Sorption-desorption of rare earth metal cations by ferromanganese crusts of Govorov’s guyote of the Magellanic Mountains of the Pacific Ocean
- Authors: Novikov G.V.1, Bogdanova O.Y.1, Lobus N.V.1, Rumyantseva A.O.2
-
Affiliations:
- Shirshov Institute of Oceanology RAS
- Institute of Geology of Ore Deposits, Petrography, Mineralogy and Geochemistry, Russian Academy of Sciences
- Issue: No 5 (2024)
- Pages: 603-620
- Section: Articles
- URL: https://journals.rcsi.science/0024-497X/article/view/268790
- DOI: https://doi.org/10.31857/S0024497X24050068
- EDN: https://elibrary.ru/YPIXVC
- ID: 268790
Cite item
Full Text
Abstract
The article presents the results of experimental studies on the sorption and desorption of rare earth metal (REM) cations by cobalt-rich ferromanganese crusts (CMC) of Govorov’s guyot. It has been established that the sorption of REM cations occurs on the ore minerals KMK – Fe-vernadite, vernadite, Mn-feroxygite, goethite. The crusts are characterized by a high exchange capacity – 1.78–3.57 mg-eq/g, which increases in a series: (Dy < Gd < Lu < Sm < Nd < Y, La < Eu) << Ce. The sorption of REM cations proceeds by an ion exchange equivalent irreversible mechanism. The exchange complex of ore minerals consists of Na+, K+, Ca2+, Mg2+ cations, which contribute 97‒98% to their total capacity. The crusts are characterized by the group sorption of REM cations from multicomponent aqueous solutions of metal salts. The selectivity of ore manganese and ferruginous minerals of crusts to REM cations is significantly higher than to the main cations of ocean water. From experimental data on the desorption of sorbed REM cations with NaCl solution, their irreversible absorption by ore minerals follows, and the strengthening of the chemical bond of sorbed REM cations with the main structural elements of these minerals over time. An important property of ore minerals, primarily manganese minerals, is their chemical and structural stability in aqueous solutions of electrolytes. This suggests the repeated use of ferromanganese crusts as sorbents of REM cations.
Full Text
Кобальтоносные железомарганцевые корки (КМК) распространены во всех океанах планеты Земля – Тихом, Индийском, Атлантическом и Северном Ледовитом [Батурин, 1993; Гайоты …, 1995; Железомарганцевые …, 1990; Кобальтобогатые ..., 2002; Мельников, 2005, 2018; Aplin, Cronan, 1985; Fukami et al., 2022; Hein, Koschinsky, 2014; Hein et al., 2012, 2017; Josso et al., 2021b; Koschinsky, Hein, 2017; Lee et al., 2019; Menendez, 2017; Park et al., 2023; Prakash et al., 2020; Schier et al., 2021; Yang et al., 2019 и др.]. Корки расположены на поверхности различных типов субстратов подводных гор и гайотов на глубинах от 700–900 до 6000 м, однако потенциально промышленные железомарганцевые корки-руды приурочены к батиметрическому интервалу 1000‒3500 м. Субстратами коренных пород гор являются эдафогенные брекчии, измененные базальты, вулканокластические породы, известняки (нередко фосфатизированные).
За последние 25‒30 лет значительно возросло количество публикаций по железомарганцевым коркам, которые рассматриваются как потенциальное минеральное сырье на такие стратегически важные металлы как Co, Ni, Mo, редкоземельные металлы (РЗМ), Y, Pt, содержания которых в корках значительно превосходят их аналоги в пелагических железомарганцевых конкрециях, низкотемпературных гидротермальных отложениях, глубоководных полиметаллических сульфидах, донных осадках из различных районов Мирового океана. Вместе с тем, в большинстве опубликованных работ в той или иной степени приводятся результаты сразу по нескольким аспектам изучения железомарганцевых корок: условиям залегания в месте отбора проб, распределению на вершинах и склонах гор и гайотов, морфологии, текстурно-структурным особенностям, минеральному составу, химическому составу в целом и распределению цветных, редких, редкоземельных металлов и платиноидов по разрезу корки, ее возрасту, механизмам образования корок и механизмам концентрирования в них катионов металлов, технологиям добычи и переработки и другим [Авдонин и др., 2014; Батурин, 1993; Гайоты …, 1995; Железомарганцевые …, 1990; Кобальтобогатые ..., 2002; Мельников, 2005, 2018; Успенская, Скорнякова, 1991; Bau et al., 2014; Burns, Burns, 1979; Cronan, 1992; Glasby, 2000; Halbach et al., 1981, 1989; Hein et al., 1997, 2000; de Matos et al., 2023; Park et al., 2023; Takahashi et al., 2007; Zhou et al., 2023].
