Современные сообщества бентосных фораминифер западной части Восточно-Сибирского моря
- Авторы: Овсепян Е.А.1, Овсепян Я.С.1,2, Зенина М.А.1, Митрофанова Н.О.1,2
-
Учреждения:
- Институт океанологии им. П.П. Ширшова РАН
- Геологический институт РАН
- Выпуск: Том 63, № 5 (2023)
- Страницы: 749-761
- Раздел: Морская биология
- URL: https://journals.rcsi.science/0030-1574/article/view/140444
- DOI: https://doi.org/10.31857/S003015742305012X
- EDN: https://elibrary.ru/CVJPQR
- ID: 140444
Цитировать
Полный текст
Аннотация
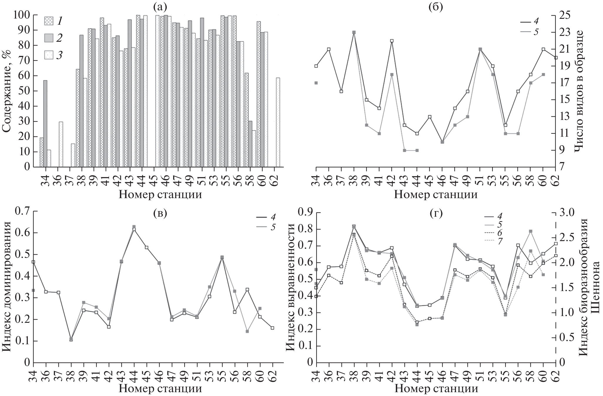
Комплексы бентосных фораминифер (БФ) были изучены в двадцати поверхностных пробах донных осадков, отобранных в западной части Восточно-Сибирского моря в ходе экспедиции НИС “Иван Киреев” в 2004 г. Примененная методика окрашивания образцов спиртовым раствором бенгальского розового позволила отделить “живые” экземпляры БФ от мертвых. Анализы видового состава показали, что “живые” (окрашенные) секреционно-известковые раковины доминируют в изучаемом регионе за исключением удаленных областей, расположенных вблизи архипелага Новосибирских островов и к северо-востоку от устья р. Индигирки, где до половины комплекса БФ могут составлять агглютинирующие виды. Незначительное число мертвых экземпляров свидетельствует о быстром растворении карбонатных раковин сразу после гибели организма. Видовой состав изученных сообществ, в целом, соответствует видовому составу комплекса ближнего шельфа, выделенного ранее для Карского моря. В поверхностных осадках Восточно-Сибирского моря доминирующими видами являются Elphidium clavatum, Elphidiella groenlandica, Haynesina orbiculare, E. incertum и Lagenammina atlantica. В небольшом количестве встречены Gordiospira arctica, Buccella frigida, E. bartletti, Reophax curtus, R. scorpiurus и виды семейства Polymorphinidae. В результате применения статистических методов в районе исследования выделено четыре области, характеризующиеся разным видовым составом: приустьевая зона р. Индигирки, область влияния Сибирского прибрежного течения, район, расположенный к северу от Сибирского прибрежного течения, и область Новосибирской отмели в сочетании с удаленным районом к северо-востоку от устья р. Индигирки. Разница таксономического состава комплексов может быть связана со степенью удаленности района от устья реки, характером осадка, мутностью вод и, вероятно, с содержанием свежего органического вещества в осадке.
Об авторах
Е. А. Овсепян
Институт океанологии им. П.П. Ширшова РАН
Автор, ответственный за переписку.
Email: eovsepyan@ocean.ru
Россия, Москва
Я. С. Овсепян
Институт океанологии им. П.П. Ширшова РАН; Геологический институт РАН
Автор, ответственный за переписку.
Email: yaovsepyan@yandex.ru
Россия, Москва; Россия, Москва
М. А. Зенина
Институт океанологии им. П.П. Ширшова РАН
Автор, ответственный за переписку.
Email: maria_zenina@mail.ru
Россия, Москва
Н. О. Митрофанова
Институт океанологии им. П.П. Ширшова РАН; Геологический институт РАН
Email: maria_zenina@mail.ru
Россия, Москва; Россия, Москва
Список литературы
- Ветров А.А., Семилетов И.П., Дударев О.В. и др. Исследование состава и генезиса органического вещества донных осадков Восточно-Сибирского моря // Геохимия. 2008. № 2. С. 183–195.
- Гудина В.И. Морской плейстоцен сибирских равнин. Фораминиферы Енисейского севера. М.: Наука, 1969. 80 с.
- Демидов А.Б., Гагарин В.И., Шеберстов С.В. Сезонная изменчивость первичной продукции Восточно-Сибирского моря и оценка ее годовой величины. Сравнение с другими морями Сибирской Арктики // Океанология. 2020. Т. 60. № 5. С. 696–710.
- Добровольский А.Д., Залогин Б.С. Моря СССР. М.: изд-во МГУ, 1982. 192 с.
