New data on the structure of the Laptev Sea flank of the gakkel ridge (Arctic Ocean)
- Authors: Kaminsky D.V.1, Chamov N.P.2, Zhilin D.M.3, Krylov A.A.1, Neevin I.A.4, Bujakaite M.I.2, Degtyarev K.E.2, Dubensky A.S.2, Kaminsky V.D.1, Logvina E.A.1, Okina O.I.2, Semenov P.B.1, Kil A.O.1, Pokrovsky B.G.2, Tolmacheva T.Y.4
-
Affiliations:
- All-Russian Science Research Institute Okeangeologiya
- Geological Institute, Russian Academy of Sciences
- LLC “Hydro-Si”
- Karpinsky All-Russian Science Research Geological Institute (VSEGEI)
- Issue: No 6 (2024)
- Pages: 634–647
- Section: Articles
- URL: https://journals.rcsi.science/0024-497X/article/view/273445
- DOI: https://doi.org/10.31857/S0024497X24060028
- EDN: https://elibrary.ru/WVQJQL
- ID: 273445
Cite item
Full Text
Abstract
The article provides new data on the structure of the Laptev Sea flank of the Gakkel Ridge. The intensive supply of clastic material from the shelf of the Laptev Sea leads to the development of a thick alluvial cone at the continental foot, which determines the structure of the bottom topography. In the northwestern direction, the influence of the fan decreases and tectonics becomes the main relief-forming factor. The bathymetric survey traced the asymmetrical rift valley of the Gakkel Ridge, the western side of which is complicated by terraces. The presence of fault structures, bottom subsidence and intensive sediment supply, and the widespread development of landslide processes indicate high neotectonic activity of the Laptev Sea flank of the Gakkel Ridge. For the first time in this region, numerous carbonate formations have been discovered, the authigenic cement of which is represented by magnesian calcite or aragonite with an admixture of terrigenous material. Palynological and micropaleontological analysis of carbonate formations indicates the Quaternary formation of authigenic carbonate cement. An important role in the formation of authigenic carbonates was played by diagenetic solutions coming from the sedimentary cover together with methane and products of oxidation of gases and organic matter. Authigenic carbonates were deposited mainly in isotopic equilibrium with bottom water at a temperature of about 0°C. The negative correlation between 87Sr/86Sr and δ13C indicates the presence of at least two different sources of carbonate-forming solutions.
Full Text
ПОЛОЖЕНИЕ ХРЕБТА ГАККЕЛЯ В СТРУКТУРЕ СЕВЕРНОГО ЛЕДОВИТОГО ОКЕАНА И ЗАДАЧИ ЕГО ИЗУЧЕНИЯ
Хребет Гаккеля представляет собой рифтогенную форму подводного рельефа, которая протягивается на расстояние около 1800 км от пролива Фрама между Гренландией и архипелагом Шпицберген к морю Лаптевых (рис. 1).
Рис. 1. Положение хребта Гаккеля в структуре Северного Ледовитого океана и его обрамления (по [Чамов, Соколов, 2022] с упрощениями).
1 – суша; 2, 3 – акватории: 2 – с изобатой до 500 м, 3 – с изобатой свыше 500 м; 4, 5 – мезозойские структуры: 4 – Охотско-Чукотский вулканический пояс, 5 – Колымская структурная петля; 6–8 – фронты складчатости и области их распространения: 6 – каледонской и элсмирской, 7 – герцинской, 8 – мезозойской; 9, 10 – структуры рифтогенеза и повышенной сейсмичности: 9 – океанические, 10 – континентальные; 11 – отмершие оси спрединга; 12 – разломы: а – установленные, б – предполагаемые; 13 – надвиги: а – локальные, б – региональные; 14 – сдвиги.
Обрамляют хребет Гаккеля глубоководные котловины Нансена и Амундсена, а вместе они образуют самую крупную депрессию ложа Северного Ледовитого океана – Евразийский осадочный бассейн. Продольными ограничениями ему служат хребет Ломоносова и шельфы Баренцева и Карского морей.
Система рифтогенных структур морского дна (трог Лена, хребты Моллой и Книповича) в проливе Фрама связывают хребет Гаккеля со срединным хребтом Атлантического океана (см. рис. 1). Поскольку развитие всех сегментов Атлантики на протяжении последних 170 млн лет происходило в сторону Северного полюса, то хребет Гаккеля можно рассматривать как наиболее молодой (не старше 56 млн лет) элемент Атлантико-Арктической рифтовой системы (ААРС) [Соколов и др., 2020]. На связь хребта Гаккеля и Атлантических структур указывает и расположение вдоль оси ААРС эпицентров землетрясений [ANSS, 2014].
В сторону Евразии на простирании хребта Гаккеля в пределах шельфа моря Лаптевых установлены линейные отрицательные аномалии силы тяжести в свободном воздухе. Они выражены чередованием узких линейных высокоградиентных зон северо-западного и субдолготного простираний [Арктический…, 2017], которым соответствуют скрытые позднемеловым–голоценовым чехлом узкие (40–60 км) протяженные (200–250 км) и глубокие (4–12 км) грабены [Аветисов, Гусева, 1991; Аветисов, 1996; Грамберг и др., 1990; Грачев и др., 1973]. Эпицентры землетрясений прослеживаются вдоль оси хребта Гаккеля через шельф моря Лаптевых к структурам Верхоянского складчато-надвигового пояса (ВСНП) [ANSS, 2014].
Таким образом, хребет Гаккеля имеет признаки структурной и сейсмологической связи как с океаническими образованиями Атлантики, так и с континентальными комплексами Северной Евразии. Понимание геодинамических процессов, ответственных за появление такой тектонически биполярной структуры в Арктическом регионе, имеет фундаментальное научное значение. Значительный интерес вызывают процессы накопления и преобразования осадков в области сочленения океанической и континентальной Земной коры.
В статье приводятся результаты обработки материалов геолого-геофизического изучения Лаптевоморского фланга хребта Гаккеля в августе–октябре 2022 г.
МЕТОДЫ ИССЛЕДОВАНИЯ
1) Основными методами изучения океанического дна являлись батиметрическая съемка, визуальное изучение дна и сбор образцов донно-каменного материала. Возможность реализации указанных методов была достигнута с привлечением океанографического исследовательского судна (ОИС) “Янтарь”.
2) Аналитические исследования карбонатных пород выполнены в Лаборатории химико-аналитических исследований Геологического института РАН (ГИН РАН).
