Quantitative distribution and lipid reserves of the population of Calanus euxinus (Copepoda) in the Black Sea in late Autumn 2017
- Authors: Hubareva E.S.1, Anninsky B.E.1
-
Affiliations:
- Kovalevsky Institute of Biology of the Southern Seas of RAS
- Issue: Vol 64, No 3 (2024)
- Pages: 462-472
- Section: Морская биология
- URL: https://journals.rcsi.science/0030-1574/article/view/272937
- DOI: https://doi.org/10.31857/S0030157424030074
- EDN: https://elibrary.ru/QCEIEU
- ID: 272937
Cite item
Full Text
Abstract
Field data on abundance, biomass, age structure and lipid reserves of the population of copepod Сalanus euxinus in deep pelagial and Crimean shelf regions of the Black Sea in November 2017 were analyzed. Abundance and biomass of this species in deep areas (10.2 ± 0.5×103 ind/m2 and 7.3 ± 0.5 g/m–2, respectively) were close to the average annual values for the seasons with moderate development of planktivorous jellyfish populations. Mean abundance and biomass of the copepod were similar to the analogous values for 2016 when the abundance of medusae was twice lower. However, in 2017 the dense aggregations of C. euxinus (12.8 ± 1.0×103 ind/m2 and 9.8 ± 0.5 g/m–2) were found in the central parts of cyclonic circulations while in 2016 they were recorded more frequently at the peripheries of the cyclonic gyres. The structure of C. euxinus population also changed. In November 2017 the percentage of I–IV copepodites, females and males increased whilst the share of V copepodites reduced. Probably, these changes may be a result of later sampling period of 2017 when the C. euxinus population is ready to active reproduction. Sufficient lipid amounts in V copepodites, decreased oil sac volumes in females and increased abundance of males in the anticyclonic regions indicate more favorite trophic conditions for this part of the C. euxinus population and its higher maturity.
Keywords
Full Text
ВВЕДЕНИЕ
Сalanus euxinus Hulsemann, 1991 – один из ключевых видов черноморской биоты, на популяцию которого в глубоководных районах приходится 60–90% биомассы планктонных ракообразных [1, 17, 26], или около 30% биомассы всего мезопланктона [23]. Будучи самой массовой, активно мигрирующей и хорошо заметной (длина тела составляет 3.5–4.5 мм у самок и 3.2–3.4 мм у самцов) для рыб-планктофагов копеподой, С. euxinus служит важнейшим компонентом их рациона [9]. Этому в немалой степени способствует высокая калорийность особей, обеспечиваемая у старших копеподитов и взрослых рачков значительными запасами липидов (до 40% сырой массы тела) в жировом мешке [20, 24].
В жизненном цикле C. euxinus, как и других Copepoda, выделяют 12 науплиальных и копеподитных стадий, развитие которых может длиться от нескольких суток до 1.5 месяцев и более [11]. Размножение продолжается в течение всего года (может быть до 8 генераций), однако из-за низкой температуры морской воды в зимние месяцы, сдерживающей развитие яиц, науплиусов в январе–марте обычно бывает немного [11]. Их массовое развитие начинается в апреле–мае и продолжается до января, что в конечном счете приводит к повышению доли V копеподитов и взрослых особей (вносящих основной вклад в биомассу) в феврале–апреле и августе–сентябре следующего года. Гипотетически, это должно бы привести к некоторому увеличению биомассы рачков в поздневесенний и осенний сезоны. Однако если весенний пик биомассы не вызывает сомнений, то осенний выражен значительно слабее, либо практически не регистрируется [21, 23]. Следовательно, есть по крайней мере 3 фазы сезонной динамики биомассы C. euxinus, которые необходимо учитывать при сопоставлении соответствующих количественных данных: минимальная биомасса в зимние месяцы, её весенний пик и слабо меняющаяся, умеренно-высокая биомасса в теплый период года.
В 1980–1989 гг. в открытых районах Чёрного моря биомасса этого вида варьировала в пределах 7–11 [8] или 5–10 г/м2 [23]. Однако вследствие экспансии гребневика-планктофага Mnemiopsis leidyi (A. Agassiz, 1860), уже в 1990 г. популяция C. euxinus могла сильно сократиться и в глубоководной части моря осенью 1990–1998 гг., по-видимому, не превышала по биомассе > 3 г/м2 [8, 17, 23]. Восстановление популяции C. euxinus началось после проникновения в Чёрное море гребневика Beroe ovata Bruguière, 1789 в конце 90-х гг. прошлого столетия, а в октябре 2005 г. биомасса копеподы (6.2 ± 1.1 г/м2) практически не уступала её прежним осенним среднегодовым оценкам [1]. В октябре 2010 г. биомасса С. euxinus в западных глубоководных районах (2.8 г/м2) опять оказалась ниже, чем в 2005 г. [12], а в октябре 2016 г. (7.1 ± 0.7 г/м2) – на 10–15% выше этого уровня [5].
Очевидно, что состояние популяции С. euxinus в Чёрном море контролируют не только хищники-планктофаги, но и многие другие биотические и абиотические факторы, определяющие условия обитания и размножения этого вида, а также весь комплекс трофических отношений в пелагической экосистеме [2]. Погодно-климатические и сопряженные с ними гидрологические условия в черноморском регионе в 2016–2017 гг. заметно различались: первая половина 2017 г. была прохладнее, а вторая – теплее, чем в 2016 г., при этом конвективное перемешивание холодного промежуточного слоя моря (ХПС) зимой 2017 г. проходило значительно интенсивнее, чем ранее [3]. Вследствие более активных зимних гидродинамических процессов концентрация кислорода во всех слоях аэробной зоны в 2017 г. была выше, чем в 2016 г. [3]. Сообщество желетелого макропланктона в эти годы успешно развивалось и трансформировалось в направлении большего доминирования медузы Aurelia aurita (Linnaeus, 1758) среди других планктофагов [7].