Важнейшими направлениями исследований железомарганцевых корок являются процессы образования рудных минералов марганца и железа и механизмы концентрирования в них катионов металлов, в том числе, катионов редкоземельных металлов. Первому из упомянутых вопросов посвящено множество публикаций, основу которых составляют работы теоретической направленности, рассматривающие процесс железомарганцевого рудообразования в глобальном геологическом масштабе и времени [Андреев, 1994; Батурин, 1993; Богданов и др., 1990; Волков, 1980; Кронен, 1982; Мельников, 2005; Скорнякова, 1984; Условия …, 1987; Bau et al., 2014; Giovanoli, 1980; Glasby, 1976; Halbach, Puteanus, 1984; Halbach et al., 1981, 1989, 2017; Hein, Koschinsky, 2014 и др.]. В настоящее время считается, что рудные минералы корок, состоящие из гидратированного диоксида марганца и гидроксидов железа, осаждались из морской воды в виде первоначально коллоидных частиц в толще воды, на поверхности твердых субстратов подводных гор. При этом, скорость роста корок низкая и составляет не более 1‒5 мм в миллион лет.
Не менее актуальной задачей изучения железомарганцевых корок является вопрос установления механизмов концентрирования и форм нахождения ионов металлов в марганцевых и железистых минералах. Исходя из океанских условий, ионы металлов различной химической природы в исследуемых отложениях могут накапливаться: 1) соосаждением с Mn- и Fe-фазами, 2) за счет первоначального образования поверхностных комплексов с функциональными группами гидроксидов железа и гидратированного диоксида марганца с последующим включением в эти фазы, 3) за счет сорбции на образовавшихся минеральных частицах. Сорбционный механизм концентрирования ионов металлов рудными минералами ЖМО представляется наиболее вероятным и практически достижимым, тем более что геологически длительный процесс их формирования должен достаточно удовлетворительно коррелировать с кинетикой поглощения ионов металлов. Это теоретическое положение постулируется многими отечественными и зарубежными исследователями [Богданов и др., 1987; Волков, 1980; Кронен, 1982; Рой, 1986; Bau et al., 2014; Burns, Burns, 1975; Glasby, 1984; Halbach, 1986; Halbach et al., 1981; Hein, Koschinsky, 2014 и др.].
Несмотря на довольно оптимистичный вывод о сорбционном концентрировани катионов металлов, изучение ионообменных свойств корок относительно катионов редкоземельных металлов проводилось в достаточно ограниченном объеме и на синтетических Mn- и Fe-фазах – аналогах рудных минералов железомарганцевых корок [De Carlo, 1990; De Carlo, Koeppenkastor, 1990; De Carlo et al., 1998; Davranche et al., 2004, 2005, 2008; Giovanoli, 1980; Koeppenkastor, De Carlo, 1992, 1993; Ohta, Kawabe, 2000, 2001; Quinn et al., 2006а, 2006b, 2007; Tanaka et al., 2010]. Однако, следует отметить, что синтезированные соединения соответствовали мономинеральным фазам, состоящими из δ-MnO2 (вернадита), 7 Å Mn-фазы (бернессита), гетита (α-FeOOH) и гематита (Fe2O3), тогда как рудная компонента ЖМО представлена большим числом Mn- и Fe-минералов, находящихся в ультратонком срастании в различных сочетаниях и соотношениях. Проведенные исследования можно охарактеризовать как “качественный” эксперимент /установлен сам факт сорбционного концентрирования катионов редкоземельных металлов и определены две‒три сорбционные характеристики железомарганцевых корок.
Непосредственное изучение сорбционных свойств железомарганцевых корок относительно катионов редкоземельных металлов было проведено на образцах корок поднятия Маркус-Уэйк и гайота Коцебу Магеллановых гор Тихого океана [Новиков и др., 2019, 2023]. Установлены несколько сорбционных характеристик рудных минералов корок, из которых выделим основные: 1) катионы РЗМ растворов интенсивно обмениваются с катионами обменного комплекса рудных минералов корок (Na+, K+, Ca2+, Mg2+, Mn2+, Ni2+); 2) равновесная обменная емкость рудных минералов по катионам РЗМ составляет 1.67‒3.28 мг-экв/г и возрастает от Lu3+, Gd3+ к Ce3+; 3) поглощение катионов РЗМ протекает по ионообменному эквивалентному механизму, в случае с катионами Се3+ – по сверхэквивалентному механизму относительно катионов обменного комплекса рудных минералов; 4) поглощенные катионы РЗМ в составе рудных минералов могут находиться как в сорбированной, так и в химически связанной форме.
