The Lipid Profile of the Tissues of the Gray Whale (Eschrichtius robustus): to the Relationship of Composition of Lipids and Their Physiological and Biochemical Role in Maintaining Tissue Function
- Authors: Mamaev M.S.1, Murzina S.A.2, Voronin V.P.2, Litovka D.I.3, Rozhnov V.V.1
-
Affiliations:
- A.N. Severtsov Institute of Ecology and Evolution, Russian Academy of Sciences
- Institute of Biology of the Karelian Research Center of the Russian Academy of Sciences
- Office of the Governor and Government of the Chukotka Autonomous Okrug
- Issue: Vol 63, No 3 (2023)
- Pages: 436-446
- Section: БИОЛОГИЯ МОРЯ
- URL: https://journals.rcsi.science/0030-1574/article/view/136256
- DOI: https://doi.org/10.31857/S0030157423030103
- EDN: https://elibrary.ru/SRLTDD
- ID: 136256
Cite item
Full Text
Abstract
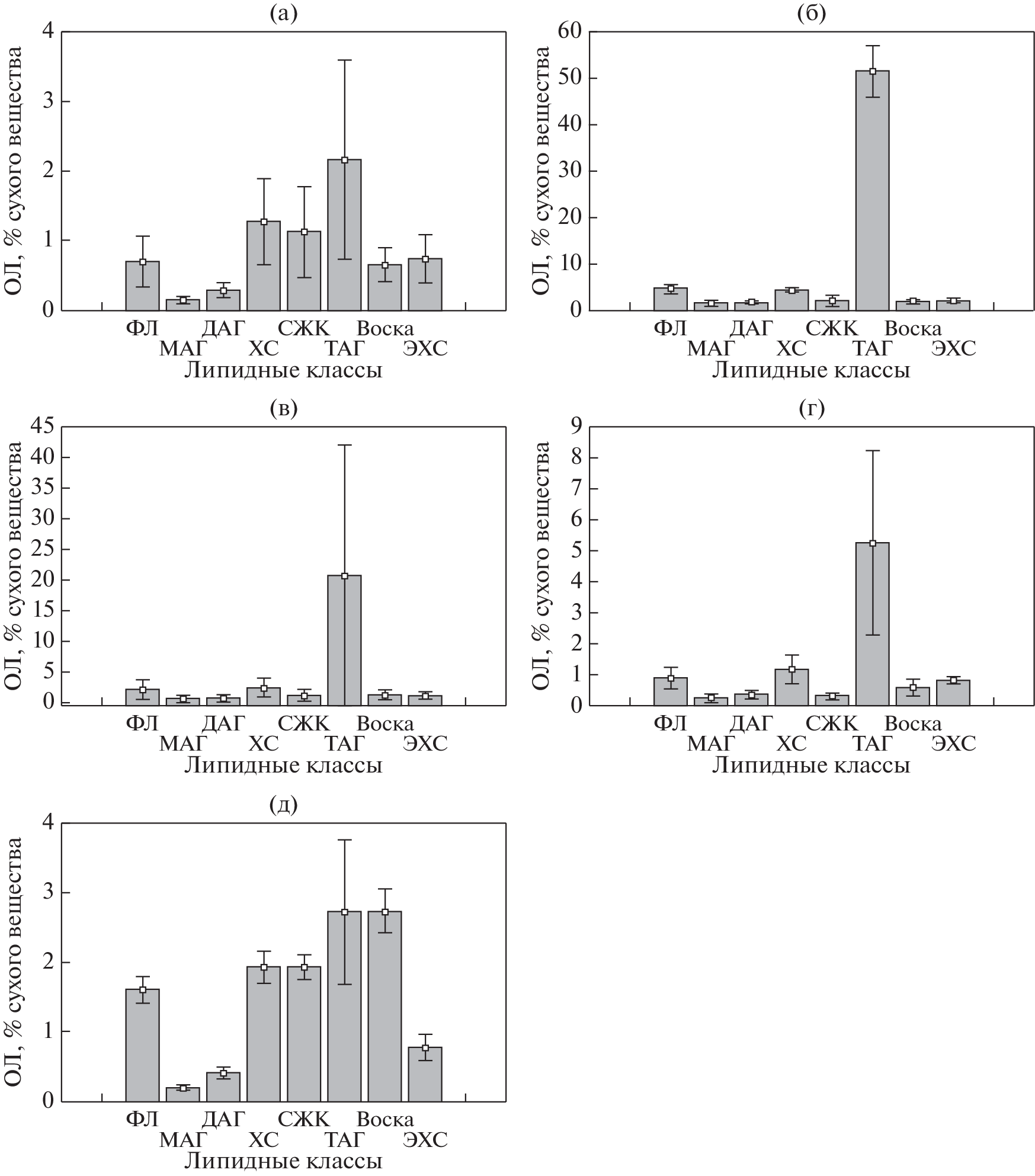
A study was made of the composition of lipids in different tissues of gray whales Eschrichtius robustus, and the lipid profiles of tissues with different functional loads were compared. Five types of tissues (skin, muscle, liver, outer and inner layers of fat) were collected from seventeen individuals of eastern gray whales during the permitted aboriginal fishing in the village. Lorino of the Chukotka Autonomous Okrug in the summer of 2020. For all of the listed tissues, the composition of total lipids and their individual lipid classes was studied by high-performance thin-layer chromatography (HPTLC), the identification and description of lipid profiles of different types of tissues was carried out, which made it possible to identify their general and specific features of lipid metabolism according to the studied parameters. Comparative analysis of lipid profiles of tissues revealed individual lipid classes that make the greatest contribution to discrimination between different tissues. Both the content of total lipids and individual lipid classes varied significantly in different tissues. At the same time, 93% of the differences between tissues are two functions that are most closely related to the content of metabolically associated diacylglycerols (DAG), monoacylglycerols (MAG), triacylglycerols (TAG) and waxes, mainly energetic lipids, in tissues. The paper discusses the relationship between the qualitative and quantitative composition of lipids and the functional load and the physiological role of tissues. The metabolic features of the accumulation and consumption of lipid classes during the feeding period were noted. The revealed differences in certain parameters of lipid metabolism of the outer and inner layers of fat are due to different metabolic activity of tissues and their function in the body, which, among other things, is provided by lipids.