Настоящие исследования были предприняты для того, чтобы оценить, в какой степени изменения в гидрологическом режиме моря и биомассе желетелых хищников могли повлиять на состояние популяции С. euxinus в 2017 г. С этой целью, как и ранее за 2016 г. [5], были проанализированы позднеосенние данные 2017 г. о численности, биомассе, размерно-возрастной структуре и жировым запасам популяции C. euxinus из северо-западных, западных и центральных (близких к южному берегу Крыма – ЮБК) районов глубоководной пелагиали и шельфа Чёрного моря.
МАТЕРИАЛ И МЕТОДЫ
Популяцию С. euxinus исследовали в период с 15 по 27 ноября 2017 г. (98 рейс НИС “Профессор Водяницкий”) на 48 станциях, находящихся в глубоководной части (глубины > 200 м), а также зоне внешнего (глубины 50–200 м) и внутреннего (глубины < 50 м) шельфа Чёрного моря западнее и восточнее Крыма (рис. 1).
Рис. 1. Карта-схема станций и районов отбора проб зоопланктона в 98 рейсе НИС “Профессор Водяницкий” в Чёрном море (ноябрь 2017 г.). Линиями показаны 50 и 200 м изобаты, цифры соответствуют номерам станций.
Исходя из типичной циркуляции водных масс в регионе [6], станции внешнего шельфа и глубоководной части моря условно могут быть отнесены к районам: 1) квазистационарной активности Севастопольского антициклона (ст. 38–64, 72), 2) северной периферии западного циклонического круговорота (ст. 65–69, 74); 3) конвергенции Основного Черноморского течения (ОЧТ) (ст. 4–8, 35, 79–82); 4) активности Крымского антициклона и северо-западной периферии восточного циклонического круговорота (ст. 11–19, 29–34, 85–89). При близкой температуре поверхности моря (ТПМ) во всех этих районах нижняя граница кислородной зоны (НГКЗ) была наиболее заглублена в области активности Севастопольского антициклона и наименее – в районах конвергенции ОЧТ. Для периферии круговоротов получены промежуточные значения НГКЗ (табл. 1). Параллельно этому изменялась и глубина залегания термоклина.
Таблица 1. Станции планктонных исследований и некоторые характеристики гидрологического режима в районах квазистационарной активности Севастопольского антициклона (Сев. АЦ), периферии западного циклонического круговорота (ЗК), конвергенции Основного Черноморского течения (Конв. ОЧТ), а также Крымского антициклона и периферии восточного циклонического круговорота (Кр. АЦ и ВК)
Район | Станции | ТПМ, оС | Глубина, м | Глубина σt = 16.2, м* | Глубина термоклина, м |
Сев. АЦ | 38–64, 72 | 12.1–13.7 | 53–1686 | 134–185 (157.3) | 18–55 (38.7) |
ЗК | 65–69, 74 | 11.1–12.7 | 1309–1905 | 132–180 (151.4) | 21–41 (34.0) |
Конв. ОЧТ | 4–8, 35, 79–82 | 11.3–14.1 | 80–1964 | 115–124 (119.3) | 21–37 (27.6) |
Кр. АЦ и ВК | 11–19, 29–34, 85–89 | 12.0–14.2 | 72–2028 | 135–170 (149.9) | 22–59 (36.4) |
* Приведены данные для глубоководных станций; в скобках – средние значения.
На каждой из станций пробы зоопланктона отбирали сетью Богорова – Расса (площадь входного отверстия – 0.5 м2, ячея – 300 мкм), которой производили тотальные вертикальные ловы от дна либо нижней границы кислородной зоны (с изопикной σt = 16.2, по данным зонда CTD Sea Bird 911 Plus) до поверхности моря. Мезозоопланктон фиксировали 4% раствором нейтрализованного боратами формалина и позже исследовали в лаборатории, определяя в камере Богорова под микроскопом размеры и стадию развития выловленных особей C. euxinus.
Cырую массу тела копеподитов и половозрелых C. euxinus (WW, мг) рассчитывали по формуле:
WW = 0.58 × l × d 2 × ρ,
где l – длина просомы, мм; d – ширина просомы, мм; ρ – средняя плотность тела, г/см3 [12].
Объём тела (V, мм3) определяли с учетом возрастной морфологической дифференциации C. euxinus в соответствии с формулой:
Vb = k × Lpr × d 2pr,
где Lpr – длина просомы, мм; dpr – ширина просомы, мм; k – эмпирический коэффициент, равный 0.64 у самцов и 0.58 у копеподитов и самок [20].
Содержание резервного жира у старших возрастных стадий C. euxinus оценивали по объёму жирового мешка (Vsac) [13]:
Vsac = π × lsac × d 2sac /6,
где lsac – длина, а dsac – ширина жирового мешка, мм. Для определения количества запасного жира в теле C. euxinus по 20 копеподитов пятой стадии развития, самок и самцов отбирали пипеткой в случайном порядке из всей пробы мезозоопланктона и измеряли длину и ширину жировых мешков особей под микроскопом в камере Богорова.