Концентрации породообразующих окислов в пробах карбонатов определяли методом масс-спектрометрии с индуктивно связанной плазмой после их разложения с помощью кислот. Навеску образца 50 мг помещали во фторопластовый флакон (Savillex, США), смачивали 0.5 мл деионизованной воды, затем по каплям прибавляли 0.5 мл азотной кислоты (осч). После окончания бурной реакции полученную смесь нагревали на плитке до объема, не превышающего 0.5 мл. После остывания к пробе добавляли 1 мл азотной кислоты (осч) и 1.5 мл фтористоводородной кислоты (осч), плотно завинчивали крышку и нагревали на плитке при 175°С в течение 18 часов. Затем проводили последовательное упаривание пробы с 0.5 мл хлорной кислоты (suprapur), 0.5 мл азотной кислоты (осч) и 0.5 мл борной кислоты (0.05 М), 0.5 мл азотной кислоты (осч) и растворение остатка в 4 мл азотной кислоты (1:1) при нагревании на плитке при 175°С в течение 16 часов. Полученный раствор переносили в мерную колбу 100 мл, добавляли 1 мл раствора индия (0.1 мкг/см3), доводили до метки деионизованной водой и анализировали с помощью масс-спектрометра ELEMENT2 (Thermo Fisher Scientific GmbH, Германия).
Контроль качества результатов проводили с помощью анализа холостых образцов, а также стандартного образца карбоната CM-1 (GeoPT44A, IAG). Расхождение с аттестованными значениями для большинства элементов не превышали 15% отн.
Концентрацию породообразующих элементов определяли методом рентгенофлуоресцентного анализа с помощью спектрометра S4 Pioneer (Bruker, Германия) с родиевой трубкой (4 кВт). Анализировали пробы, полученные после их прессования в таблетки под давлением 7 т и высушивания при 90°C в течение 2 часов. В качестве связующего материала использовали поливиниловый спирт (3% раствор, м/м, 0.5 мл на таблетку).
3) Изотопные исследования карбонатов выполнены в Лаборатории геохимии изотопов и геохронологии ГИН РАН.
Для определения изотопного состава стронция навеска образца около 0.25 г вначале отмывалась от поверхностных загрязнений слабым (0.1N) раствором соляной кислоты, затем – водой. Далее карбонатная часть пород выделялась с помощью растворения в 1N соляной кислоте. Выделение фракций стронция проводилось с помощью ионообменной хроматографии. Измерения изотопного состава стронция осуществлялись на масс-спектрометре МАТ-260 в ГИН РАН с точностью не хуже ±0.00008. Использовались два изотопных стандарта – ВНИИМ и SRM NBS 987. Результаты по ним составляют соответственно 87Sr/86Sr = 0.70768 ± 0.00002, n = 9 (принятое значение 0.70801) и 87Sr/86Sr = 0.70993 ± 0.00004, n = 15 (принятое значение 0.71025). Измерения по разным стандартам дают сходимость между собой ±0.00001, что позволяет устранить систематическую ошибку, вводя поправку на разницу между измеренным и принятым (“паспортным”) значением стандарта.
4) Распределение палиноморф разного возраста в изученных образцах выполнено В.С. Разумковой во Всероссийском научно-исследовательском геологическом институте имени А.П. Карпинского МПРиЭ России.
5) Рентгенофазовый анализ карбонатов и определение н-алканов и изопреноидов выполнено во ВНИИОкеангеология МПРиЭ России.
ПОЛУЧЕННЫЕ РЕЗУЛЬТАТЫ
Район работ протягивается вдоль оси хребта Гаккеля от подножия континентального склона в северо-западном направлении (рис. 2).
Рис. 2. Положение участка работ относительно главных структур Лаптевоморского фланга хребта Гаккеля. Красные линии – разломы; ПО – полигоны опробования; А–З – линии профилей и фрагменты сейсмических разрезов МОГТ: А–Б – SMNG 18-14, В–Г – SMNG 18-20, Д–Е – MAGE 90700, Ж–З – ARC 14-05. На врезке вверху – положение хребта Гаккеля и участка работ в структуре дна Северного Ледовитого океана.
Батиметрическая съемка рельефа дна выполнялась способом площадного обследования. Общая протяженность съемки составила 5388 линейных километров, что позволило закартировать площадь в 11000 кв. км при средней глубине 2700 м. По классификации стандарта МГО S-44 (2020) съемка рельефа дна выполнялась в соответствии с требованиями ко второй категории съемок рельефа дна.
В пределах полигона исследований установлено прогрессивное нарастание глубин от 1000 м на юго-востоке со стороны континентального склона до 3400 м на северо-западе. В плане на батиметрической карте наблюдается развитие ортогональных континентальному склону вытянутых валов (гребней), постепенно сужающихся по мере погружения дна на северо-запад. Центральный вал разделяет две (западную и восточную) протяженные долины, в осевых частях которых отчетливо проявлены эрозионные врезы. Крутые борта и отчетливо выраженные бровки врезов свидетельствуют о недавнем времени их образования.
Такие формы рельефа характерны для подводных конусов выноса, основными элементами которых являются области разгрузки (лопасти) и транспортировки (русла, распределительные каналы) гравитационных потоков. Строение рельефа и фациальная организация накапливающихся осадков в пределах конусов определяется удаленностью от склона, с которого происходит поставка обломочного материала гравитационными потоками [Чамов, 1991].
Закономерности строения подводного конуса выноса показаны на профилях рельефа дна на участке работ (рис. 3). На юго-востоке участка в проксимальной части конуса наблюдается высокоамплитудное поднятие (профиль GKS–62), которое мористее преобразуется в резко асимметричную форму рельефа (профиль GKS–56). Наиболее погруженные части этого поднятия находятся на глубинах от 1850 до 2300 м. К ним приурочены извилистые распределительные каналы конуса выноса.
Далее вглубь бассейна в рельефе дна наблюдается форма, сходная со столовой горой, платообразная поверхность которой сохраняется на значительном расстоянии вглубь бассейна (профиль GKS–48). При этом восточная долина конуса и прорезающие ее отдельные русла смещены в восточных румбах от простирания осевой линии хребта Гаккеля (см. рис. 2, 3).
Существенные изменения в рельефе дна отмечаются в северо-западном направлении, начиная с профиля GKS–05, где на глубинах до 2650 м проявляется западная долина. Эта долина находится на осевой линии главной структуры региона – хребта Гаккеля и, вероятно, является его частью. С западной стороны депрессия ограничена крутыми протяженными уступами, а с восточной – более пологим дистальным валом конуса выноса.