Keywords
About the authors
M. S. Mamaev
A.N. Severtsov Institute of Ecology and Evolution, Russian Academy of Sciences
Email: rozhnov-v-2015@yandex.ru
Russia, Moscow
S. A. Murzina
Institute of Biology of the Karelian Research Center of the Russian Academy of Sciences
Email: rozhnov-v-2015@yandex.ru
Russia, Petrozavodsk
V. P. Voronin
Institute of Biology of the Karelian Research Center of the Russian Academy of Sciences
Email: rozhnov-v-2015@yandex.ru
Russia, Petrozavodsk
D. I. Litovka
Office of the Governor and Government of the Chukotka Autonomous Okrug
Email: rozhnov-v-2015@yandex.ru
Russia, Anadyr
V. V. Rozhnov
A.N. Severtsov Institute of Ecology and Evolution, Russian Academy of Sciences
Author for correspondence.
Email: rozhnov-v-2015@yandex.ru
Russia, Moscow
References
- Аюшин Н.Б., Караулова Е.П., Ковековдова Л.Т. и др. Технохимическая характеристика органов и тканей серого кита Eschrichtius robustus // Известия ТИНРО. 2017. Т. 190. С. 212–221.
- Мамаев М.С., Мурзина С.А., Пеккоева С.Н. и др. Стратификация жировой ткани восточных серых китов Eschrichtius robustus // Морские млекопитающие Голарктики. Сборник тезисов XI-ой Международной конференции “Морские млекопитающие Голарктики”. 2021. С. 64–65.
- Сидоров В.С., Лизенко Е.И., Болгова О.М., Нефедова З.А. Тканевая специфичность ряпушки Coregonus albula L. // Липиды рыб. 1. Методы анализа. Лососевые (Salmonidae) Карелии. Петрозаводск: Карельский филиал АН СССР. 1972. № 1. С. 152–163.
- Ackman R.G., Eaton C.A., Jangaard P.M. Lipids of fin whale (Balaenoptera physalus) from the north Atlantic waters // Canadian Journal of Biochemistry. 1965. V. 43. P. 1513–1520.
- Aguilar A., Borrell A. Patterns of lipid content and stratification in the blubber of fin whales (Balaenoptera physalus) // J. Mammalogy. 1990. V. 71. No. 4. P. 544–554.
- Bagge L.E., Koopman H.N., Rommel S.A. et al. Lipid class and depth-specific thermal properties in the blubber of the short-finned pilot whale and the pygmy sperm whale // J. Experimental Biology. 2012. V. 215. P. 4330–4339.