Полученные первичные данные обрабатывали и оценивали с использованием стандартного программного обеспечения Grapher 3 и Surfer 8 для Windows. Достоверность различий средних (представленных с учетом стандартной ошибки) оценивали по t-критерию Стьюдента.
РЕЗУЛЬТАТЫ
В исследуемом секторе Чёрного моря в ноябре 2017 г. плотность популяции C. euxinus варьировала в широких пределах: от 0.1 и 0.4 тыс. экз/м2 и 0.03 и 0.04 г/м2 на ст. 21 и 25 внутреннего шельфа Феодосийской бухты до 29.3 тыс. экз/м2 и 20.5 г/м2 в зоне конвергенции течений у ЮБК на ст. 7 (рис. 2).
Рис. 2. Численность (а) и биомасса (б) Calanus euxinus в северо-восточных, центральных и северо-западных районах Чёрного моря в ноябре 2017 г. Точки на картах отмечают зоопланктонные станции.
В целом с удалением от мелководной зоны в открытые районы моря рачков становилось больше, а их распределение выглядело более однородным. Так, если на внешнем шельфе средняя численность C. euxinus составляла 5.7 ± 1.5 тыс. экз/м2, а его биомасса – 3.4 ± 1.1 г/м2, то в глубоководных районах численность популяции достигала в среднем 10.2 ± 0.5 тыс. экз/м2, а биомасса – 7.3 ± 0.5 г/м2. Количественные различия в обоих случаях были статистически значимыми (p < 0.01).
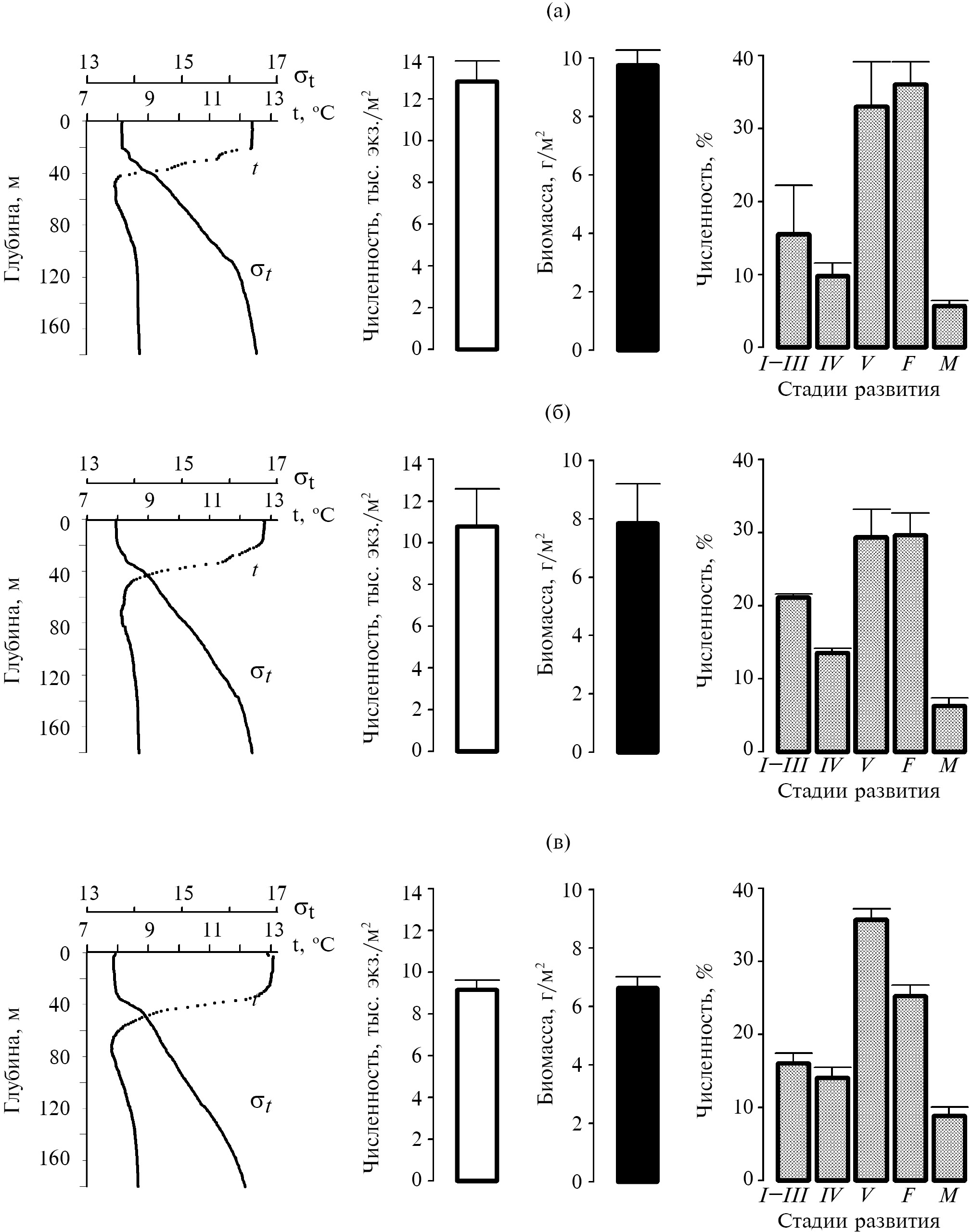
Распределение этого вида в глубоководных зонах, по-видимому, в основном регулировалось мезомасштабной циркуляцией водных масс, формирующих более плотные или разреженные концентрации копеподы в море. В частности, обнаружено, что, несмотря на вполне благоприятные для C. euxinus температурные условия (8–14°C) во всей аэробной зоне моря в ноябре 2017 г., рачков в центральной части циклонических круговоротов с глубиной залегания изопикны σt = 16.2 от 120 до 125 м было значительно больше (12.8 ± 1.0 тыс. экз/м2 и 9.8 ± 0.5 г/м2), чем на периферии круговоротов с глубиной изопикны σt = 16.2 от 126 до 150 м (10.8 ± 1.8 тыс. экз/м2 и 7.8 ± 1.3 г/м2) или в районах антициклонической циркуляции с глубиной изопикны σt = 16.2 от 151 до 185 м (9.2 ± 0.4 тыс. экз/м2 и 6.6 ± 0.4 г/м2) (рис. 3).