От широты профиля GKS–05 бровка западного уступа прослеживается в северо-западном направлении примерно по изобате 2500 м. В сечении профиля рельефа дна GKS–15 перепад глубин от бровки борта депрессии до основания склона составляет не менее 500 м. На самом склоне отчетливо выделяются две террасы (ступени), вдоль простирания которых наблюдаются участки крупных оползней (обвалов).
Начиная с профиля GKS–21 и мористее в рельефе дна западная долина выражена очень отчетливо. Далее к северо-западу она углубляется и постепенно переходит в рифтовую долину хребта Гаккеля с нарастанием глубин свыше 3600 м (см. рис. 3). Вдоль оси долины развиты молодые эрозионные врезы (русла), которые не связаны с протяженными распределительными каналами, идущими вдоль оси восточной долины конуса выноса. Истоки этих русел тяготеют к широте профиля GKS–05.
Рис. 3. Батиметрическая карта и профили рельефа дна на участке работ.
Положение участка работ в региональной структуре см. рис. 2.
В пределах полигонов опробования (см. рис. 2) с помощью подводных видеокамер проводилось визуальное изучение морского дна. В крутых уступах западного борта западной долины наблюдались широко проявленные следы оползневых процессов – участки (стенки) отрыва оползней и смещенные вниз по склону в разной степени дезинтегрированные фрагменты слоистых толщ. По ходу оползней на склонах обычно располагались разных форм и размеров фрагменты темных пород. Отмечены как единичные экземпляры, так и цепочки (шлейфы), растянутые вниз по склону. В свежих стенках отрыва отчетливо проявлена фациальная организация конуса выноса – напоминающее срез луковицы наслоение многочисленных пластов, образованных за счет разгрузки обломочного материала из гравитационных потоков. Восточный борт рифтовой долины более пологий. Террасовидные уступы и следы оползневых процессов здесь не обнаружены.
Сбор образцов донно-каменного материала с поверхности морского дна производился манипуляторами. В ходе опробования опытным путем было установлено, что литификация отложений конуса практически отсутствует – прикосновение манипулятора провоцирует оползание части осадков и образование облаков ила.
Основные полигоны опробования были приурочены к сильно расчлененному западному борту рифтовой долины (см. рис. 2). Отбор фрагментов пород из оползневых шлейфов показал, что в основной массе они являются материалом ледового разноса, а их цвет темный цвет обусловлен наличием железо-марганцевых пленок (“рубашек”).
Среди отобранного материала в пределах четырех геологических станций на трех полигонах (ПО-1, ПО-3, ПО-4) (см. рис. 2) присутствовали 9 образцов карбонатных пород. Они представляют собой плотные образования, выделяющиеся среди обрамляющих нелитифицированных отложений конуса выноса.
Морфология, размер и места нахождение карбонатов очень изменчивы (рис. 4). Некоторые карбонаты по форме напоминают оленьи рога (см. рис. 4а), другие не имеют доминирующей ориентировки (см. рис. 4б) или уплощены и напоминают межпластовые конкреции (см. рис. 4в). Размеры карбонатов по длинным осям достигают 25–30 см. Наиболее крупный из поднятых образцов, напоминающий уплощенную трубку, составляет 50 × 20 × 10 см (образец А22-10R1 из ПО-4).
Рис. 4. Карбонатные образования хребта Гаккеля, цемент которых представлен арагонитом (а, б) и магнезиальным кальцитом (в, г).
Основная часть карбонатов поднята со склона западного борта рифтовой долины в интервале глубин от 2600 до 3000 м, где они присутствуют как в виде единичных образований на пологих участках дна, так и образуют грядообразные скопления, протягивающиеся вдоль склона. Грядовые образования достаточно прочны (образцы приходится отламывать) и, вероятно, способствуют укреплению склона – ниже одной из таких гряд наблюдалась линия отрыва оползня.
Один из образцов – уплощенная конкреция (см. рис. 4г) был отобран в изометричной депрессии (покмарке?), расположенной в основании западного склона (ПО-1). Это было единственное плотное образование на илистой равнине. Примечательно, что после поднятия этого образца манипулятором под ним обнаружился темный осадок, сильно отличающийся от обрамляющих рыжих илов. Создалось впечатление, что конкреция бронировала некий канал внутри поля рыжих окисленных илов.
Поднятые карбонатные образования состоят из прочного карбонатного матрикса, который содержит округлые и угловатые обломки силикатных пород. В отдельных образцах, например, А22–1t–1 (см. рис. 4в) наблюдаются реликты первичной осадочной текстуры отложений мутьевых потоков (гравитационная сортировка обломков, фрагменты стратификации, ориентированные по напластованию удлиненные обломки терригенных пород). Общими для большинства карбонатов является наличие в них внутренних каналов (см. рис. 4а–4в), что явно указывает на миграцию флюидов в ходе их формирования. Это обстоятельство в сочетание с сохранением первичной структуры силикатного кластогенного каркаса отложений гравитационных потоков свидетельствуют об аутигенном образовании карбонатов, то есть их кристаллизации на месте во вмещающем осадке в качестве цемента, отложившегося непосредственно из раствора.
Результаты рентгено-флюоресцентного анализа карбонатных образований отражают их смешанный силикатно-карбонатный состав (табл. 1). Это согласуется с макроскопическими наблюдениями и представлением о формировании аутигенного цемента по силикатному каркасу осадков. По содержанию оксидов кальция и магния карбонатные образования можно характеризовать как магнезиальные. Исключения составляют пробы из образцов A22-8R-1 и A22-8R-2 со станции ПО-3, в которых содержания MgO ниже 1%.