- Корсун С.А., Погодина И.А., Тарасов Г.А., Матишов Г.Г. Фораминиферы Баренцева моря (гидробиология и четвертичная палеоэкология). Апатиты: Кольский научный центр РАН, 1994. 140 с.
- Лукина Т.Г. Особенности распределения фораминифер в море Лаптевых // Фауна и экосистемы моря Лаптевых и сопредельных глубоководных участков арктического бассейна. Исследования фауны морей. Т. 54. № 62. СПб.: 2004. С. 86–123.
- Матуль А.Г., Хусид Т.А., Мухина В.В. и др. Современные и позднеголоценовые природные условия на шельфе юго-восточной части моря Лаптевых по данным микрофоссилий // Океанология. 2007. Т. 47. № 1. С. 90–101.
- Овсепян Я.С. Позднечетвертичные фораминиферы моря Лаптевых и реконструкции изменения среды на основе палеоэкологического анализа. Дисс. на соиск. уч. степ. к.г.-м.н. М.: 2016. 240 с.
- Овсепян Я.С., Талденкова Е.Е., Баух Х.А., Кандиано Е.С. Реконструкция событий позднего плейстоцена–голоцена на континентальном склоне моря Лаптевых по комплексам бентосных и планктонных фораминифер // Стратиграфия. Геологическая корреляция. 2015. Т. 23. № 6. С. 96–112.
- Пипко И.И., Семилетов И.П., Тищенко П.Я. и др. Изменчивость параметров карбонатной системы в прибрежно-шельфовой зоне Восточно-Сибирского моря в осенний сезон // Океанология. 2008. Т. 48. № 1. С. 59–72.
- Романкевич Е.А., Ветров А.А. Углерод в Мировом океане. М.: ГЕОС, 2021. 352 с.
- Саидова Х.М. Сообщества фораминифер Чукотского моря // Океанология. 1990. Т. 30. Вып. 3. С. 450–454.
- Семилетов И.П. Разрушение мерзлых пород побережья как важный фактор в биогеохимии шельфовых вод Арктики // Докл. РАН. 1999. Т. 368. № 5. С. 679–682.
- Таманова С.В. Видовой состав современных фораминифер как индикатор гидрологического режима Арктических морей // Северный Ледовитый океан и его побережье в кайнозое. Л.: Гидрометеоиздат, 1970. С. 199–203.
- Таманова С.В. Фораминиферы моря Лаптевых // Геология моря. Л.: НИИГА, 1971. Вып. 1. С. 54–63.
- Хусид Т.А. Либина Н.В., Доманов М.М. Бентосные фораминиферы моря Лаптевых и их связь с гидрологическими условиями моря // Океанология. 2021. Т. 61. № 3. С. 423–432.
- Шорников Е.И., Зенина М.А. Фауна донных остракод Карского, Лаптевых и Восточно-Сибирского морей (по материалам экспедиций ТОИ ДВО РАН) // Морские исследования ДВО РАН в Арктике: Тр. Аркт. регион. центра. Т. 4. Владивосток: Дальнаука, 2006. С. 156–211.
- Anderson L.G., Björk G., Jutterström S. et al. East Siberian Sea, an Arctic region of very high biogeochemical activity // Biogeosciences. 2011. V. 8. P. 1745–1754.
- Bernhard J.M., Ostermann D.R., Williams D.S., Blanks J.K. Comparison of two methods to identify live benthic foraminifera: A test between Rose Bengal and CellTracker Green with implications for stable isotope paleoreconstructions // Paleoceanography. 2006. V. 21. PA4210.
- Cronin T.M., O’Regan, M., Pearce C. et al. Deglacial sea level history of the East Siberian Sea and Chukchi Sea margins // Clim. Past. 2017. V. 13. P. 1097–1110.
- Cushman J.A. Arctic Foraminifera. Cushman Lab. For Foraminiferal Research. 1948. Special Publication no. 23. 105 p.
- Dittmar T., Kattner G. The biogeochemistry of the river and shelf ecosystem of the Arctic Ocean: a review // Marine Chemistry. 2003. V. 83. P. 103–120.
- Dmitrenko I.A., Polyakov I.V., Kirillov S.A. et al. Toward a warmer Arctic Ocean: Spreading of the early 21st century Atlantic Water warm anomaly along the Eurasian Basin margins // J. Geophys. Res. 2008. V. 113. C05023.
- Feyling-Hanssen R.W. Weichselian interstadial foraminifera from the Sandnes-Jæren area // Late Quaternary foraminifera from Vendsyssel, Denmark and Sandnes / Bull. Geol. Soc. Den. 1971. V. 21. P. 72–116.
- Fossile E., Nardelli M.P., Jouini A. et al. Benthic foraminifera as tracers of brine production in the Storfjorden “sea ice factory” // Biogeosciences. 2020. V. 17. P. 1933–1953.