Рис. 3. Зависимость общей численности (экз/м2), биомассы (г/м2) и возрастной структуры (% общей численности) популяции Calanus euxinus от температуры (t°C) и относительной плотности (σt) морской воды в эпипелагиали Чёрного моря (0–185 м). Глубина нижней границы кислородной зоны моря (σt = 16.2): 100–125 м (а); 126–150 м (б); 151–185 м (в).
В последнем случае различия в численности и биомассе рачков подтверждаются статистически (p < 0.01). Вместе с тем непосредственно в ядрах антициклонических вихрей (Севастопольского и Крымского) также были обнаружены количественные пики численности и биомассы C. euxinus (см. рис. 2).
Эти явления, связанные с локальными особенностями гидрологического режима, могли быть причиной неоднородного распределения популяции копеподы в исследуемом секторе моря. И хотя в ноябре 2017 г. не было выявлено (p > 0.05) значимых различий в численности и биомассе C. euxinus из разных глубоководных районов моря, в среднем в районе конвергенции ОЧТ у ЮБК рачков было почти вдвое больше (15.1 ± 3.7 тыс. экз./м2 и 10.9 ± 2.6 г/м2), чем в зоне активности Севастопольского антициклона (8.6 ± 1.1 тыс. экз./м2 и 6.4 ± 1.0 г/м2), а также на северной периферии западного циклонического круговорота (10.2 ± 0.9 тыс. экз./м2 и 7.6 ± 0.8 г/м2) и северо-западной периферии восточного циклонического круговорота (9.2 ± 1.0 тыс. экз./м2 и 6.4 ± 0.8 г/м2).
Небольшие изменения, в том числе и в глубоководной части моря, обнаружены также в структуре популяции C. euxinus. Доля V копеподитов, самок и самцов была самой высокой (33.6 ± 3.0, 32.0 ± 3.0 и 9.0 ± 1.4%, соответственно) в районах западнее Крыма, а доля I–III, а также IV копеподитов (33.3 ± 6.3 и 14.7 ± 2.3%, соответственно) – в районах южнее ЮБК и Керченского полуострова. Вероятно, в основном эти расхождения вызваны более массовым вовлечением поверхностных вод, где развиваются науплиусы и ранние копеподиты, в циркуляционные процессы вблизи ЮБК. Однако строгого подтверждения этому для всей исследованной глубоководной зоны моря не было получено: доля I–III копеподитов повышалась от 15.5 ± 6.7% при нижней границе кислородной зоны (НГКЗ) на глубине менее 125 м, до 21.1 ± 3.7% при НГКЗ на глубине 126–150 м и снижалась до 16.1 ± 1.3% при дальнейшем заглублении НГКЗ до 151–185 м (см. рис. 3). Доля V копеподитов изменялась обратно этому: от 33.0 ± 6.2% при НГКЗ на глубине менее 125 м, до 29.4 ± 2.0% при опускании НГКЗ от 126 до 150 м и до 35.7 ± 1.4% при НГКЗ на глубине 151–185 м. Доля самок последовательно снижалась (от 36.0 ± 3.0 до 25.3 ± 1.4%), а самцов, наоборот, повышалась (от 5.7 ± 0.7 до 8.9 ± 1.1%) при изменении глубины НГКЗ от менее 125 м до 151–185 м.
Вместе с тем расширение границ естественного биотопа C. euxinus в направлении от внутреннего шельфа к внешнему и далее – в глубоководную зону моря стабильно сопровождалось сокращением относительной численности I–III копеподитов (от 79.4 ± 9.1 до 16.6 ± 1.3%) и увеличением доли V копеподитов (от 3.1 ± 0.4 до 33.4 ± 1.2%), а также самцов (от 1.4 ± 0.4 до 7.7 ± 0.8%) и самок (от 4.1 ± 2.0 до 29.6 ± 1.5%) (рис. 4).
Рис. 4. Структура популяции (% общей численности особей) (а–в) и объём жирового мешка (% объёма тела) (г–е) у Calanus euxinus на внутреннем (а, г) и внешнем (б, д) шельфе, а также в глубоководных районах эпипелагиали (в, е) Чёрного моря в ноябре 2017 г. I–III, IV, V – копеподиты; F – самки; M – самцы.