Таблица 1. Результаты рентгено-флюоресцентного анализа, %
Лабораторный номер | Геологический образец | SiO2 | TiO2 | Al2O3 | Fe2O3 | FeO | MnO | MgO | CaO | Na2O | K2O | P2O5 | ППП |
209 | A22-It-1 | 23.34 | 0.45 | 6.45 | 1.39 | 0.49 | 0.05 | 3.35 | 32.73 | 0.71 | 1.25 | 0.21 | 29.52 |
211 | A22-It-4 | 27.54 | 0.65 | 7.88 | 2.44 | 0.62 | 0.21 | 3.02 | 28.89 | 0.88 | 1.53 | 1.96 | 24.33 |
207 | A22-It-5 | 26.10 | 0.67 | 7.72 | 2.27 | 0.66 | 0.31 | 2.82 | 33.41 | 0.77 | 1.47 | 1.37 | 22.35 |
210 | A22-8R-1 | 16.80 | 0.27 | 4.03 | 1.22 | 0.21 | 0.04 | 0.85 | 42.97 | 0.39 | 0.79 | 0.12 | 32.29 |
208 | A22-8R-2 | 10.33 | 0.17 | 2.87 | 0.82 | 0.12 | 0.02 | 0.32 | 47.51 | 0.34 | 0.52 | 0.14 | 36.83 |
212 | A22-10R-1 | 34.07 | 0.72 | 9.72 | 5.36 | 0.68 | 0.19 | 2.35 | 20.76 | 1.09 | 1.83 | 1.49 | 21.67 |
Минеральный состав карбонатных образований изучен Е.В. Покровской в Лаборатории физических методов изучения породообразующих минералов ГИН РАН. Результаты ренгенофазового анализа карбонатных образований показали, что все они содержат примесь терригенного материала. Во всех образцах присутствует кварц, несколько реже – полевые шпаты.
В образцах A22-1t-1, A22-1t-4 и A22-1t-5 из ПО-1; A22-10R1 из ПО-4 карбонатным минералом является кальцит. В образцах A22-8R-1 и A22-8R-2 из ПО-3 кальцит не диагностирован, зато широко развит арагонит. Эти результаты полностью согласуются с результатами микроскопических наблюдений, в ходе которых арагонит был обнаружен только в образцах с полигона опробования ПО-3.
Разный минеральный состав аутигенных карбонатов, представленный магнезиальным кальцитом (образцы A22-1t-1, A22-1t-4 и A22-1t-5 из ПО-1; A22-10R1 из ПО-4) и арагонитом (A22-8R-1 и A22-8R-2 из ПО-3) указывает на разницу в условиях аутигенного минералообразования, что, вероятно, может быть связано с различием источников карбонат-образующих флюидов.
Рис. 5. Распределение палиноморф разного возраста в изученных образцах. Цифрами внутри диаграмм показано количество учтенных для статистики экземпляров. 1 – пермь–юра (пыльца); 2 – ранняя юра (диноцисты); 3 – нижний мел (диноцисты, споры); 4 – поздний мел (диноцисты, пыльца); 5 – палеоген (диноцисты); 6 – кайнозой (пыльца); 7 – неоген/квартер (пыльца).
Палинологический и микропалеонтологический анализ на руководящие группы ископаемых показал, что в 9 образцах карбонатных образований встречены споры и пыльца наземных и водных растений, а также микрофитопланктон разного возраста (от юры до квартера), смешанные в разных пропорциях (рис. 5). Очевидно, широкий возрастной диапазон ископаемых относится к терригенному материалу, тогда как осаждение собственно аутигенного (диагенетического) карбонатного цемента, вероятно, происходило в четвертичное время.
Результаты количественного химического анализа карбонатных образований приведены в табл. 2. Очевидно, что большая часть полученных данных отражает состав терригенной компоненты осадков. Так, отношение Y/Ho для всех изученных образцов менее 32, что свидетельствует о значительном количестве терригенной (или вулканической) примеси.
Таблица 2. Результаты количественного химического анализа, мкг/г (ICP-MS)
Химические элементы | Геологические образцы | |||||
A-22-1t-1 | A-22-1t-4 | A22-1t-5 | A22-8R-1 | A-22-8R-2 | A22-10R-1 | |
Li | 24 | 31 | 28 | 14.1 | 8.7 | 34 |
Be | 1.10 | 1.19 | 1.00 | 0.52 | 0.34 | 1.39 |
Sc | 9.0 | 9.9 | 9.3 | 4.2 | 2.5 | 12.3 |
V | 99 | 85 | 84 | 53 | 35 | 114 |
Cr | 39 | 53 | 51 | 24 | 14.8 | 71 |
Co | 8.2 | 10.5 | 9.9 | 5.0 | 3.9 | 17.9 |
Ni | 17.6 | 23 | 28 | 40 | 5.3 | 43 |
Zn | 35 | 48 | 50 | 23 | 16.8 | 64 |
Cu | 13.2 | 19.9 | 19.6 | 8.2 | 5.6 | 25 |
Ga | 7.6 | 9.8 | 8.8 | 4.0 | 2.8 | 12.2 |
Rb | 51 | 56 | 50 | 33 | 21 | 68 |
Sr | 835 | 706 | 733 | 5884 | 6808 | 457 |
Y | 16.3 | 13.1 | 12.9 | 12.6 | 7.5 | 15.9 |
Zr | 64 | 74 | 76 | 49 | 24 | 96 |
Nb | 5.4 | 7.2 | 6.2 | 3.1 | 2.0 | 7.6 |
Mo | 3.3 | 1.19 | 0.49 | 2.5 | 0.74 | 1.80 |
Sn | 0.93 | 1.04 | 0.91 | 0.56 | 0.32 | 1.17 |
Sb | 0.37 | 0.98 | 0.66 | 0.55 | 0.18 | 0.95 |
Cs | 2.7 | 3.2 | 3.0 | 1.62 | 1.02 | 4.3 |
Ba | 222 | 289 | 278 | 156 | 116 | 316 |
La | 14.5 | 15.5 | 14.7 | 11.1 | 11.7 | 20 |
Ce | 29 | 32 | 30 | 20 | 14.7 | 41 |
Pr | 3.7 | 4.0 | 3.7 | 2.6 | 2.7 | 5.3 |
Nd | 13.2 | 14.0 | 13.0 | 9.6 | 9.6 | 18.5 |
Sm | 2.8 | 2.8 | 2.7 | 1.94 | 1.71 | 3.7 |
Eu | 0.67 | 0.67 | 0.65 | 0.44 | 0.37 | 0.88 |
Gd | 2.6 | 2.4 | 2.5 | 1.87 | 1.43 | 3.4 |
Tb | 0.43 | 0.38 | 0.39 | 0.30 | 0.22 | 0.52 |
Dy | 2.6 | 2.2 | 2.3 | 1.85 | 1.28 | 3.0 |
Ho | 0.57 | 0.44 | 0.47 | 0.40 | 0.26 | 0.61 |
Er | 1.63 | 1.21 | 1.31 | 1.17 | 0.70 | 1.71 |
Tm | 0.25 | 0.18 | 0.20 | 0.18 | 0.10 | 0.26 |
Yb | 1.62 | 1.14 | 1.24 | 1.14 | 0.61 | 1.65 |
Lu | 0.26 | 0.19 | 0.20 | 0.19 | 0.093 | 0.28 |
Hf | 1.64 | 1.62 | 1.81 | 1.27 | 0.61 | 2.3 |
W | 0.51 | 0.75 | 0.79 | 0.40 | 0.21 | 1.00 |
Tl | 0.25 | 0.21 | 0.22 | 0.15 | 0.11 | 0.41 |
Pb | 6.5 | 7.3 | 7.1 | 6.4 | 2.9 | 9.8 |
Th | 3.8 | 4.2 | 4.3 | 2.6 | 1.61 | 6.2 |
U | 3.4 | 1.43 | 1.48 | 3.9 | 5.2 | 1.82 |
Ta | 0.25 | 0.46 | 0.39 | 0.18 | 0.12 | 0.46 |
Примечание. Погрешность результатов анализа не превышает нормативов по ОСТ 41-08-212-04 “Нормы погрешности при определении химического состава минерального сырья и классификация методик лабораторного анализа по точности результатов”.