Целью настоящей работы являлось изучение сорбции катионов редкоземельных металлов на рудных минералах железомарганцевых корок гайота Говорова Магеллановых гор из растворов разного солевого состава и установление химической и структурной устойчивости этих минералов в растворах. Особая значимость исследований состоит в нахождении данного гайота в Российском Разведочном Районе по изучению кобальтоносных железомарганцевых корок.
МАТЕРИАЛ И МЕТОДЫ ИССЛЕДОВАНИЯ
Материалом для исследования являлись образцы гидрогенных кобальтоносных железомарганцевых корок – 08Д106, 08Д115, 08Д122, 08Д127-2, 08ДМТП02-3, отобранных с гайота Говорова Магеллановых гор Тихого океана. Подробное описание условий залегания, текстурно-структурных особенностей, минерального и химического состава данных корок приведено в работе [Novikov et al., 2021]. В настоящей статье приведем только основные химико-минералогические характеристики исследуемых корок, необходимые для объяснения полученных результатов сорбционных исследований.
Минеральный состав железомарганцевых корок в исходном состоянии и продуктах обменных реакций (катионных формах) изучен в сертифицированном отделе минералогии ВНИИ минерального сырья им. Н.М. Федоровского на рентгеновском дифрактометре Xʹ Pert Panalytical, Нидерланды, условия съемки: излучение CuKα, напряжение 50 kV, сила тока 40 А. В результате минералогических исследований установлено, что основными рудными минералами корок являются плохо окристаллизованные, плохо структурно упорядоченные Fe-вернадит и Mn-фероксигит и в меньшем количестве достаточно структурно упорядоченный вернадит. В виде примеси в образцах 08Д106 и 08Д115 присутствует асболан-бузерит, в образцах 08Д115 и 08МТП02-3 – бузерит-I. В сравнительно меньшем количестве по сравнению с Mn-фероксигитом в образцах 08Д106, 08Д115 и 08Д127-2 содержится гетит. Полученные данные хорошо согласуются с ранее опубликованными [Богданов и др., 1998; Железомарганцевые ..., 1990; Кобальтобогатые …, 2002; Мельников, 2005, 2018; Мельников, Плетнев, 2009; Мельников, Седышева, 2014; Новиков и др., 2014], что позволяет считать изученные корки типичными как для данного гайота, так и в целом для гайотов Магеллановых гор Тихого океана.
Результаты химического анализа (табл. 1) свидетельствуют, что содержание Fe в исследуемых образцах корок достаточно стабильно и изменяется в пределах 10.83–14.45 мас. %, содержание Mn находится в более широком интервале значений – 9.40–22.16 мас. %. При этом близкое содержание Mn наблюдается в образцах 08Д115 и 08Д127-2 и в образцах 08Д106 и 08МТП02-3. Практически одинаковое содержание Co, Ni, Cu и Zn отмечено в образцах 08Д115, 08Д127-2 и 08МТП 02-3, в образце 08Д106 оно существенно меньше. Наиболее стабильно в корках содержание Sr, Ba, Pb, Mg и K, что позволяет считать их практически постоянными величинами, тогда как содержание Na и Ca изменяется в широком диапазоне значений.