В глубоководных районах старшие копеподиты, самки и самцы C. euxinus имели в теле значительно больше резервных липидов, чем рачки на внешнем шельфе. Удельный объем жирового мешка у V копеподитов из центральных районов (19.6 ± 1.1% объема тела) был в среднем в 1.4 раза больше, чем у особей из той же возрастной группы из менее глубоких биотопов (14.4 ± 2.6% объема тела). Приблизительно в той же мере (в 1.5 раза) с переходом от внешнего шельфа к глубоководной части моря увеличился объем жирового мешка у самцов (от 8.1 ± 0.4 до 12.0 ± 0.9% объема тела) (p < 0.001), а у самок он вырос практически вдвое (от 5.9 ± 0.8 до 11.1 ± 0.4% объема тела) (p < 0.001).
ОБСУЖДЕНИЕ
На фоне долговременной тенденции постепенного повышения температуры поверхностного горизонта Чёрного моря (ТПМ) (в среднем на 2°C в теплый период года за последние 20 лет [10]), межгодовая динамика этого процесса не отличалась монотонностью и, согласно открытым базам данных (http://disc.sci.gsfc.nasa.gov/giovanni), в 2017 г. море прогревалось слабее, чем в 2016 г., а ТПМ в январе 2017 г. была не менее, чем на 1°C ниже, чем в аналогичный период 2016 г. Ее понижение активизировало конвективное обновление ХПС, температура в ядре которого в 2017 г. упала на 0.7°C, а концентрация кислорода возросла на 25–30% [3]. Несомненно, что одновременно улучшился кислородный режим и более глубинных горизонтов, в том числе слоя оксиклина (σt = 15.4) [3], нижняя граница которого (0.1–0.2 мг О2/л) служит естественным барьером вертикального распространения диапаузирующей части популяции C. euxinus [22]. Усиление вертикального перемешивания вод зимой 2017 г. могло также облегчить проникновение нитратов из слоя основного пикноклина в верхние слои, обеспечив тем самым более интенсивное весеннее цветение фитопланктона в этом году [4]. Однако наблюдаемые в таких условиях вспышки развития не-диатомовых видов, таких, как кокколитофориды, слабо возмещают пищевые потребности крупных копепод, в рационе которых доля этих клеток не превышает 13% [16].
Непосредственное влияние погодных особенностей раннего осеннего периода 2016–2017 гг. (выхолаживание поверхностных вод в 2017 г. происходило медленнее, чем в 2016 г. [7]) вряд ли могло существенно повлиять на количественное развитие популяции C. euxinus в эти годы. Однако эти особенности осеннего сезона могли иметь значение для хищного желетелого макропланктона, а также рыб-планктофагов, активно питающихся разновозрастными стадиями развития этого рачка [2, 9, 15]. Особенно обращает на себя внимание то, что биомасса медузы A. aurita в глубоководной части моря в 2017 г. была в 2.5 раза выше (p < 0.01), чем в 2016 г. (634 ± 87 и 260 ± 72 г/м2 соответственно). Аналогичным образом (p < 0.1), скорее всего, изменилась биомасса этого вида и на внешнем шельфе. Биомасса гребневиков M. leidyi и Pleurobrachia pileus (O.F. Muller, 1776) изначально также была выше в 2017 г., однако под влиянием B. ovata сократилась в ноябре до уровня октября 2016 г. [7]. Все эти факты указывают на то, что пресс желетелых хищников на популяцию C. euxinus в 2017 г. был значительно сильнее, чем в 2016 г. И, хотя с 2016 по 2017 гг. не наблюдалось существенного снижения (p > 0.05) численности и биомассы C. euxinus, вероятность подобных изменений в ближайшем будущем осталась достаточно высокой, особенно в периоды массового размножения этой копеподы. Стабильное состояние популяции C. euxinus, очевидно, связано с глубоководным биотопом обитания и длительным нахождением в пограничных кислородных слоях поздних диапаузирующих стадий [19, 20]. Примечательно, что в годы массовой экспансии M. leidyi биомасса C. euxinus в Чёрном море сократилась не сразу, а лишь по прошествии 2–3 лет (1991–1992 гг.) [23].
Поскольку желетелые планктофаги, за исключением P. pileus, обычно находятся на небольшой глубине, редко проникая за нижнюю границу термоклина, их влияние на C. euxinus в 2017 г. могло быть сильнее в районах антициклонической циркуляции. В этом случае поверхностные воды с хорошо развитым комплексом желетелых хищников постепенно опускаются вглубь, тогда как в зоне циклонических круговоротов этот комплекс развит слабее, а сам верхний квазиоднородный слой тоньше. Действительно, в пограничных районах циклонической циркуляции (глубина НГКЗ – 126–150 м) и в районах антициклонических вихрей (глубина НГКЗ – 151–185 м) биомасса C. euxinus в 2017 г. оказалась в среднем на 0.7–1.2 г ниже (p > 0.05), чем в 2016 г. При этом в ядрах циклонической циркуляции (глубина НГКЗ – менее 125 м) биомасса, наоборот, была выше в 2017 г. (p < 0.01).
Тенденция постепенного повышения биомассы C. euxinus в глубоководной части моря в направлении от районов антициклонической к зонам циклонической циркуляции, по-видимому, более типична, чем прочие случаи [26], поскольку этому может способствовать улучшение биогенного режима и более активное развитие фитопланктона (вследствие подъема обогащенных биогенами вод в зону активного фотосинтеза до глубины более 50 м). Однако в октябре 2016 г. средняя биомасса копеподы здесь оказалась не только ниже, чем на периферии круговоротов, но также ниже, чем в зоне антициклонических вихрей [5]. Необходимы дополнительные данные, чтобы установить, имеет ли это явление сезонный характер или оно отражает неоднородное распределение популяции рачка в районах циклонической циркуляции. Ранее было обнаружено, что биомасса C. euxinus в границах этой циркуляции может различаться не менее, чем вдвое [26].
