Hydrological Structure and Water Dynamics in the Powell Basin in January–February 2022
- Authors: Mukhametianov R.Z.1,2, Seliverstova A.M.1, Morozov E.G.1,3,2, Frey D.I.1,3,2, Krechik V.A.1,4, Zuev O.A.1
 - 
							Affiliations: 
							
- Shirshov Institute of Oceanology, Russian Academy of Sciences
 - Moscow Institute of Physics and Technology
 - Marine Hydrophysical Institute, Russian Academy of Sciences
 - Immanuel Kant Baltic Federal University
 
 - Issue: Vol 63, No 4 (2023)
 - Pages: 548-563
 - Section: Физика моря
 - URL: https://journals.rcsi.science/0030-1574/article/view/136269
 - DOI: https://doi.org/10.31857/S0030157423040147
 - EDN: https://elibrary.ru/YIGHQE
 - ID: 136269
 
Cite item
Full Text
Abstract
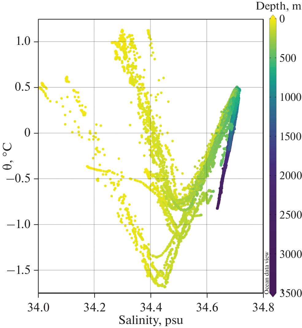
In January–February 2022, a CTD/LADCP section across the Powell Basin in the Weddell Sea with hydrochemical observations was carried out in the Antarctic expedition of the R/V “Akademik Mstislav Keldysh”. Transect was located from the Antarctic Peninsula to the South Orkney Islands; thus, it crossed the Weddell Gyre in its northwestern part. As a result, we collected new data about hydrological structure and water dynamics in this area. In this study, we present new results on the data analysis related to the structure of the Weddell Gyre, Antarctic Bottom Water formation, as well as variability of hydrophysical and hydrochemical characteristics of waters in the Powell Basin. Only two of the three currents, Antarctic Coastal Current and Antarctic Slope Front, were identified in the structure of the Weddell Gyre. Velocities of these currents were about 10–15 cm/s. The structure of waters was typical for the Weddell Sea, but a change in the temperature maximum was recorded in the layer of Warm Deep Water.
Keywords
About the authors
R. Z. Mukhametianov
Shirshov Institute of Oceanology, Russian Academy of Sciences; Moscow Institute of Physics and Technology
														Email: egmorozov@mail.ru
				                					                																			                												                								Russia, Moscow; Russia, Dolgoprudny						
A. M. Seliverstova
Shirshov Institute of Oceanology, Russian Academy of Sciences
														Email: egmorozov@mail.ru
				                					                																			                												                								Russia, Moscow						
E. G. Morozov
Shirshov Institute of Oceanology, Russian Academy of Sciences; Marine Hydrophysical Institute, Russian Academy of Sciences; Moscow Institute of Physics and Technology
							Author for correspondence.
							Email: egmorozov@mail.ru
				                					                																			                												                								Russia, Moscow; Russia, Sevastopol; Russia, Dolgoprudny						
D. I. Frey
Shirshov Institute of Oceanology, Russian Academy of Sciences; Marine Hydrophysical Institute, Russian Academy of Sciences; Moscow Institute of Physics and Technology
														Email: egmorozov@mail.ru
				                					                																			                												                								Russia, Moscow; Russia, Sevastopol; Russia, Dolgoprudny						
V. A. Krechik
Shirshov Institute of Oceanology, Russian Academy of Sciences; Immanuel Kant Baltic Federal University
														Email: egmorozov@mail.ru