Распределение редкоземельных элементов показывает отсутствие каких-либо принципиальных изменений относительно постархейского среднего австралийского сланца (PAAS). Некоторое обогащение тяжелыми РЗЭ фиксируется для образца A22-8R-1.
Цериевая аномалия (Ce/Ce*), типичная для окислительных обстановок (0.64–0.95), отмечается для образцов A-22-8R2, A22-8R1 и A22-10R1. Промежуточные значения между окислительными и восстановительными обстановками измерены в образцах A22-1t5, A-22-1t1 и A-22-1t4.
Понимая, что цериевая аномалия прежде всего отражает характеристики преобладающего в породах терригенного материала, нельзя не отметить. что окислительные обстановки установлены в образах карбонатных пород с арагонитовым цементом из ПО-3, что может быть следствием их формирования вблизи поверхности дна.
Особого внимания заслуживают концентрации стронция – неоднородные для всех карбонатных образований и гигантские (5884–6808 мкг/г) для образцов из ПО-3. Примечательно, что все в разной степени значимые аномалии химического или минерального состава карбонатных образований связаны с образцами из этого полигона исследования. Поскольку полигон расположен на наиболее тектонизированном участке западного склона рифтовой долины, можно предположить, что именно к нему приурочены пути наиболее активной миграции карбонат-образующих растворов.
Распределение н-алканов и изопреноидов было изучено в двух образцах – A22-8R1 (арагонит) и A22-10R1 (Mg-кальцит). Концентрации Сорг в указанных образцах составляют 0.12 и 0.52% соответственно. Различие в содержании Сорг более чем в четыре раза может свидетельствовать о неодинаковых обстановках формирования карбонатных построек и различной степени вовлеченности органического вещества (ОВ) в их кристаллизацию. Характер распределения н-алканов демонстрирует очевидное сходство в короткоцепочечной области (С15-С18). В направлении увеличения числа атомов углерода в образце A22-8R1 наблюдается обеднение ОВ н-алканами. В образце A22-10R1 отмечается обратная тенденция – увеличение содержания компонентов С21–С33 с явным доминированием нечетных гомологов (С25, С27, С29, С31), маркирующих вклад терригенного ОВ, поставляемого в морские осадки речным стоком. Локальными максимумами “короткоцепочечного” диапазона (С15–С18) в обоих образцах служат пики С16 и С18. В целом доминирование четных гомологов над нечетными может быть связано с активностью микробиоты в раннем диагенезе [Imfeld et al., 2022; Lein et al., 2013]. Преобладание фитана над пристаном, особенно выраженное в образце A22-8R1 (Pr/Ph = 0.4), свидетельствует о преимущественно восстановительных условиях седиментации ОВ. Данный вывод противоречит результатам изучения РЗЭ (значения цериевой аномалии)., что связано, вероятно, с различием анализируемых компонентов. Преобладание н-алканов С17 и С18 над изопреноидами (пристаном и фитаном соответственно), фиксируемое значениями индекса Kiso не превышающими 1, свидетельствует о диагенетическом уровне зрелости ОВ. Образец A22-8R1 демонстрирует более высокий уровень диагенетической трансформации ОВ (Kiso = 0.87) по сравнению с образцом A22-10R1 (Kiso = 0.45). На хроматограммах полного экстракта (до разделения на фракции) обоих образцов выявляется характерный пик неразделенной комплексной смеси (Unresolved complex mixture, UCM) с макcимумом в области С16–С18. Появление UCM может свидетельствовать об интенсивной переработке биолабильного ОВ гетеротрофной микробиотой.
Изотопный состав кислорода (табл. 3) в 24-х образцах аутигенных карбонатов (включая отдельные зоны корок) располагается в интервале значений δ18О от 2.0 до 5.9‰ VPDB (δ18О среднее = 4.3 ± 0.9‰ (n = 24)). Этот разброс может быть связан с несколькими причинами: вариациями δ18О в воде, колебаниями температуры, механической примесью карбонатов, сформированных в других условиях, минеральным составом карбонатов (арагонит и магнезиальный кальцит в одинаковых условиях несколько обогащены 18О по сравнению со стандартным кальцитом). Определить соотношение этих факторов не представляется возможным. Принимая для придонной воды моря Лаптевых δ18О = 0.3‰ (среднее по данным [Дубинина и др., 2019]) и используя формулу расчета равновесных температур по [Epstein et al., 1953], среднюю температуру осаждения проанализированных карбонатов можно оценить величиной 1.5 ± 2.9оС, которая в пределах ошибки не отличается от температур измеренных с борта судна (–0.74... –0.75°С).
Вопреки ожиданиям, изотопный состав стронция (см. табл. 3) в карбонатах демонстрирует существенный разброс отношений 87Sr/86Sr (0.70906‒0.70933). Очевидно, что в их образовании, наряду с современной морской водой (87Sr/86Sr = 0.70921 [Кузнецов и др., 2012]), участвуют растворы, заимствующие стронций из осадочного чехла. Одни из них (87Sr/86Sr > 0.70921), несомненно, связаны с терригенной компонентой осадков. Происхождение других растворов (87Sr/86Sr <0.70921) не столь очевидно и требует дальнейшего осмысления. В качестве рабочих гипотез можно предположить связь этих растворов либо с древними карбонатами, либо с захороненной в осадках миоценовой или ранне-плейстоценовой морской водой.
