Геомагнитные исследования в Северной Атлантике
- Авторы: Пальшин Н.А.1, Иваненко А.Н.1, Городницкий А.М.1, Брусиловский Ю.В.1, Веклич И.А.1, Шишкина Н.А.1
-
Учреждения:
- Институт океанологии им. П.П. Ширшова РАН
- Выпуск: Том 63, № 5 (2023)
- Страницы: 796-812
- Раздел: Морская геология
- URL: https://journals.rcsi.science/0030-1574/article/view/140448
- DOI: https://doi.org/10.31857/S0030157423050131
- EDN: https://elibrary.ru/PWDMTO
- ID: 140448
Цитировать
Полный текст
Аннотация
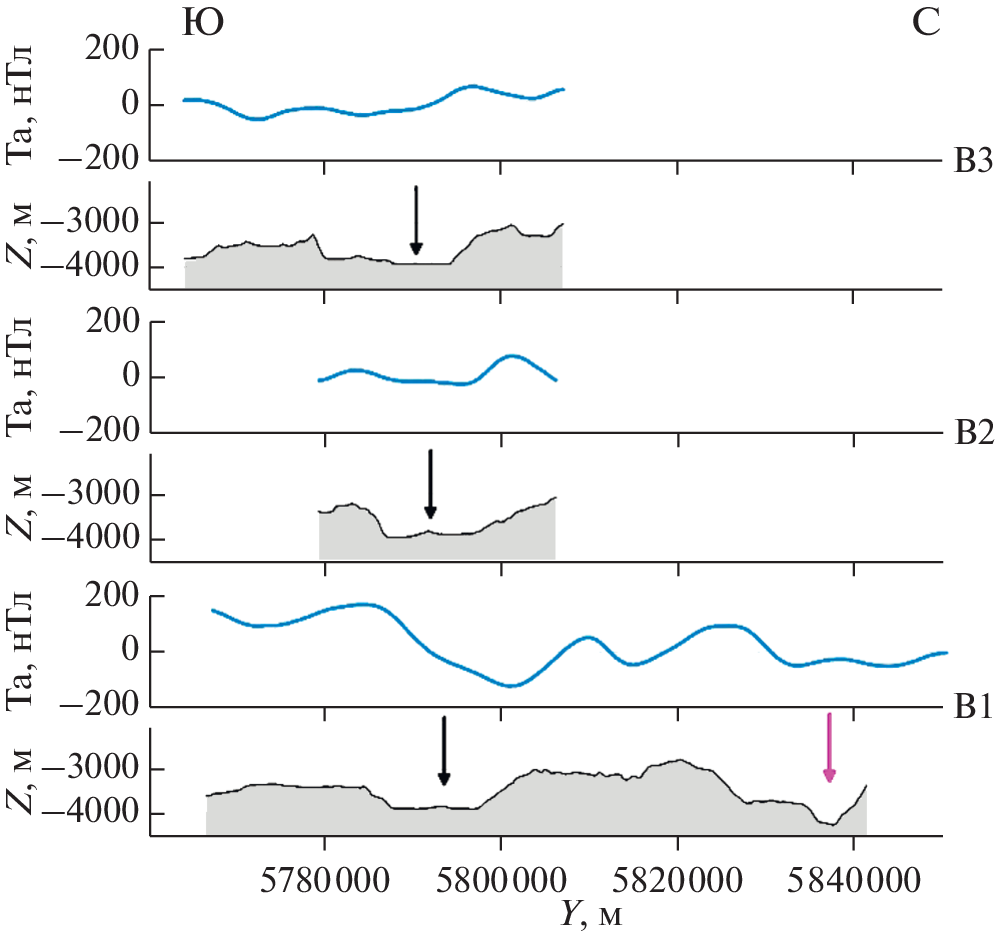
Работа посвящена описанию новых геомагнитных данных, полученных в Северной Атлантике в рейсах на судах Российской академии наук в 2020–2022 гг. Рассмотрены современные технологии геомагнитных измерений в океане и методы их обработки. Полученные геомагнитные данные указывают на гетерогенную природу источников магнитных аномалий в разломной зоне Чарли Гиббс и на прилегающих участках Срединно-Атлантического хребта, и позволяют решать широкий круг геологических и тектонических задач. Сформулированы приоритетные направления дальнейших исследований, направленных на уточнение параметров спрединга и построение моделей геомагнитного слоя, характерных для трансформных разломов и амагматических сегментов Срединно-Атлантического хребта.
Об авторах
Н. А. Пальшин
Институт океанологии им. П.П. Ширшова РАН
Автор, ответственный за переписку.