				                					                																			                												                								Russia, Moscow; Russia, Kaliningrad						
O. A. Zuev
Shirshov Institute of Oceanology, Russian Academy of Sciences
														Email: egmorozov@mail.ru
				                					                																			                												                								Russia, Moscow						
References
- Аржанова Н.В. Гидрохимические показатели фронтальных зон в Южной Атлантике // Изд-во ВНИРО. 1990. Т. 2. С. 12–20.
 - Артамонова К.В., Гангнус И.А., Масленников В.В., Торгунова Н.И. Гидрохимические исследования в водах Антарктики в 59-й Российской Антарктической экспедиции // Океанология. 2015. Т. 55. № 5. С. 866–866.
 - Батрак (Артамонова) К.В. Гидрохимическая характеристика различных модификаций антарктических вод // Океанология. 2008. Т. 48. № 3. С. 349– 356.
 - Клепиков В.В. Гидрология моря Уэдделла // Труды Сов. Антарктической Экспедиции 1963. Т. 17. С. 45–93.
 - Морозов Е.Г., Спиридонов В.А., Молодцова Т.Н. и др. Исследования экосистемы атлантического сектора Антарктики (79-й рейс научно-исследовательского судна “Академик Мстислав Келдыш”) // Океанология. 2020. Т. 60. № 5. С. 823–825. https://doi.org/10.31857/S0030157420050172
 - Морозов Е.Г., Флинт М.В., Орлов А.М. и др. Гидрофизические и экосистемные исследования в атлантическом секторе Антарктики (87-й рейс научно-исследовательского судна “Академик Мстислав Келдыш”) // Океанология. 2022. Т. 62. № 5. С. 825–827. https://doi.org/10.31857/S003015742205015X
 - Морозов Е.Г., Фрей Д.И., Тараканов Р.Ю. Поток Антарктической донной воды через восточную часть прохода Филип в море Уэдделла // Океанология. 2020. Т. 60. № 5. С. 680–684.
 - Современные методы гидрохимических исследований океана. Бордовский О.К., Иваненков В.Н. (ред.). М.: ИОАН СССР, 1992. 198 с.
 - Спиридонов В.А., Залота А.К., Яковенко В.А., Горбатенко К.М. Состав популяции и транспорт молоди антарктического криля в районе бассейна Пауэлла (северо-западная часть моря Уэдделла) в январе 2020 г. // Труды ВНИРО. 2020. Т. 181. С. 33–51.
 - Boyer T.P., Baranova O.K., Coleman C. et al. World Ocean Database 2018. A.V. Mishonov, Technical Editor. NOAA Atlas NESDIS 87.
 - Carmack E.C., Foster T.D. On the flow of water out of the Weddell Sea // Deep-Sea Research. 1975. V. 22. P. 711–724.
 - Carpenter J.H. The Chesapeake Bay Institute technique for the Winkler dissolved oxygen method // Limnol. Oceanogr. 1965. V. 10. P. 141–143.
 - Deacon G.E.R. The Weddell gyre // Deep Sea Res. Part I. 1979. V. 26 (9). P. 981–995.
 - Egbert G.D., Erofeeva S.Y. Efficient inverse modeling of barotropic ocean tides // Journal of Atmospheric and Oceanic Technology. 2002. V. 19. № 2. P. 183–204.
 - Fedotova A.A., Stepanova S.V. Water mass transformation in the Powell Basin // In: “Antarctic Peninsula Region of the Southern Ocean, Advances in Polar Ecology”, E.G. Morozov et al. (eds.). https://doi.org/10.1007/978-3-030-78927-5_11. ISBN 978-3-030-78927-5
 - Frey D.I., Krechik V.A., Morozov E.G. et al. Water exchange between deep basins of the Bransfield Strait // Water 2022. V. 14. P. 3193. https://doi.org/10.3390/w14203193
 - Gill A.E. Circulation and bottom water formation in the Weddell Sea // Deep-Sea Research. 1973. V. 20. P. 111–140.
 - Gordon A.L., Visbeck M., Huber B. Export of Weddell Sea deep and bottom water // J. Geophys. Res. 2001. V. 106. № C5. P. 9005–9018.