Таблица 3. Результаты изотопного анализа
Номер лабораторный | Геологические образцы | Точка отбора пробы | 87Sr/86Sr | *[Sr], ppm | *[Rb], ppm | Rb/Sr | δ13С | δ18O | SiO2, % | Ca0, % |
6222 | A22-1t-4 | 0.70910 | 706 | 56 | 0.08 | –23.6 | 35.8 | 27.54 | 28.89 | |
6223 | A22-10R-1 | 0.70931 | 457 | 68 | 0.15 | –34.5 | 35.5 | 34.07 | 20.67 | |
6224 | A22-1t-5 | Outer Вал | 0.70914 | 733 | 50 | 0.07 | –27.4 | 35.3 | 26.1 | 33.41 |
6225 | A22-1t-5 | Inner Вал | 0.70906 | –25.4 | 35.8 | |||||
6226 | A22-8R-2 | Вал | 0.70916 | 6808 | 21 | 0.003 | –36.1 | 36.0 | 10.33 | 47.51 |
6227 | A22-1t-1 | Вал | 0.70927 | 835 | 51 | 0.06 | –32.7 | 37.0 | 23.34 | 32.73 |
6228 | A22-8R-1 | Отросток-Вал | 0.70933 | 5884 | 33 | 0.006 | –34.7 | 36.8 | 16.8 | 42.97 |
Примечание. Ошибка измерения – ±0.00008; * – измерено на ICP MS в химической лаборатории ГИН РАН (см. табл. 2).
Величины δ13С 1 (см. табл. 3) в образцах с хребта Гаккеля варьируют от –23.5 до –37.3 VPDB δ13С среднее = –32.2 ± 4.3‰ /24/, свидетельствуя, что в образовании большей их части (с δ13С <–25‰) принимали участие продукты окисления метана. Однако чисто “метановые” карбонаты (δ13С ~ –70‰), такие, например, как в Чукотском море [Колесник и др., 2014], не обнаружены на Лаптевоморском фланге хребте Гаккеля. Большой разброс значений δ13С в карбонатах может быть связан с участием в их образовании наряду с низкотемпературным микробным метаном (δ13С ~ –70‰) высоко-температурного термогенного (δ13С ~ –40…–50‰), продуктов окисления органического вещества (δ13С ~ –25‰), бикарбонат-иона, растворенного в морской воде (δ13С ~ 0‰) или в диагенетических флюидах, растворяющих древние карбонаты.
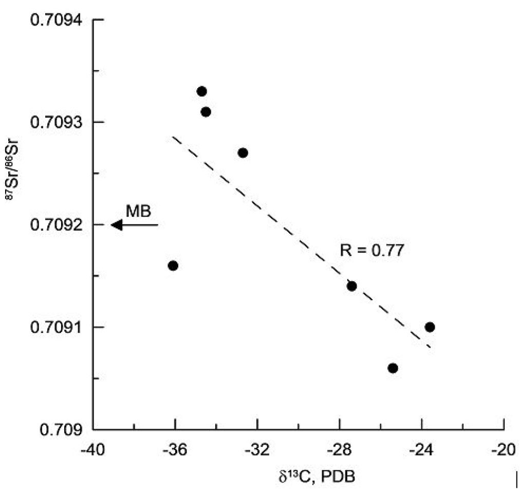
Рис. 6. Соотношение изотопного состава углерода и стронция в аутигенных карбонатах хребта Гаккеля. МВ – отношение 87Sr/86Sr в современной морской воде [Кузнецов и др., 2012].
Отрицательная корреляция значений δ13С и отношений 87Sr/86Sr (рис. 6) подтверждает участие в образовании аутигенных карбонатов хребта Гаккеля как минимум двух источников диагенетических флюидов.
ОБСУЖДЕНИЕ РЕЗУЛЬТАТОВ
Строение Лаптевоморского фланга хребта Гаккеля
Результаты батиметрической съемки отражают значительную расчлененность рельефа океанского дна Лаптевоморского фланга хребта Гаккеля. Хотя амплитуды рельефа на северо-западном и юго-восточном флангах полигона работ сходны, образование морфоструктур определяется разными причинами.
На юго-востоке наличие крупного подводного конуса выноса полностью определяет строение рельефа дна и маскирует характер сочленения хребта Гаккеля и континентального склона. В северо-западном направлении влияние конуса выноса уменьшается. Батиметрической съемкой прослежена структурно-асимметричная рифтовая долина хребта Гаккеля, западный борт которой осложнен террасами.
Сопоставление наблюдений с полученными ранее материалами сейсморазведки МОВ ОГТ показывает, что главным рельефообразующим фактором является тектоника. На сейсмических профилях хорошо видно, что наблюдаемые в рельефе террасы образованы кровлями сброшенных блоков, а их границы маркируют выходы на поверхность морского дна поверхностей сместителей (см. рис. 2). При этом в рельефе дна отчетливо выражены характерные для лежачего крыла изостатические воздымания бровок сбросовых уступов.
Восточный борт рифтовой долины имеет более простое строение, не нарушенное, судя по сейсмическим профилям, тектоническими нарушениями. Вероятно, здесь преобладают деформации изгиба, характерные для областей выхода на дневную поверхность кровли висячего крыла асимметричного полуграбена.
Таким образом, от подножия континентального склона, включая район работ, развиты структуры, не характерные для симметричных долин срединно-океанических хребтов – грабены и полуграбены. Такая структура, постепенно усложняясь, прослеживается до широты 81° с.ш. Северо-западнее в соответствии с предыдущими батиметрическими съемками в этом районе (немецкая экспедиция LARGE), расположена рифтовая долина срединно-океанического хребта. Последней юго-восточной спрединговой ячейкой, расположенной на острие проградации ультрамедленного спредингового хребта, вероятно, является глубокая (свыше 5300 м) впадина между 81° и 82° широтами (см. рис. 2, профиль Ж–З). От более северо-западных сегментов хребта она отделена нетрансформным смещением. Судя по положению относительно впадины, горы Шайкина и Шинкова могут относиться к внутренним океаническим комплексам (ВОК), которые широко распространены в осевых частях медленно-спрединговых срединно-океанических хребтов. Об относительно недавнем формировании этих структур свидетельствуют самые молодые (40Ar/39Ar 3.65 ± 0.01 млн лет) подушечные базальты, поднятые с горы Шайкина [Jokat et al., 2019].