Email: palshin@ocean.ru
Россия, Москва
А. Н. Иваненко
Институт океанологии им. П.П. Ширшова РАН
Email: palshin@ocean.ru
Россия, Москва
А. М. Городницкий
Институт океанологии им. П.П. Ширшова РАН
Email: palshin@ocean.ru
Россия, Москва
Ю. В. Брусиловский
Институт океанологии им. П.П. Ширшова РАН
Email: palshin@ocean.ru
Россия, Москва
И. А. Веклич
Институт океанологии им. П.П. Ширшова РАН
Email: palshin@ocean.ru
Россия, Москва
Н. А. Шишкина
Институт океанологии им. П.П. Ширшова РАН
Email: palshin@ocean.ru
Россия, Москва
Список литературы
- Астафурова Е.Г., Городницкий А.М., Лукьянов С.В. и др. Природа магнитных аномалий и строение океанической коры Срединно-Атлантического хребта м прилегающих котловин в пределах Канаро-Багамского геотарверса // Природа магнитных аномалий и строение океанической коры. М.: Изд-во ВНИРО, 1996. С. 134–170.
- Брусиловский Ю.В., Городницкий А.М., Иваненко А.Н. Геомагнитное изучение подводных гор // Магнитное поле океана. М.: Наука, 1993. С. 231–271.
- Валяшко Г.М., Городницкий А.М., Лукьянов С.В. Геомагнитное изучение трансформных разломов // Магнитное поле океана. М.: Наука, 1993. С. 201–224.
- Городницкий А.М. Строение океанской литосферы и формирование подводных гор. М.: Наука, 1985. 166 с.
- Городницкий А.М., Шишкина Н.А. Обобщенная петромагнитная модель океанской литосферы // Природа магнитных аномалий и строение океанической коры. М.: Изд-во ВНИРО, 1996. С. 243–252.
- Городницкий А.М., Брусиловский Ю.В., Иваненко А.Н. и др. Гидратация океанической литосферы и магнитное поле океана // Геофизические исследования. 2017. Т. 18. № 4. С. 32–49.
- Иванов С.А., Меркурьев С.А. Интерпретация морских магнитных аномалий. Часть 1. Обзор существующих методов и анализ метода аналитический сигнал // Геомагнетизм и Аэрономия. 2014. Т. 54. № 3. С. 420–428.
- Иванов С.А., Меркурьев С.А. Интерпретация морских магнитных аномалий. Часть 2. Анализ нового метода и алгоритма на основе метода наименьших квадратов // Геомагнетизм и Аэрономия. 2014. Т. 54. № 4. С. 570–576.
- Пальшин Н.А., Иваненко А.Н., Алексеев Д.А. Неоднородное строение магнитоактивного слоя Курильской островной дуги // Геодинамика и тектонофизика. 2020. Т. 11(3). С. 583–594.
- Пейве А.А. “Сухой” спрединг океанической коры, тектонические и геодинамические аспекты // Геотектоника. 2004. № 6. С. 3–18.
- Пейве А.А., Соколов С.Ю., Иваненко А.Н. и др. Аккреция океанической коры в Срединно-атлантическом хребте (48°–51.5° с.ш.) в ходе “сухого спрединга” // Докл. РАН. Науки о Земле. 2023. Т. 508. № 2. С. 155–163.
- Пейве А.А., Соколов С.Ю., Разумовский А.А. и др. Соотношение магматических и тектонических процессов при формировании океанской коры к югу от разлома Чарли-Гиббс (Северная Атлантика) // Геотектоника. 2023. № 1. С. 48–74.
- Сколотнев С.Г., Санфилиппо А., Пейве А.А. и др. Геолого-геофизические исследования разломной зоны Чарли Гиббс (Северная Атлантика) // Докл. РАН. Науки о Земле. 2021. Т. 497. № 1. С. 5–9.
- Сколотнев С.Г., Пейве А.А., Санфилиппо А. и др. Геолого-геофизические исследования в Северной Атлантике в 53-м рейсе судна “Академик Сергей Вавилов” // Океанология. 2022. Т. 62. № 4. С. 664–666.
- Сколотнев С.Г., Пейве А.А., Иваненко А.Н. и др. Новые данные о геологическом строении восточного фланга трансформного разлома Чарли Гиббс (Северная Атлантика) // Докл. РАН. Науки о Земле. 2022. Т. 504. № 2. С. 121–126.
- Шрейдер А.А., Беляев И.И., Попов Э.А. и др. Геомагнитные исследования в рифтовой зоне хребта Рейкьянес // Рифтовая зона хребта Рейкьянес. М.: Наука, 1990. С. 62–78.