По сравнению с 2016 г. [5], структура популяции копеподы в 2017 г. существенно изменилась. В основном это было связано с сезонной динамикой жизненного цикла, важными этапами которого у C. euxinus в позднеосенний период может быть массовое появление науплиусов и интенсивное развитие ранних копеподитных стадий [11]. Если в 2016 г. в глубоководных районах I–III копеподиты C. euxinus составляли в среднем 3.2 ± 0.9% всех особей, то в 2017 г. их доля выросла до 18.2 ± 1.8% (p < 0.001). Доля IV копеподитов здесь также увеличилась (p < 0.001), хотя и не настолько сильно, как у более ранних возрастных стадий: от 4.1 ± 0.6% в 2016 г. до 12.9 ± 0.6% в 2017 г. Данные по относительной численности V копеподитов в глубоководной части моря осенью 2016–2017 гг. свидетельствуют о некоторой фенологической инверсии жизненного цикла C. euxinus, возможно, вызванной изменением физико-химического режима эпипелагиали в последние годы [3, 10]. В 80-х гг. прошлого столетия массовый метаморфоз V копеподитов до половозрелых стадий обычно начинался в январе–феврале [11], тогда как в 2017 г. это могло происходить уже в ноябре. Темпы созревания копеподитов были неодинаковы в разных районах и, по-видимому, зависели от циркуляции водных масс. В районах циклонической циркуляции V копеподиты были наиболее близки к завершению метаморфоза. Если их относительная численность здесь в октябре 2017 г. была такой же, как и в октябре прошлого года (67.9 ± 3.9%), то в середине ноября 2017 г. она снизилась до 33.0 ± 6.0%. При этом доля самок возросла с 25.5 ± 2.3% до 36.0 ± 3.0%, а самцов – с 2.2 ± 0.4% до 5.7 ± 0.7% соответственно. На периферии циклонических круговоротов и в зоне антициклонической циркуляции доля V копеподитов в ноябре 2017 г. (29.4 ± 2.0 и 35.7 ± 1.4%) также была ниже, чем в октябре 2016 г. (57.4 ± 3.7 и 48.2 ± 5.8%) (p < 0.05). Однако в этих районах и особенно в ядрах антициклонов межгодовая разница в относительной численности V копеподитов была меньше, а их убыль практически не сопровождалась (p > 0.05) ростом численности взрослых рачков, в особенности самок (27.6–30.9% в 2016 г. и 25.3–29.7% в 2017 г.). Вариации в численности самцов оказались не настолько однозначны. По-видимому, доля самцов осталась прежней на периферии циклонических круговоротов (4.8–6.3%), тогда как в районах антициклонической циркуляции она повысилась приблизительно вдвое (от 4.6 ± 1.0% в 2016 г до 8.9 ± 1.1% в 2017 г). У Copepoda численность самцов обычно возрастает в начальный период размножения [11]. Судя по массовому появлению взрослых особей и яиц в планктоне, C. euxinus преимущественно размножается в январе–апреле [11], однако в 2017 г. генеративная активность этого вида повысилась уже в конце осени.
При несомненно большей эффективности жиронакопления у C. euxinus в глубоководной пелагиали (рис. 4), в пределах всей открытой части моря объём жировых мешков V копеподитов, самок и самцов этого вида сохранялся довольно стабильным, почти независимым от характера циркуляции водных масс, а также межгодовых изменений в экосистеме, в основном регулируемых климатом (рис. 5).
Рис. 5. Объём жировых мешков (% объёма тела) у V копеподитов (V), самок (F) и самцов (M) Calanus euxinus из районов Чёрного моря с разной глубиной залегания нижней границы кислородного слоя (σt = 16.2) в октябре 2016 и ноябре 2017 гг.: 100–125 м (а); 126–150 м (б); 151–185 м (в).
Вместе с тем, вопреки некоторым известным данным [26], и в 2016, и в 2017 гг. объём жировых мешков у V копеподитов C. euxinus в среднем немного увеличивался в направлении от районов циклонической к зонам антициклонической циркуляции. Отсюда, с учётом того, что жировые запасы копепод и особенно пятой копеподитной стадии часто рассматриваются в качестве критерия обеспеченности C. euxinus пищей [18, 25], следует, что для V копеподитов этого вида области антициклонической циркуляции не уступали по своим трофическим характеристикам районам циклонических круговоротов. Несоответствие объёма жировых мешков данным по общей численности, биомассе, а также численности и биомассе V копеподитов и взрослых стадий C. euxinus, свидетельствующее о преимущественном развитии популяции в районах циклонической циркуляции, на самом деле не несёт в себе противоречия. Действительно, меньшая численность и биомасса этого вида в районах антициклонических вихрей может быть связана не столько с кормовыми условиями, сколько с предшествующей историей этих вод, затягиваемых на глубину с поверхностных горизонтов, где холодноводные представители Calanoida в период сезонного потепления, как правило, представлены слабо (в основном науплиусами и редкими ранними копеподитами) [14]. Также мы не видим противоречия между возрастающей разницей в объёме жировых мешков у V копеподитов и взрослых рачков (самок и самцов) при изменении условий обитания с циклонической к антициклонической циркуляции. Липиды, аккумулируемые копеподами в жировых мешках, представлены исключительно метаболически инертными восками. Поскольку они накапливаются по мере взросления и расходуются только [26] или в основном [20] при гаметогенезе, их содержание достигает максимума у V копеподитов, тогда как у самок и самцов – снижается. Следовательно, возросший объём жировых мешков у V копеподитов и снизившийся – у самок и самцов в районах антициклонической циркуляции означает, по сути, одно и то же: кормовые (и, возможно, отчасти температурные) условия здесь в большей мере способствовали накоплению липидов V копеподитами, а также повышению генеративной активности взрослых особей.
