптевых и их связь с гидрологическими условиями моря // Океанология. 2021. Т. 61. № 3. С. 423–432.
- Aagaard K., Roach A.T. Arctic ocean-shelf exchange: Measurements in Barrow Canyon // J. Geophys. Res. 1990. V. 95. P. 18163–18175.
- Alve E., Murray J.W. Marginal marine environment of the Skagerrak and Kattegat: a baseline study of living (stained) benthic foraminiferal ecology // Paleogeography, Paleoclimatology, Paleoecology. 1999. V. 146. P. 171–193.
- Anderson L.G., Falck E., Jones E.P. et al. Enhanced uptake of atmospheric CO2 during freezing of seawater: A field study in Storfjorden, Svalbard // J. Geophys. Res. 2004. V. 109. C06004.
- Anderson L.G., Björk G., Jutterström S. et al. East Siberian Sea, an Arctic region of very high biogeochemical activity// Biogeosciences. 2011. V. 8. P. 1745–1754.
- Dmitrenko I.A., Kirillov S.A., Tremblay L.B. The long-term and interannual variability of summer fresh water storage over the eastern Siberian shelf: Implication for climatic change // J. Geophys. Res. 2008. V. 113. C03007.
- Falardeau J., de Vernal A., Seidenkrantz M.-S. et al. Microfaunal recording of recent environmental changes in the Herschel Basin, western Arctic Ocean // J. Foramin. Res. 2023. V. 53. № 1. P. 20–48.
- Fossile E., Nardelli M.P., Jouini A. et al. Benthic foraminifera as tracers of brine production in the Storfjorden “sea ice factory” // Biogeosciences. 2020. V. 17. P. 1933–1953.
- Gordeev V.V., Martin J.M., Sidorov I.S., Sidorova M.V. A reassessment of the Eurasian river input of water, sediment, major elements, and nutrients to the Arctic Ocean // American Journal of Science. 1996. V. 296. P. 664–691.
- Green K.E. Ecology of some Arctic foraminifera // Micropaleontology. 1960. V. 6. № 1. P. 57–78.
- Hald M., Korsun S. Distribution of modern benthic foraminifera from fjords of Svalbard, European Arctic // J. Foramin. Res. 1997. V. 27. № 2. P. 101–122.
- Hald M., Steinsund P.I. Benthic foraminifera and carbonate dissolution in surface sediments of the Barents- and Kara Seas // Surface-sediment composition and sedimentary processes in the central Arctic Ocean and along the Eurasian Continental Margin / Stein R., Ivanov G.I., Levitan M.A., Fahl K. (Eds.). Ber. Polarforsch. 1996. V. 212. P. 285–307.
- Jin Y.K. and Shipboard Scientific Party ARA09C Cruise Report: Korea-Russia-Japan East Siberian/Chukchi Sea Research Program. Korea Polar Research Institute. 2018.
- Jin Y.K. and Shipboard Scientific Party ARA10C Cruise Report: Korea- Russia East Siberian/Chukchi Sea Research Program. Korea Polar Research Institute. 2020.
- Kirillov S., Dmitrenko I., Tremblay B. et al. Upwelling of Atlantic Water along the Canadian Beaufort Sea Continental Slope: Favorable Atmospheric Conditions and Seasonal and Interannual Variations // J. Clim. 2016. V. 29. P. 4509–4523.
- Knudsen K.L., Stabell B., Seidankrantz M.-S. et al. Deglacial and Holocene conditions in northernmost Baffin Bay: Sediments, foraminifera, diatoms and stable isotopes // Boreas. 2008. V. 37. P. 346–376.
- Lazar K.B., Polyak L. Pleistocene benthic foraminifers in the Arctic Ocean: Implications for sea-ice and circulation history // Mar. Micropal. 2016. V. 126. P. 19–30.
- Lubinski D.J., Polyak L., Forman S.L. Freshwater and Atlantic water inflows to the deep northern Barents and Kara seas since ca 13 14C ka: foraminifera and stable isotopes // Quaternary Science Reviews. 2001. V. 20. P. 1851–1879.