- Alken P., Thébault E., Beggan C.D. et al. International Geomagnetic Reference Field: the thirteenth generation // Earth Planets Space. 2021. V. 73. P. 49.
- Cannat M., Mével C., Maia M. et al. Thin crust, ultramafic exposures, and rugged faulting patterns at the Mid-Atlantic Ridge (22°–24° N) // Geology. 1995. V. 23(1). P. 49–52.
- Cande S.C., Kent D.V. Revised calibration of the geomagnetic polarity timescale for the late Cretaceous and Cenozoic // J. Geophys. Res. 1995. V. 100. P. 6093–6095.
- Choe H. The fate of Marine Magnetic Anomalies in Subduction Zone. Earth Sciences. Université de Paris, PhD Thesis, 2019.
- Dyment J., Arkani-Hamed J., Ghods A. Contribution of serpentinized ultramafics to marine magnetic anomalies at slow and intermediate spreading centres: insights from the shape of the anomalies // Geophys. J. Int. 1997. V. 129. P. 691–701
- Gee J.S., Kent D.V. Source of oceanic magnetic anomalies and the geomagnetic polarity reversals // Treatise on Geophysics, Geomagnetism / Kono M. (ed.). Amsterdam: Elsevier, 2007. V. 5. P. 455–508.
- Fryer P. Recent studies of serpentinite occurrences in the oceans: mantle-ocean interactions in the plate tectonic cycle // Geochemistry. 2002. V. 62(4). P. 257–302.
- Gorodnitskiy A.M., Brusilovskiy Yu.V., Ivanenko A.N. et al. New methods for processing and interpretation marine magnetic anomalies: Application to structure, oil and gas exploration, Kuril forearc, Barents and Caspian seas // Geoscience Frontiers. 2013. V. 4. P. 73–85.
- Heirtzler J.R., Dickson G.O., Herron E.M. et al. Marine magnetic anomalies, geomagnetic field reversals, and motions of the ocean floor and continents // J. Geophys. Res. 1968. V. 73. P. 2119–2136.
- Hensen C., Duarte J.C., Vannucchi P. et al. Marine Transform Faults and Fracture Zones: A Joint Perspective Integrating Seismicity, Fluid Flow and Life // Front. Earth Sci. 2019. V. 7. P. 39.
- Karson J.A., Lawrence R.M. Tectonic setting of serpentinite exposures on the western median valley wall of the MARK area in the vicinity of Site 920 // Proc ODP, Sci Results. 1997. College Station, TX (ODP). V. 153. P. 5–21.
- Kerrick D. Serpentinite Seduction // Science. 2002. V. 298. P. 1344–1345.
- Ligi M., Cuffaro M., Muccini F. et al. Generation and evolution of the oceanic lithosphere in the North Atlantic // Riv. Nuovo Cim. 2022. V. 45. P. 587–659.
- Maffione M., Morris A., Plumper J. et al. Magnetic properties of variably serpentinized peridotites and their implication for the evolution of oceanic core complexes // Geochem. Geophys. Geosyst. 2014. V. 15. P. 923–944.
- Merkouriev S., DeMets C. High-resolution Quaternary and Neogene reconstructions of Eurasia-North America plate motion // Geophys. J. Int. 2014. V. 198. P. 366–384.
- Mével C., Cannat M., Gente P. et al. Emplacement of deep crustal and mantle rocks on the west median valley wall of the MARK area (MAR 23° N) // Tectonophysics. 1991. V. 190. P. 31–53.
- Nazarova K.A. Serpentinized peridotites as a possible source for oceanic magnetic anomalies // Marine Geophysical Researches. 1994. V. 16. P. 455–462.
- Skolotnev S.G., Sanfilippo A., Peyve A.A. et al. Seafloor spreading and tectonics at the Charlie Gibbs transform system (52°–53° N, Mid Atlantic Ridge): Preliminary results from r/v A. N. Strakhov expedition S50 // Ofioliti. 2021. V. 46 (1). P. 83–101.
- Vacquier V. Geomagnetism in marine geology. Elsevier Oceanography series 6. 1972. 185 p.
- Vine F., Matthews D. Magnetic Anomalies Over Oceanic Ridges // Nature. 1963. V. 199. P. 947–949.
- White W.M., Klein E.M. Composition of the Oceanic Crust // Treatise on Geochemistry / Holland H.D., Turekian K.K. (Eds.). Elsevier, 2014. P. 457–496.
Дополнительные файлы


