Таблица 1. Содержание катионов металлов в железомарганцевых корках гайота Говорова до и после сорбции катионов редкоземельных металлов
Катион Мn+ | Образцы | |||||||||||||||
08Д106 | 08Д115 | 08Д127–2 | 08МТП02–3 | |||||||||||||
до сорбции | после сорбции | коэффициент обогащения | обменная емкость, мг-экв/г | до сорбции | после сорбции | коэффициент обогащения | обменная емкость, мг-экв/г | до сорбции | после сорбии | коэффициент обогащения | обменная емкость, мг-экв/г | до сорбции | после сорбции | коэффициент обогащения | обменная емкость, мг-экв/г | |
Fe3+ ∑Mn* Mn2+ Co2+ Ni2+ Cu2+ Pb2+ Ba2+ Sr2+ Ca2+ Mg2+ Na+ K+ Y3+ La3+ Ce3+ Nd3+ Sm3+ Eu3+ Gd3+ Dy3+ Lu3+ | 14.45 13.45 0.28 0.34 0.26 0.078 0.12 0.12 0.12 2.10 0.86 1.41 0.39 141 224 746 175 33.7 8.8 40.1 35.1 2.9 | 66 972 109 750 161 728 106 385 114 160 121 148 104 075 111 269 130 409 | – – – – – – – – – – – – – 475 490 217 607 3388 13 767 2602 3179 44 968 | – – – – – – – – – – – – – 2.26 2.36 3.46 2.21 2.28 2.39 1.98 2.06 2.24 | 10.83 22.16 0.64 0.53 0.60 0.15 0.16 0.17 0.14 5.87 0.97 0.79 0.38 254 273 1227 176 31.6 8.2 39.2 37.1 3.4 | 64 377 100 493 149 257 108 485 106 542 115 244 105 382 103 558 127 385 | – – – – – – – – – – – – – 253 368 120 616 3372 14 054 2688 2791 37 466 | – – – – – – – – – – – – – 2.18 2.17 3.20 2.26 2.13 2.28 2.01 1.91 2.18 | 11.00 20.39 0.56 0.53 0.53 0.14 0.13 0.15 0.12 3.16 0.92 1.34 0.40 197 232 1017 164 30.6 8.0 37.1 34.2 3.1 | 66 310 105 022 166 755 102 669 108 760 115 615 100 129 96 646 126 013 | – – – – – – – – – – – – – 337 453 165 626 3554 14 452 2706 2826 40 650 | – – – – – – – – – – – – – 2.24 2.27 3.57 2.14 2.17 2.28 1.91 1.78 2.16 | 11.08 9.40 0.22 0.50 0.49 0.11 0.12 0.12 0.11 2.54 0.89 1.44 0.43 164 228 923 200 38.8 9.7 44.3 38.5 3.1 | 67 482 102 528 146 372 109 237 111 715 119 570 102 964 105 234 116 877 | – – – – – – – – – – – – – 412 450 160 546 2880 12 327 2324 2733 37 702 | – – – – – – – – – – – – – 2.28 2.17 3.13 2.28 2.23 2.36 1.96 1.94 2.00 |
Примечание. Содержания катионов с Fe по K даны в мас. %, остальных в г/т.
Проведение экспериментов по сорбционному концентрированию катионов редкоземельных металлов и иттрия проводились из одно- и многокомпонентных растворов. Изучение сорбции катионов РЗМ из концентрированных (однокомпонентных) растворов позволяет, в отсутствии влияния возможных конкурирующих катионов металлов (кроме Н+), определить максимальную равновесную статическую обменную емкость (поглотительную способность), состав обменного комплекса и реакционную способность катионов металлов рудных минералов железомарганцевых корок. В данных экспериментах использовались следующие растворы солей редкоземельных металлов: 0.5М Y(NO3)3‧8H2O; 0.5M LaCl3‧7H2O; 0.15М Ce2(SO4)3‧8H2O и 0.25М хлоридные растворы SmCl3, EuCl3 и LuCl3‧6H2O. Эксперименты проводились в соответствии с методическими рекомендациями, разработанными для изучения сорбционных свойств океанских железомарганцевых отложений [Новиков, 2005]. Условия их проведения были следующие: статический режим сорбции, время получения катионных форм железомарганцевых корок составляло 12‒14 сут при соотношении фаз (ж : т) = 100 и температуре растворов 22 ± 1оС, класс крупности корок 0.5‒0.25 мм. Сорбция катионов редкоземельных металлов из многокомпонентных солевых растворов с различными их концентрациями проводилась с целью определения емкостных и кинетических показателей при совместном их извлечении из таких растворов. Десорбция поглощенных катионов РЗМ осуществлялась следующим образом. В качестве элюентов использовали 0.45 М раствор NaCl (имитирующий в первом приближении состав океанской воды с соленостью 35‰ и не содержащий катионы тяжелых, редких, редкоземельных металлов) и 2 М раствор H2SO4; время взаимодействия фаз составляло 4 ч, температура растворов 22 ± 1оС, соотношение фаз (ж : т) = 100.
Определение содержаний катионов редкоземельных, тяжелых, щелочных и щелочно-земельных металлов в исходных железомарганцевых корках и в продуктах ионообменных реакций выполнено методами ИСП-АЭС и ИСП-МС с использованием спектрометров iCAP-6500 и Х-7 соответственно (Thermo Scientific, USA) в Аналитическом сертифицированном испытательном центре Института проблем технологии микроэлектроники и особо чистых материалов РАН. В качестве эталонов использован стандартный образец ООПЕ-604 (железомарганцевые корки). Концентрации перешедших из твердой фазы катионов щелочных, щелочноземельных и тяжелых металлов определяли из равновесных растворов.