По характеру строения крутого террасированного борта рифтовой долины с учетом материалов МОВ ОГТ можно говорить о существовании протяженного регионального разлома (см. рис. 2). Его северо-западное продолжение, очевидно связано со структурными элементами хребта Гаккеля. Дискуссионным является возможное продолжение этого разлома в сторону континентальной окраины.
Ранее на основании анализа сейсмологических и геолого-структурных данных было предположено, что система рифтогенных грабенов шельфа моря Лаптевых представляет собой недостающее звено рифтового пояса хребта Гаккеля – Момского хребта [Грамберг и др., 1990; Имаев и др., 2000, 2004; Engen et al., 2003 и др.]. Полученные данные не противоречат этим представлениям и позволяют в качестве рабочей гипотезы рассматривать Лаптевоморский фланг хребта Гаккеля как связующее звено между континентальной рифтовой системой северной Евразии в глубоководным Арктическим бассейном [Чамов, Соколов, 2022].
В целом, полученные структурно-морфологические данные – наличие сбросовых террас, прогрессивное погружение дна и интенсивное поступление осадков, широкое развитие оползневых процессов свидетельствуют о высокой неотектонической активности Лаптевоморского фланга хребта Гаккеля.
Аутигенные карбонаты
Обнаружение аутигенных карбонатов в осадочном чехле Лаптевоморского фланга хребта Гаккеля имеет важное значение. Дело в том, что для донных отложений Северного Ледовитого океана характерно почти полное отсутствие карбонатов, что связано с низкими температурами и недонасыщенностью поровых вод относительно карбонатных фаз. Известны редкие находки аутигенных карбонатов, представленных преимущественно магнезиальными кальцитами и икаитами [Колесник и др., 2014; Кравчишина и др., 2017; Крылов и др., 2015; Kodina et al., 2003; Rogov et al., 2023; Ruban et al., 2022], а также сидеритами и родохрозитами [Logvina et al., 2018]. Аутигенные арагониты обнаружены во вмещающих перидотитах в северной части хребта Гаккеля, где их кристаллизация объясняется гидротермальными процессами [Eickmann et al., 2009].
Высокие значения δ18О (среднее = 4.3 ± 0.9‰) позволяют заключить, что диагенетические карбонаты хребта Гаккеля осаждались, преимущественно, в изотопном равновесии с придонной водой при температуре около 0оС. Величины δ13С в карбонатах варьируют от –23.5 до –37.3 VPDB, свидетельствуя, что в их образовании наряду с продуктами окисления метана принимали участие продукты окисления органического вещества и, возможно, бикарбонат, растворенный в морской воде. Широкие вариации отношений 87Sr/86Sr (0.70906‒0.70933) показывают, что карбонат-образующим флюидом была не только современная морская вода, но также диагенетические растворы, поступавшие из осадочного чехла совместно с метаном и продуктами окисления метана и органического вещества. Отрицательная корреляция 87Sr/86Sr и δ13С свидетельствует о наличии, по крайней мере, двух разных источников карбонат-образующих растворов.
ЗАКЛЮЧЕНИЕ
Результаты полевых и камеральных работ позволили получить ряд новых данных о строении Лаптевоморского фланга хребта Гаккеля. Основные из них сводятся к следующему.
БЛАГОДАРНОСТИ
Участники экспедиции выражают глубокую признательность экипажу ОИС “Янтарь” за прекрасную организацию экспедиционных работ, постоянную поддержку и теплую товарищескую атмосферу.
Авторы статьи выражают благодарность С.Г. Сколотневу и С.Ю. Соколову за ценные замечания и рекомендации, которые способствовали улучшению итогового варианта рукописи.
ИСТОЧНИКИ ФИНАНСИРОВАНИЯ
Работа выполнена в рамках госзаданий ВНИИОкеангеология, ГИН РАН и Всероссийского научно-исследовательского геологического института имени А.П. Карпинского.
КОНФЛИКТ ИНТЕРЕСОВ
Авторы данной работы заявляют, что у них нет конфликта интересов.
About the authors
D. V. Kaminsky
All-Russian Science Research Institute Okeangeologiya
Email: Nchamov@yandex.ru
Russian Federation, Angliysky prosp., 1, St. Petersburg, 190121
N. P. Chamov
Geological Institute, Russian Academy of Sciences
Author for correspondence.
Email: Nchamov@yandex.ru
Russian Federation, Pyzhevsky lane, 7, bld. 1, Moscow, 119017
D. M. Zhilin
LLC “Hydro-Si”
Email: Nchamov@yandex.ru
Russian Federation, Beloostrovskaya str., 20, liter b, St. Petersburg, 197342
A. A. Krylov
All-Russian Science Research Institute Okeangeologiya
Email: Nchamov@yandex.ru
Russian Federation, Angliysky prosp., 1, St. Petersburg, 190121
I. A. Neevin
Karpinsky All-Russian Science Research Geological Institute (VSEGEI)
Email: Nchamov@yandex.ru
Russian Federation, Sredny prosp. V.O., 74, St. Petersburg, 199106
M. I. Bujakaite
Geological Institute, Russian Academy of Sciences
Email: Nchamov@yandex.ru
Russian Federation, Pyzhevsky lane, 7, bld. 1, Moscow, 119017
K. E. Degtyarev
Geological Institute, Russian Academy of Sciences
Email: Nchamov@yandex.ru
Russian Federation, Pyzhevsky lane, 7, bld. 1, Moscow, 119017
A. S. Dubensky
Geological Institute, Russian Academy of Sciences
Email: Nchamov@yandex.ru
Russian Federation, Pyzhevsky lane, 7, bld. 1, Moscow, 119017
V. D. Kaminsky
All-Russian Science Research Institute Okeangeologiya
Email: Nchamov@yandex.ru
Russian Federation, Angliysky prosp., 1, St. Petersburg, 190121
E. A. Logvina
All-Russian Science Research Institute Okeangeologiya
Email: Nchamov@yandex.ru
Russian Federation, Angliysky prosp., 1, St. Petersburg, 190121
O. I. Okina
Geological Institute, Russian Academy of Sciences
Email: Nchamov@yandex.ru
Russian Federation, Pyzhevsky lane, 7, bld. 1, Moscow, 119017
P. B. Semenov
All-Russian Science Research Institute Okeangeologiya
Email: Nchamov@yandex.ru
Russian Federation, Angliysky prosp., 1, St. Petersburg, 190121
A. O. Kil
All-Russian Science Research Institute Okeangeologiya
Email: Nchamov@yandex.ru
Russian Federation, Angliysky prosp., 1, St. Petersburg, 190121
B. G. Pokrovsky
Geological Institute, Russian Academy of Sciences
Email: Nchamov@yandex.ru
Russian Federation, Pyzhevsky lane, 7, bld. 1, Moscow, 119017
T. Yu. Tolmacheva
Karpinsky All-Russian Science Research Geological Institute (VSEGEI)
Email: Nchamov@yandex.ru
Russian Federation, Sredny prosp. V.O., 74, St. Petersburg, 199106
References
- Арктический бассейн (геология и морфология) / Под ред. В.Д. Каминского, А.Л. Пискарева, В.А. Поселова. СПб.: ВНИИОкеангеология, 2017. 291 с.