- Gordeev V.V., Martin J.M., Sidorov I.S., Sidorova M.V. A reassessment of the Eurasian river input of water, sediment, major elements, and nutrients to the Arctic Ocean // American Journal of Science. 1996. V. 296. P. 664–691.
- Hald M., Korsun S. Distribution of modern benthic foraminifera from fjords of Svalbard, European Arctic // J. of Foraminiferal Research. 1997. V. 27. № 2. P. 101–122.
- Hammer Ø., Harper D.A., Ryan P.D. PAST: Paleontological Statistics software package for education and data analysis // Palaeontologia Electronica. 2001. V. 4. № 1. P. 9.
- Husum K., Hald M., Stein R., Weissschnur M. Recent benthic foraminifera in the Arctic Ocean and Kara Sea continental margin // Arktos. 2015. V. 1. 5.
- Ivanova E.V., Ovsepyan E.A., Risebrobakken B., Vetrov A.A. Downcore distribution of living calcareous foraminifera and stable isotopes in the Western Barents Sea // Journal of Foraminiferal Research. 2008. V. 38. № 4. P. 337–356.
- Jakobsson M. Hypsometry and volume of the Arctic Ocean and its constituent seas // Geochemistry Geophysics Geosystems. 2002. V. 3. № 5. P. 1–18.
- Jones R.W. The Challenger Foraminifera. Oxford University Press, 1994. 149 p.
- Korsun S., Hald M. Modern benthic foraminifera off Novaya Zemlya tidewater glaciers, Russian Arctic // Arctic Alpine Res. 1998. V. 30. P. 61–77.
- Korsun S., Hald M. Seasonal dynamics of benthic foraminifera in a glacially fed fjord of Svalbard, European Arctic // Journal of Foraminiferal Res. 2000. V. 30. № 4. P. 251–271.
- Lukina T.G. Foraminifera of the Laptev Sea // Protistology. 2001. V. 2. № 2. P. 105–122.
- Nooijer L.J., Toyofuku T., Kitazato H. Foraminifera promote calcification by elevating their intracellular pH // PNAS. 2009. V. 106. № 36. P. 15374–15378.
- Osadchiev A.A. Pisareva M.N., Spivak E.A. et al. Freshwater transport between the Kara, Laptev and East Siberian seas // Scientific Reports. 2020. V. 10. 13041.
- Osadchiev A.A., Silvestrova K., Myslenkov S. Wind-driven coastal upwelling near large river deltas in the Laptev and East-Siberian Seas // Remote Sensing. 2020. V. 12. 844.
- Polyak L., Korsun S., Febo L. et al. Benthic foraminiferal assemblages from the southern Kara Sea, a river influenced Arctic marine environment // J. of Foraminiferal Res. 2002. V. 32. № 3. P. 252–273.
- Racine C., Bonnin J., Nam S.I. et al. Distribution of living benthic foraminifera in the northern Chukchi Sea // Arctos. 2018. V. 4. 28.
- Semiletov I.P., Dudarev O., Luchin V. et al. The East Siberian Sea as a transition zone between Pacific-derived waters and Arctic shelf waters // Geophysical Research Letters. 2005. V. 32. L10614.
- Semiletov I., Pipko I., Gustafsson Ö. et al. Acidification of East Siberian Arctic Shelf waters through addition of freshwater and terrestrial carbon // Nature Geoscience. 2016. Published online.
- Schönfeld J., Alve E., Geslin E. et al. The FOBIMO (FOraminiferal BIo-MOnitoring) initiative—Towards a standardized protocol for soft-bottom benthic foraminiferal monitoring studies // Mar. Micropal. 2012. V. 94–95. P. 1–13.
- Steinsund P.I., Hald M. Recent calcium carbonate dissolution in the Barents Sea: Paleoceanographic applications // Marine Geology 1994. V. 117. P. 303–316.
- Taldenkova E., Bauch H.A., Gottschalk J. et al. History of ice-rafting and water mass evolution at the North Siberian continental margin (Laptev Sea) during Late Glacial and Holocene times // Quat. Sci. Rev. 2010. V. 29. P. 3919–3935
- Todd R., Low D. Foraminifera from the Arctic Ocean off the eastern Siberian coast // U.S. Geol. Surv. Prof. Paper. 1966. № 550-C. P. 79–85.
- Walton W.R. Techniques for recognition of living foraminifera // Contributions from the Cushman Foundation for Foraminiferal Research. 1952. V. 3. P. 56–60.
- Weingartner T.J., Danielson S., Sasaki Y. et al. The Siberian Coastal current: a wind and buoyancy forced coastal current // J. Geophys. Res. 1999. V. 104. P. 29 697–29 713.
- Wollenburg J., Mackensen A. Living benthic foraminifers from the central Arctic Ocean: faunal composition, standing stock and diversity // Marine Micropaleontology. 1998. V. 34. № 3–4. P. 153–185.
Дополнительные файлы