Не исключено, что небольшое увеличение объёма жировых мешков у V копеподитов в период с 2016 по 2017 гг. может быть связано с некоторым улучшением кормовых условий для C. euxinus в 2017 г. Однако вряд ли об этом можно сказать определеннее, поскольку смещение сроков исследований с октября на ноябрь, возможно, также могло привести к разным оценкам жиронакопления у этого вида.
ЗАКЛЮЧЕНИЕ
При гидрологическом и биотическом своеобразии условий обитания C. euxinus в Чёрном море осенью 2017 г. биомасса этого вида в глубоководных районах (7.3 ± 0.5 г/м2) была близка к уровню её среднемноголетних значений (7–8 г г/м2 [1, 5, 23]) для сезонов с умеренным развитием популяций желетелых планктофагов. По сравнению с аналогичными данными, полученными осенью 2016 г., когда медуз было вдвое меньше [7], средние показатели численности и биомассы копеподы в открытом море и на внешнем шельфе не претерпели существенных изменений. Вместе с тем в 2017 г. более плотные скопления C. euxinus (12.8 ± 1.0 тыс. экз/м2 и 9.8 ± 0.5 г/м2) были обнаружены в центральных областях циклонической циркуляции, тогда как в 2016 г. они чаще наблюдались на периферии циклонических круговоротов. Структура популяции C. euxinus также изменилась. Если в октябре 2016 г. I–III копеподиты в глубоководных районах составляли 3.2 ± 0.9% всех особей, то ноябре 2017 г. их доля возросла до 16.6 ± 1.3%. Относительная численность IV копеподитов, самок и самцов также увеличилась, а доля V копеподитов, наоборот, сократилась. Наиболее вероятная причина этих структурных изменений – более поздние сроки исследований, когда популяция C. euxinus приблизилась к фазе активного размножения. Рост относительной численности V копеподитов и взрослых особей в районах циклонической циркуляции свидетельствует о завершающемся созревании копеподитных стадий в этих условиях. В то же время увеличение жировых запасов у V копеподитов, сокращение объёма жировых мешков самок и возросшая численность самцов в антициклонических районах указывают на лучшие трофические условия для этой части популяции C. euxinus и её большую зрелость.
Благодарности. Авторы выражают искреннюю благодарность д. г. н., ведущему научному сотруднику Ю.И. Артамонову и ведущему инженеру-исследователю С.А. Шутову (Морской гидрофизический институт РАН) за помощь в организации экспедиционных работ и предоставленные гидрологические данные.
Источник финансирования. Работа выполнена в рамках государственного задания ФБГУН ФИЦ ИнБЮМ РАН по теме № 121041400077-1 “Функциональные, метаболические и токсикологические аспекты существования гидробионтов и их популяций в биотопах с различным физико-химическим режимом” и проекта РФФИ № 18-44-920022 “Отклик черноморской пелагической экосистемы на изменение климата в регионе (на примере медуз, гребневиков и мелких пелагических рыб)”.
About the authors
E. S. Hubareva
Kovalevsky Institute of Biology of the Southern Seas of RAS
Author for correspondence.
Email: ehubareva@mail.ru
Russian Federation, Sevastopol
B. E. Anninsky
Kovalevsky Institute of Biology of the Southern Seas of RAS
Email: ehubareva@mail.ru
Russian Federation, Sevastopol
References
- Аннинский Б.Е., Тимофте Ф. Распределение зоопланктона в западном секторе Чёрного моря в октябре 2005 г. // Морской экологический журнал. 2009. Т. 8. № 1. С. 17–31.
- Аннинский Б.Е., Финенко Г.А., Дацык Н.А. Альтернативные векторы массового появления сцифоидной медузы Aurelia Aurita (Linnaeus, 1758) и гребневика Pleurobrachia pileus (O.F. Muller, 1776) в планктоне Чёрного моря // Юг России: экология, развитие. 2020. Т. 15. № 2. С. 35–47. https://doi.org/10.18470/1992-1098-2020-2-35-47
- Видничук А.В., Коновалов С.К. Изменение кислородного режима глубоководной части Чёрного моря за период 1980–2019 годы // Морской гидрофизический журнал. 2021. Т. 37. № 2. С. 195–206. https://doi.org/10.22449/0233-7584-2021-2-195-206
- Востоков С.В., Лобковский Л.И., Востокова А.С., Соловьев Д.М. Сезонная и многолетняя изменчивость фитопланктона в Чёрном море по данным дистанционного зондирования и контактным измерениям хлорофилла а // Доклады Академии Наук. 2019. Т. 485. № 1. С. 99–103. https://doi.org/10.31857/S0869-5652485199-103
- Губарева Е.С., Аннинский Б.Е. Состояние популяции Calanus euxinus (Copepoda) в открытой пелагиали и зоне Крымского шельфа Чёрного моря осенью 2016 г. // Морской биологический журнал. 2022. Т. 7. № 3. С. 17–27.
- Иванов В.А., Белокопытов В.Н. Океанография Чёрного моря. Севастополь: Морской гидрофизический институт, 2011. 209 с.