- Аветисов Г.П., Гусева Ю.В. Глубинное строение района дельты Лена по сейсмологическим данным // Советская геология. 1991. № 4. С. 73‒81.
- Аветисов Г.П. Сейсмоактивные зоны Арктики. СПб.: ВНИИокеанология, 1996. 185 с.
- Грамберг И.С., Деменицкая Р.М., Секретов С.Б. Система рифтогенных грабенов шельфа моря Лаптевых как недостающее звено рифтового пояса хребта Гаккеля – Момского хребта // Докл. АН СССР 1990. Т. 311. № 3. С. 689‒694.
- Грачев А.Ф., Деменицкая Р.М., Карасик А.М. Проблемы связи Момского континентального рифта со структурой срединно-океанического хребта Гаккеля // Геофизические методы разведки в Арктике. Л.: НИИГА, 1973. Вып. 8. С. 56‒75.
- Дубинина Е.О., Мирошников А.Ю., Коссова С.А., Щука С.А. Модификация опресненных вод на шельфе моря Лаптевых: связь изотопных параметров и солености // Геохимия. 2019. Т. 64. № 1. С. 3–19.
- Имаев В.С., Имаева Л.П., Козьмин Б.М. Сейсмотектоника Якутии / Под ред. Г.С. Гусева. М.: ГЕОС, 2000. 226 с.
- Имаев В.С., Имаева Л.П., Козьмин Б.М. Океанические и континентальные рифты северо-восточной Азии и области их сочленения (сейсмотектонический анализ) // Литосфера. 2004. № 4. С. 44‒61.
- Колесник О.Н., Колесник А.Н., Покровский Б.Г. О находке аутигенного метанопроизводного карбоната в Чукотском море // Доклады Академии Наук. 2014. Т. 458. № 3. С. 330–332.
- Кравчишина М.Д., Леин А.Ю., Саввичев А.С. и др. Аутигенный Mg-кальцит на метановом полигоне в море Лаптевых // Океанология. 2017. Т. 57. № 1. С. 194–213.
- Крылов А.А., Логвина Е.А., Матвеева Т.В. и др. Икаит (СаСО3·Н2О) в донных отложениях моря Лаптевых и роль анаэробного окисления метана в процессе его формирования // Записки РМО. 2015. № 4. С. 61–75.
- Кузнецов А.Б., Семихатов М.А., Горохов И.М. Изотопный состав Sr в водах мирового океана, окраинных и внутренних морей: возможности и ограничения Sr-изотопной стратиграфии // Стратиграфия. Геол. корреляция. 2012. Т. 20. № 6. С. 3–19.
- Соколов С.Ю., Чамов Н.П., Хуторской М.Д., Силантьев С.А. Индикаторы интенсивности геодинамических процессов вдоль Атлантико-Арктической рифтовой системы // Геодинамика и тектонофизика. 2020. Т. 11. № 2. С. 302–319.
- Чамов Н.П. Литология палеогеновых вулканогенно-осадочных отложений п-ова Говена (юг Корякского нагорья) // Литология и полез. ископаемые. 1991. № 5. С. 79–94.
- Чамов Н.П., Соколов С.Ю. Рифтогенез в Арктике: процессы, направленность развития, генерация углеводородов // Литология и полез. ископаемые. 2022. № 2. С. 107–135.
- ANSS Earthquake Composite Catalog. 2014. http://quake.geo.berkeley.edu/anss/
- Eickmann B., Bach W., Rosner M., Peckmann J. Geochemical constraints on the modes of carbonate precipitation in peridotites from the Logatchev Hydrothermal Vent Field and Gakkel Ridge // Chemical Geology. 2009. V. 268. P. 97–106.
- Epstein S., Buchsbaum R., Lowenstam H.A., Urey H.C. Revised carbonate-water temperature scale // Geological Society of America Bulletin. 1953. V. 62. P. 417–426.
- Imfeld A., Ouellet A., Douglas P. et al. Molecular and stable isotope analysis (δ13C, δ2H) of sedimentary n-alkanes in the St. Lawrence Estuary and Gulf, Quebec, Canada: importance of even numbered n-alkanes in coastal systems // Organic Geochemistry. 2022. V. 164. P. 1–14.
- Jokat W., O’Connor J., Hauff F., Koppers A.P., Miggins D.P. Ultraslow Spreading and Volcanism at the Eastern end of Gakkel Ridge, Arctic Ocean // Geochem. Geophys. Geosyst. 2019. V. 20. P. 1‒19.
- Kodina L.A., Tokarev V.G., Vlasova L.N., Korobeinik G.S. Contribution of biogenic methane to ikaite formation in the Kara Sea: Evidence from the stable carbon isotope geochemistry / Eds R. Stein et al. // Siberian River run-off in the Kara Sea. Proc. in Marine Science. V. 6. Amsterdam: Elsevier, 2003. P. 349–374.
- Lein A.Yu., Makkaveev P.N., Savvichev A.S. et al. Transformation of suspended particulate matter into sediment in the Kara Sea in September of 2011 // Oceanology. 2013. V. 53(5). P. 570–606.
- Logvina E., Krylov A.A., Taldenkova E. et al. Mechanisms of Late Pleistocene authigenic Fe-Mn-carbonate formation at the Laptev Sea continental slope (Siberian Arctic) // Arktos. 2018. V. 4. P. 1–13.
- Rogov M., Ershova V., Gaina C., Vereshchagin O. et al. Glendonites throughout the Phanerozoic // Earth-Sci. Rev. 2023. V. 241. P. 1–32.
- Ruban A., Rudmin M., Mazurov A. et al. Cold-seep carbonates of the Laptev Sea continental slope: constraints from fluid sources and environment of formation // Chemical Geology. 2022. V. 610. P. 1–13.
Supplementary files