- Murray J., Alve E. The distribution of agglutinated foraminifera in NW European seas: Baseline data for the interpretation of fossil assemblages // Palaeontologia Electronica. 2011. V. 14. № 1. P. 1–41.
- Münchow A., Weingartner T.J., Cooper L.W. The summer hydrography and surface circulation of the East Siberian Sea // J. Phys. Oceanography. 1999. V. 29. P. 2167–2182.
- Polyak L., Korsun S., Febo L. et al. Benthic foraminiferal assemblages from the southern Kara Sea, a river influenced Arctic marine environment // J. Foramin. Res. 2002. V. 32. № 3. P. 252–273.
- Qi D., Ouyang Z., Chen L. et al. Climate change drives rapid decadal acidification in the Arctic Ocean from 1994 to 2020 // Science. 2022. V. 377. № 6614. P. 1544–1550.
- Racine C., Bonnin J., Nam S.I. et al. Distribution of living benthic foraminifera in the northern Chukchi Sea // Arktos. 2018. V. 4. 28.
- Schönfeld J., Alve E., Geslin E. et al. The FOBIMO (FOraminiferal BIo-MOnitoring) initiative – Towards a standardized protocol for soft-bottom benthic foraminiferal monitoring studies // Mar. Micropal. 2012. V. 94–95. P. 1–13.
- Scott D.B., Schell T., Rochon A., Blasco S. Modern benthic foraminifera in the surface sediments of the Beaufort Shelf, Slope and Mackenzie Trough, Beaufort Sea, Canada: Taxonomy and summary of surficial distributions // J. Foramin. Res. 2008. V. 38. P. 228–250.
- Semiletov I.P., Dudarev O., Luchin V. et al. The East Siberian Sea as a transition zone between Pacific-derived waters and Arctic shelf waters // Geophysical Research Letters. 2005. V. 32. L10614.
- Sirenko B.I. Introduction // List of species of freeliving invertebrates of Eurasian Arctic seas and adjacent deep waters / B.I. Sirenko (ed). St. Petersburg: Zoological Institute of the Russian Academy of Sciences, 2001. V. 51(59). P. 5–10.
- Taldenkova E., Bauch H.A., Gottschalk J. et al. History of ice-rafting and water mass evolution at the North Siberian continental margin (Laptev Sea) during Late Glacial and Holocene times // Quat. Sci. Rev. 2010. V. 29. P. 3919–3935.
- Todd R., Low D. Foraminifera from the Arсtic Ocean off the eastern Siberian coast // U.S. Geol. Surv. Prof. Paper. 1966. № 550-С. P. 79–85.
- Walton W.R. Techniques for recognition of living foraminifera // Contributions from the Cushman Foundation for Foraminiferal Research. 1952. V. 3. P. 56–60.
- Wang X., Zhao J., Lobanov V.B. et al. Distribution and Transport of Water Masses in the East Siberian Sea and Their Impacts on the Arctic Halocline // J. Geophys. Res.: Oceans. 2021. V. 126. e2020JC016523.
- Weingartner T.J., Danielson S., Sasaki Y. et al. The Siberian Coastal current: a wind and buoyancy forced coastal current // J. Geophys. Res. 1999. V. 104. P. 29697–29713.
- Wollenburg J.E., Kuhnt W. The response of benthic foraminifers to carbon flux and primary production in the Arctic Ocean // Mar. Micropal. 2000. V. 40. P. 189–231.
- Wollenburg J., Mackensen A. Living benthic foraminifers from the central Arctic Ocean: faunal composition, standing stock and diversity // Mar. Micropal. 1998. V. 34. № 3–4. P. 153–185.
- World Ocean Atlas, 2023.
- Zenina M., Ovsepyan E., Ovsepyan Y. Ostracod Assemblages in the East Siberian Sea: A Comparative Study of River-Influenced and River-Isolated Shelf Ecosystems // Quaternary. 2024. V. 7. 16.
Supplementary files