РЕЗУЛЬТАТЫ ИССЛЕДОВАНИЙ
Cорбция катионов редкоземельных металлов из концентрированных растворов их солей
Взаимодействие растворов солей редкоземельных металлов с рудными минералами железомарганцевых корок гайота Говорова приводит к их интенсивному поглощению. Как видно из данных табл. 1, содержание всех катионов РЗМ в корках возрастает на несколько порядков. Наиболее значимые результаты наблюдаются для катионов Eu3+ и Lu3+, содержание которых возрастает от первых г/т до сотен тысяч г/т. Соответственно наибольшие коэффициенты обогащения корок также характерны для этих же катионов металлов (см. табл. 1).
Значения обменной емкости рудных минералов по каждому сорбированному катиону редкоземельного металла достаточно стабильны, близки между собой и составляют 1.78‒3.57 мг-экв/г (см. табл. 1, рис. 1). Следовательно, поглотительная способность корок не зависит от их расположения на гайоте, а определяется физико-химическими и кристаллохимическими свойствами слагающих эти корки рудных минералов. Исходя из полученных значений емкости рудных минералов из корок гайота Говорова, составлен следующий ряд ее возрастания:
(Dy < Gd < Lu < Sm < Nd < Y, La < Eu) << Ce,
из которого видно, что катионы редкоземельных металлов можно подразделить на две группы: первая состоит практически из всех РЗМ (перечислены в скобках), вторая – катионы Се3+. Наименьшей емкостью рудные минералы корок обладают по катионам Dy3+, Gd3+, Lu3+, максимальной емкостью – по катионам Се3+. Остальные катионы РЗМ могут меняться местами (если рассматривать отдельно для каждого образца) из-за близких величин обменной емкости рудных минералов, что не имеет принципиального значения. Кроме того, не отмечается каких-либо различий в поглотительной способности рудных минералов корок в отношении легких (La3+, Nd3+) и тяжелых (Dy3+, Lu3+) катионов редкоземельных металлов.
Рис. 1. Обменная емкость рудных минералов корок гайота Говорова по катионам редкоземельных металлов.
Сорбция всех катионов редкоземельных металлов корками в каждом образце сопровождается интенсивным извлечением из них катионов Na+, K+, Ca2+, Mg2+, которые и составляют обменный комплекс рудных минералов, слагающих корки (табл. 2), показано на примере образцов 08Д106, 08Д127-2). Вклад перечисленных катионов металлов в емкость рудных минералов составляет 97.5–99.0%. Наибольшая доля в емкости (в мг-экв/г) рудных минералов принадлежит катионам Na+ и Са2+. Из катионов тяжелых (Со2+, Ni2+, Cu2+, Mn2+, Sr2+, Zn2+, Pb2+, Ba2+) металлов, которые входят в рудные минералы корок, в растворы солей редкоземельных металлов переходят в основном катионы Mn2+ и Ni2+, особенно при сорбции катионов Се3+, однако их суммарная доля в емкости рудных минералов не превышает 1.0–2.5%. Из полученных данных следует, что наибольшей реакционной способностью в рудных минералах корок обладают катионы щелочных и щелочно-земельных металлов, наименьшей – катионы тяжелых металлов:
Co2+ < Cu2+ < Ni2+ ≈ ≈ Mn2+ < K+ < Mg2+ < Na+ ≈ Ca2+.