- Климова Т.Н., Вдодович И.В., Аннинский Б.Е. и др. Влияние некоторых абиотических и биотических факторов на нерест европейского шпрота Sprattus sprattus (Linnaeus, 1758) в Чёрном море в ноябре 2016–2017 гг. // Океанология. 2021. Том 61. № 1. С. 67–78 https://doi.org/10.31857/S0030157421010081
- Ковалев А.В. Изменение состава и количественных показателей зоопланктона в период интенсивного антропогенного воздействия на экосистему моря // Современное состояние ихтиофауны Чёрного моря. Севастополь: ЭКОСИ-Гидрофизика, 1996. С. 134–138.
- Латун В.С. Влияние условий нереста шпрота на его промысловые запасы // Системы контроля окружающей среды. 2014. Вып. 20. С. 209–215.
- Новикова А.М., Полонский А.Б. Междесятилетняя изменчивость температуры поверхности и холодного промежуточного слоя в Черном море // Системы контроля окружающей среды. 2018. № 14. С. 110–115.
- Сажина Л.И. Размножение, рост, продукция морских веслоногих ракообразных. Киев: Наукова думка, 1987. 155 с.
- Светличный Л.С., Губарева Е.С. Продукционные характеристики Calanus euxinus – важного компонента кормовой базы планктоноядных рыб Чёрного моря // Промысловые биоресурсы Чёрного и Азовского морей. Севастополь: ЭКОСИ-Гидрофизика, 2011. С. 283–293.
- Светличный Л.С., Губарева Е.С. Состояние популяции Сalanus euxinus (Copepoda) в северо-западной части Чёрного моря в октябре 2010 г. // Морской экологический журнал. 2014. Т. 13. № 1. С. 69–71.
- Финенко Г.А., Дацык Н.А., Загородняя Ю.А., Аннинский Б.Е. Состояние и пищевые отношения популяции гребневика Mnemiopsis leidyi A. Agassiz, 1865 в глубоководных районах Чёрного моря // Российский журнал биологических инвазий. 2022 (в печати).
- Финенко Г.А., Дацык Н.А., Игнатьев С.М., Аннинский Б.Е. Пространственная вариабельность и пищевые характеристики популяций желетелых в акватории Крыма в летний период // Морской биологический журнал. 2019. Т. 4. № 2. С. 71–86. https://doi.org/10.21072/mbj.2019.04.2.08
- Amelina A.B., Sergeeva V.M., Arashkevich E.G. et al. Feeding of the dominant herbivorous plankton species in the Black Sea and their role in coccolithophorid consumption // Oceanology. 2017. V. 57. № 6. P. 806–816. https://doi.org/10.31857/S0869-5652485199-103
- Arashkevich E.G., Stefanova K., Bandelj V. et al. Mesozooplankton in the open Black Sea: Regional and seasonal characteristics // Journal of Marine Systems. 2014. V. 135. P. 81–96. https://dx.doi.org/10.1016/j.jmarsys.2013.07.011
- Hakanson J.L. The long and short term feeding condition in field-caught Calanus pacificus as determined from the lipid content // Limnology and Oceanography. 1984. V. 29. № 4. P. 794–804.
- Svetlichny L.S., Kideys A.E., Hubareva E.S. et al. Development and lipid storage in Calanus euxinus from the Black and Marmara Seas: Variabilities due to habitat conditions // Journal of Marine Systems. 2006. V. 59. P. 52–62. https://doi.org/10.1016/j.jmarsys.2005.09.003
- Svetlichny L., Yuneva T., Hubareva E. et al. Development of Calanus euxinus during spring cold homothermy in the Black Sea // Marine Ecology Progress Series. 2009. V. 374. P. 199–213. https://doi.org/10.3354/meps07740
- Ustun F., Bat L., Mutlu E. Seasonal variation and taxonomic composition of mesozooplankton in the southern Black Sea (off Sinop) between 2005 and 2009 // Turkish Journal of Zoology. 2018. V. 42. P. 541–556. https://doi.org/10.3906/zoo-1801-13
- Vinogradov M.E., Arashkevich E.G., Ilchenko S.V. The ecology of the Calanus ponticus population in the deeper layer of its concentration in the Black Sea // Journal of Plankton Research. 1992. V. 14. P. 447–458.
- Vinogradov M.E., Shushkina E.A., Mikaelyan A.S., Nezlin N.P. Temporal (seasonal and interannual) changes of ecosystem of the open waters of the Black Sea // Environmental Degradation of the Black Sea: Challenges and Remedies. Dordrecht–Boston–London: Kluwer Academic Publishers, 1999. V. 56. P. 109–129.
- Yuneva T.V., Zabelinsky S.A., Datsyk N.A. et al. Influence of food quality on lipids and essential fatty acids in the body of the Black Sea sprat Sprattus sprattus phalericus (Clupeidae) // Journal of Ichthyology. 2016. V. 56. № 3. P. 397–405. https://doi.org/10.7868/S0042875216030218
- Yuneva T.V., Svetlichny L.S., Yunev O.A. et al. Spatial variability of Calanus euxinus lipid content in connection with chlorophyll concentration and phytoplankton biomass // Oceanology. 1997. V. 37. P. 672–678.
- Yuneva T.V., Svetlichny L.S., Yunev O.А. et al. Nutritional condition of female Calanus euxinus from cyclonic and anticyclonic regions of the Black Sea // Marine Ecology Progress Series. 1999. V. 189. P. 195–204.
Supplementary files