 - Heywood K.J., Garabato A.C.N., Stevens D.P., Muench R.D. On the fate of the Antarctic Slope Front and the origin of the Weddell Front // J. Geophys. Res. 2004. V. 109. C06021. https://doi.org/10.1029/2003JC002053
 - Izhitskiy A., Romanova N., Vorobieva O., Frey D. Impact of ice melting on oceanographic and hydrobiological characteristics of surface waters in the Powell Basin, Weddell Sea, in January–February 2020 // Oceanology. 2022. V. 62. P. 439–446.
 - Klatt O., Fahrbach E., Hoppema M., Rohardt G. The transport of the Weddell Gyre across the Prime Meridian // Deep-Sea Res. Part II. 2005. V. 52 (3–4). P. 513–528.
 - Meijers A.J.S., Meredith M.P., Abrahamsen E.P. et al. Wind driven export of Weddell Sea slope water // J. Geophys. Res. Oceans. 2016. V. 121. P. 7530–7546. https://doi.org/10.1002/2016JC011757
 - Morozov E.G., Frey D.I., Krechik V.A. et al. Water masses, currents, and phytoplankton in the Bransfield Strait in January 2020 // Antarctic Peninsula Region of the Southern Ocean, Advances in Polar Ecology. Springer, 2021.V. 6. P. 55–64. https://doi.org/10.1007/978-3-030-78927-5_4
 - Morozov E.G., Frey D.I., Zuev O.A. et al. Hydraulically controlled bottom flow in the Orkney Passage // Water MDPI. 2022. V. 14 (19). P. 3088. Doi:https://doi.org/10.3390/w14193088
 - Orsi A.H., Nowlin W.D., Whitworth T. III. On the circulation and stratification of the Weddell Gyre // Deep-Sea Research, Part I. 1993. V. 40. P. 169–203.
 - Orsi A.H., Smethie W.M., Bullister J.L. On the total input of Antarctic Waters to the deep ocean: A preliminary estimate from chlorofluorocarbon measurements // J. Geophys. Res. 2002. 107(C8). 3122. https://doi.org/10.1029/2001JC000976
 - Padman L., Erofeeva S.Y., Fricker H.A. Improving Antarctic tide models by assimilation of ICESat laser altimetry over ice shelves // Geophys. Res. Lett. 2008. V. 35. L22504. https://doi.org/10.1029/2008GL035592
 - Schlitzer R. Data analysis and visualization with Ocean Data View // CMOS Bulletin SCMO. 2015. V. 43. № 1. P. 9–13.
 - Schröder M, Hellmer H.H., Absy J.M. On the near-bottom variability in the northwestern Weddell Sea // Deep-Sea Res. Part II. 2002. V. 49. P. 4767–4790.
 - Schodlok M., Hellmer H., Beckmann A. On the transport, variability and origin of dense water masses crossing the South Scotia Ridge // Deep-Sea Res. Part II. 2002. V. 49. P. 4807-4825. https://doi.org/10.1016/S0967-0645(02)00160-1
 - Stepanova S.V., Polukhin A.A., Borisenko G.V. et al. Hydrochemical structure of waters in the Northern Weddell Sea in Austral Summer 2020 // In: “Antarctic Peninsula Region of the Southern Ocean, Advances in Polar Ecology”, E.G. Morozov et al. (eds.), Springer, 2021. V. 6. P. 159–174. https://doi.org/10.1007/978-3-030-78927-5_11. ISBN 978-3-030-78927-5
 - Thompson F., Heywood K. Frontal structure and transport in the northwestern Weddell Sea // Deep-Sea Research Part I. 2008. V. 55. P. 1229–1251.
 - Wang Q., Danilov S., Fahrbach E. et al. On the impact of wind forcing on the seasonal variability of Weddell Sea Bottom Water transport // Geophys. Res. Lett. 2012. V. 39. L06603. https://doi.org/10.1029/2012GL051198
 - Youngs M.K., Thompson A.F., Flexas M.M., Heywood K.G. Weddell Sea export pathways from surface drifters // J. Phys. Oceanogr. 2015. V. 45 (4). P. 1068–1085. https://doi.org/10.1175/JPO-D-14-0103.1
 
Supplementary files
				
			
					
						
						
						
						
				