Таблица 2. Содержание (мас. %) элементов в железомарганцевых корках гайота Говорова после сорбции катионов РЗМ
Элемент | Исходные корки | Катионные формы в корках | |||||
Y | La | Се | Sm | Eu | Lu | ||
образец 08Д106 | |||||||
Ca | 2.10 | 0.34 | 0.38 | 0.33 | 0.48 | 0.36 | 0.25 |
Mg | 0.86 | 0.17 | 0.15 | 0.12 | 0.13 | 0.17 | 0.14 |
Na | 1.41 | 0.11 | 0.022 | 0.37 | 0.021 | 0.09 | 0.018 |
K | 0.40 | 0.12 | 0.072 | 0.12 | 0.061 | 0.11 | 0.066 |
Y | 0.014 | 6.70 | 0.012 | 0.014 | 0.013 | 0.012 | 0.014 |
La | 0.022 | 0.020 | 10.98 | 0.020 | 0.021 | 0.019 | 0.020 |
Ce | 0.075 | 0.072 | 0.071 | 16.17 | 0.074 | 0.071 | 0.075 |
Sm | 0.0033 | 0.0030 | 0.0030 | 0.076 | 11.41 | 0.0032 | 0.0031 |
Eu | 0.00088 | 0.00085 | 0.00083 | 0.00085 | 0.00085 | 12.11 | 0.00086 |
La | 0.0003 | 0.00027 | 0.0003 | 0.00028 | 0.0003 | 0.0002 | 13.04 |
образец 08Д127–2 | |||||||
Ca | 3.16 | 1.84 | 1.19 | 1.65 | 1.30 | 1.35 | 1.36 |
Mg | 0.92 | 0.24 | 0.22 | 0.17 | 0.22 | 0.22 | 0.19 |
Na | 1.35 | 0.11 | 0.041 | 0.59 | 0.045 | 0.10 | 0.053 |
K | 0.40 | 0.15 | 0.094 | 0.14 | 0.09 | 0.14 | 0.095 |
Y | 0.0197 | 6.63 | 0.019 | 0.0188 | 0.0194 | 0.0192 | 0.0195 |
La | 0.023 | 0.023 | 10.50 | 0.021 | 0.022 | 0.022 | 0.021 |
Ce | 0.102 | 0.0997 | 0.100 | 16.68 | 0.100 | 0.098 | 0.097 |
Sm | 0.0030 | 0.0030 | 0.0028 | 0.0026 | 10.87 | 0.0030 | 0.0027 |
Eu | 0.0008 | 0.0008 | 0.0008 | 0.0008 | 0.0008 | 11.56 | 0.0008 |
Lu | 0.0003 | 0.00027 | 0.00028 | 0.0003 | 0.00027 | 0.00028 | 12.60 |
Сорбция катионов редкоземельных металлов из многокомпонентных водно-солевых растворов
Эффективность любого сорбента, в том числе и природного, оценивается по результатам селективного извлечения соответствующих катионов металлов из многокомпонентных солевых растворов. Для решения данной задачи были приготовлены модельные растворы разного состава: из шламовых и рудничных вод двух предприятий Дальнего Востока и океанской воды.
Модельный раствор шламовых вод хвостохранилищ Кавалеровского района (Дальний Восток). Состав данного раствора содержал легкие, средние и тяжелые катионы редкоземельных металлов – La3+, Се3+, Nd3+, Sm3+, Eu3+, Gd3+, Dy3+ и Lu3+, концентрации которых приведены в табл. 3. Концентрации катионов Со2+, Ni2+ и Cu2+ в этом же растворе составляли соответственно 20.4, 10.1 и 44.0 мкг/л. В течение всего времени сорбции катионов редкоземельных металлов проводился контроль рН растворов, значения которых приведены в табл. 4. Эксперименты по сорбции катионов редкоземельных металлов проводились на образцах корок в статическом режиме при интенсивном перемешивании фаз и их соотношении равном 125.
Таблица 3. Состав модельных растворов шламовых вод хвостохранилищ Кавалеровского и Дальнегорского районов (Дальний Восток)
La | Ce | Pr | Nd | Sm | Eu | Gd | Tb | Dy | Ho | Er | Yb | Lu | Ca | Mg | Na | K |
мкг/л | мг/л | |||||||||||||||
Кавалеровский район | ||||||||||||||||
13.8 | 28.1 | – | 16.8 | 0.50 | 0.44 | 0.61 | – | 0.44 | – | – | – | 0.23 | 50 | 5.0 | 5.0 | 1.0 |
Дальнегорский район | ||||||||||||||||
263 | 563 | 0.37 | 371 | 124 | 59.1 | 110 | 1.10 | 124 | 0.20 | 0.126 | 1.10 | 35 | 50 | 5.0 | 5.0 | 1.0 |
Таблица 4. Значения рН модельных растворов шламовых вод хвостохранилищ Кавалеровского и Дальнегорского района в течение времени сорбции катионов РЗМ
Исходный раствор | Время сорбции | |||||
15 | 30 | 60 | 3 | 6 | 1 | |
мин | ч | сут | ||||
Шламовые воды Кавалеровского района | ||||||
6.25 | 6.50 | 7.25 | 6.65 | 6.72 | 6.82 | 6.85 |
Шламовые воды Дальнегорского района | ||||||
6.53 | 6.85 | 7.15 | 6.95 | 7.00 | 7.12 | 7.10 |
Сорбция катионов редкоземельных металлов на корках гайота Говорова характеризуется как общими тенденциями, так и своими особенностями. К первым относятся два аспекта. Во-первых, с первых же минут взаимодействия корок с модельными растворами шахтных вод осуществляется групповая сорбция всех катионов редкоземельных и тяжелых металлов (табл. 5). Во-вторых, результаты сорбции катионов редкоземельных металлов свидетельствуют о высоком их извлечении из раствора: от >80 до 100% – в интервале времени от 1–3 до 6 ч взаимодействия фаз. Особенности процесса сорбции катионов редкоземельных металлов из модельных растворов шахтных вод Кавалеровского и Дальнегорского районов рассмотрим отдельно на корках каждого образца.