- Budge S.M., Iverson S.J., Koopman N.H. Studying trophic ecology in marine ecosystems using fatty acids: a primer on analysis and interpretation // Marine Mammal Science. 2006. V. 22. P. 759–801.
- Dunkin R.C., McLellan W.A., Blum J.E., Pabst D.A. The ontogenetic changes in the thermal properties of blubber from Atlantic bottlenose dolphin Tursiops truncates // J. Experimental Biology. 2005. V. 208. P. 1469–1480.
- Folch J., Lees M., Sloane Stanley G.H. A simple method for the isolation and purification of total lipids from animal tissues // J. Biol. Chem. 1957. V. 226. No. 5. P. 497–509.
- Gauthier J.M., Metcalfe C.D., Sears R. Validation of the blubber biopsy technique for monitoring of organochlorine contaminants in Balaenopterid whales // Marine Environmental Research. 1997. V. 43. No. 3. P. 157– 179.
- Hellwig J. Defining parameters for a reproducible TLC-separation of phospholipids using ADC 2 // Diploma thesis. University of Applied Sciences Northwestern Switzerland (FHNW). 2005.
- Koopman H.N. Phylogenetic, ecological, and ontogenetic factors influencing the biochemical structure of the blubber of odontocetes // Marine Biology. 2007. V. 151. P. 277–291.
- Krahn M.M., Ylitalo G.M., Burrows D.G. et al. Organochlorine contaminant concentrations and lipid profiles in eastern North Pacific gray whales (Eschrichtius robustus) // J. Cetacean Res. Manageme. 2001. V. 3(1). P. 19–29.
- Kvadsheim P.H., Folkow L.P., Blix A.S. Thermal conductivity of minke whale blubber // J. Thermal Biology. 1996. V. 21. P. 123–128.
- Lockyer C.H., McConnell L.C., Waters T.D. The biochemical composition of fin whale blubber // Canadian J. Zoology. 1984. V. 62. P. 2553–2562.
- Lonati G.L., Phelps C.E., Koopman H.N., Pabst D.A. The density of odontocete integument depends on blubber lipid composition and temperature // Marine Mammal Science. 2018. V. 35 (22). P. 595–616.
- Liwanag H.E.M., Berta A., Costa D.P. et al. Morphological and thermal properties of mammalian insulation: The evolutionary transition to blubber in pinnipeds // Biological J. Linnean Society. 2012. V. 107. P. 774–787.
- Olsen R.E., Henderson R.J. The rapid analysis of neutral and polar marine lipids using double-development HPTLC and scanning densitometry // J. Exp. Mar. Biol. Ecol. 1989. V. 129. P. 189–197.
- Phleger C.F. Buoyancy in marine fishes: direct and indirect role of lipids // American Zoologist. 1998. V. 38. No. 2. P. 321–330.
- Pomerleau C., Lesage V., Winkler G. et al. Contemporary Diet of Bowhead Whales (Balaena mysticetus) from the Eastern Canadian Arctic Inferred from Fatty Acid Biomarkers // Arctic. 2014. V. 67. No. 1. P. 84–92.
- Raclot T. Selective mobilization of fatty acids from adipose tissue triacylglycerols // Progress in Lipid Research. 2003. V. 42 P. 257–288.
- Singleton E.M., McLellan W.A., Koopman H.N. Lipid composition and thermal properties of the blubber of Gervais’ beaked whale (Mesoplodon europaeus) across ontogeny // Marine Mammal Science. 2017. V. 33. No. 2. P. 695–705.
- Strandberg U., Kakela A., Lydersen C. et al. Stratification, composition, and Function of Marine Mammal Blubber: The Ecology of Fatty Acids in Marine Mammals // Physiological and Biochemical Zoology. 2008. V. 81. No. 4. P. 473–485.
- Tilbury K.L., Stein J.E., Krone C.A. et al. Chemical contaminants in juvenile gray whales (Eschrichtius robustus) from a subsistence harvest in Arctic feeding grounds // Chemosphere. 2002. V. 47. P. 555–564.
- Waugh C.A., Nichols P.D., Noad M.C., Nash S.B. Lipid and fatty acid profiles of migrating Southern Hemisphere humpback whales Megaptera novaeangliae // Marine Ecology Progress Series. 2012. V. 471. P. 271–281.
- Worthy G.A.J., Edwards E.F. Morphometric and biochemical factors affecting heat loss in a small temperate cetacean (Phocoena phocoena) and a small tropical cetacean (Stenella attenuata) // Physiological Zoology. 1990. V. 63. P. 432–442.
Supplementary files