Таблица 5. Степень извлечения (%) катионов редкоземельных и тяжелых металлов из модельного раствора шламовых вод хвостохранилищ Кавалеровского района железомарганцевыми корками гайота Говорова
Время сорб- ции | Сорбируемые катионы металлов (РЗМ – M3+; Co, Ni, Cu – M2+) | ||||||||||
La | Ce | Nd | Sm | Eu | Gd | Dy | Lu | Co | Ni | Cu | |
образец 08Д106 | |||||||||||
15 мин 30 мин 1 ч 3 ч 6 ч 1 сут | 87.7 89.9 99.3 99.3 97.8 99.3 | 81.9 64.8 99.3 99.3 98.6 99.3 | 89.9 91.6 99.4 99.4 98.2 98.8 | 40.0 48.0 100 100 100 100 | 77.3 81.3 98.6 96.8 96.1 97.7 | 77.7 86.3 98.0 96.9 92.8 96.4 | 78.0 85.7 96.3 97.3 94.6 95.7 | 87.0 82.6 98.3 98.3 97.0 98.3 | 68.6 92.2 98.5 98.2 97.5 97.8 | 48.4 28.3 90.2 92.0 90.2 92.9 | 81.6 86.3 97.7 97.7 95.7 97.7 |
образец 08Д115 | |||||||||||
15 мин 30 мин 1 ч 3 ч 6 ч 1 сут | 76.8 97.8 98.5 97.8 99.3 98.5 | 65.8 96.8 98.6 98.2 99.3 98.6 | 81.0 98.2 98.2 98.2 98.8 98.8 | 78.4 100 100 100 100 100 | 73.6 81.8 95.9 97.8 98.0 90.5 | 79.5 90.1 93.8 92.3 96.4 94.8 | 84.7 88.6 92.0 91.0 96.0 93.4 | 73.9 95.6 96.5 94.8 98.3 97.4 | 86.8 97.5 97.5 98.3 98.7 98.4 | 55.8 82.1 93.2 93.2 94.7 95.6 | 73.2 95.2 95.7 95.5 97.7 97.3 |
образец 08Д127-2 | |||||||||||
15 мин 30 мин 1 ч 3 ч 6 ч 1 сут | 97.2 98.5 94.9 97.1 98.5 98.5 | 95.7 96.8 91.5 97.5 98.9 98.6 | 97.9 98.8 94.5 97.0 98.2 98.8 | 86.6 100 80.0 80.0 100 100 | 82.3 84.1 87.0 85.7 97.0 97.7 | 86.4 95.1 77.0 86.2 93.8 95.6 | 84.0 93.2 72.3 83.6 92.7 94.5 | 96.5 100.0 89.6 93.9 97.4 97.8 | 94.1 97.5 93.6 95.6 97.8 98.1 | 59.4 75.2 73.2 81.2 90.1 93.0 | 94.1 97.0 89.9 94.3 96.6 97.5 |
образец 08МТП02-3 | |||||||||||
15 мин 30 мин 1 ч 3 ч 6 ч 1 сут | 94.2 95.6 92.0 98.5 98.5 99.3 | 91,1 92.5 93.2 98.9 98.9 99.3 | 95.2 96.4 91.6 98.2 98.8 99.4 | 60.0 80.0 60.0 100 100 100 | 86.3 86.3 86.3 95.7 97.3 99.3 | 68.8 77.0 66.2 93.7 95.6 96.7 | 61.3 72.7 58.4 93.3 94.5 96.1 | 95.6 95.6 84.8 95.6 97.8 98.7 | 90.7 91.2 83.8 99.9 99.9 99.9 | 30.7 40.0 45.5 90.1 91.1 99.9 | 92.7 86.1 86.8 96.3 97.2 98.0 |
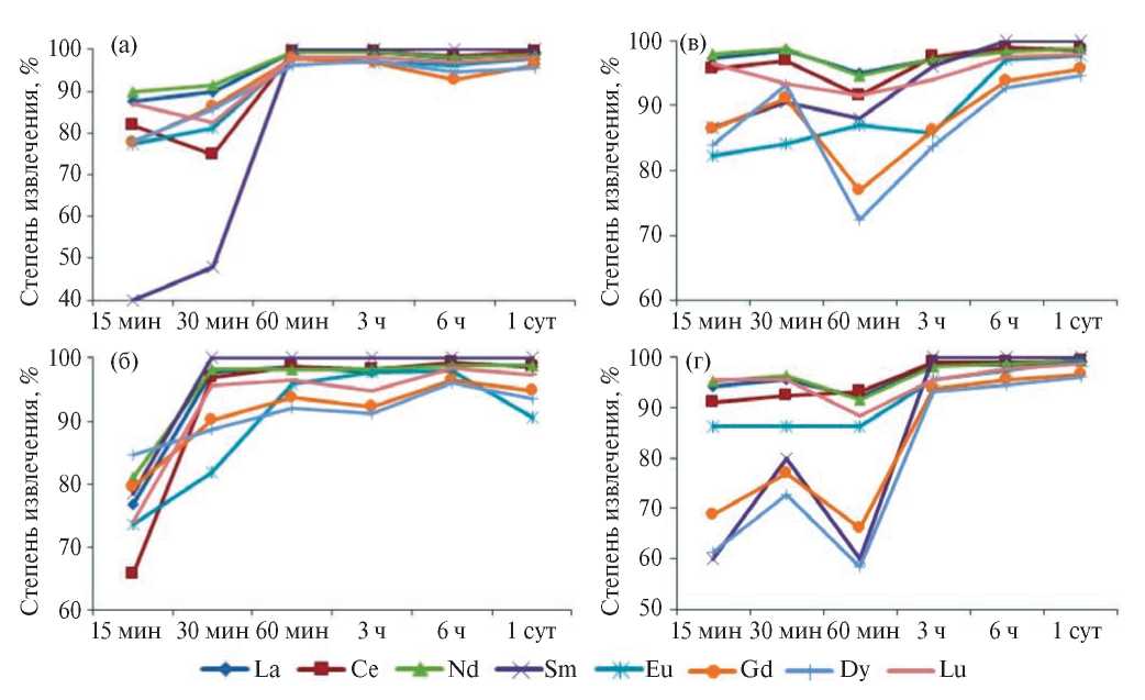
Сорбция катионов РЗМ на образцах 08Д106 и 08Д115 характеризуется постоянным, достаточно планомерным увеличением их извлечения из раствора (рис. 2а, 2б), тогда как на двух других образцах корок поглощение катионов Gd3+, Dy3+ и Sm3+ после первого часа сорбции резко снижается до значений равных (обр. 08Д127-2) или меньших (обр. 08МТП02-3) чем за 15 мин сорбции (см. рис. 2в, 2 г). Затем извлечение вновь резко возрастает уже до предельных (>95%) значений. Для остальных катионов редкоземельных металлов данный эффект незначителен. Необычно ведут себя катионы Sm3+, полное (100%) извлечение которых на образцах корок достигается за разное время сорбции: на образцах 08Д115 и 08Д127-2 – за 30 мин, на образце 08Д106 за 60 мин, на образце 08МТП02-3 – за 3 ч и остается постоянным в течение 1 сут (см. табл. 5). Исключение составляет образец 08Д127-2, на котором сорбция катионов Sm3+ составляет 80% в интервале времени 30 мин–6 ч. В то же время, самая низкая скорость сорбции катионов Sm3+ отмечается в образце 08Д106 – за первые 30 мин их извлечение из раствора составляет не более 50% (см. рис. 2а).
Рис. 2. Извлечение катионов РЗМ из модельного раствора шламовых вод хвостохранилища Кавалеровского района рудными минералами корок гайота Говорова в зависимости от времени их сорбции. а – ст. 08Д106, б – ст. 08Д115, в – ст. 08Д127-2, г – ст. 08МТП02-3.
Кинетической особенностью процесса сорбции для изученных корок, кроме образца 08Д106, является время, при котором сначала (30 мин) отмечается максимальное извлечение катионов РЗМ из раствора, затем (60 мин) в большей или меньшей степени его уменьшение. Объяснение данного эффекта вытекает из анализа двух характеристик – рН и концентраций катионов металлов в растворе. Контроль значений рН растворов в течение всего времени экспериментов показал, что разница значений после соответствующего времени сорбции (15, 30 мин и т.д.) на каждой из корок отличалась не более чем на 0.05–0.1 единицы. При этом было установлено, что после 30 мин сорбции катионов РЗМ рН раствора увеличился на 1.0 относительного исходной величины – с 6.25 до 7.25, после 60 мин он снизился до 6.65 и в конце эксперимента (1 сут) составил 6.85 (см. табл. 4). Вместе с тем, повышению рН раствора до 7.25 соответствует максимальное выщелачивание катионов обменного комплекса рудных минералов корок, что подтверждается увеличением их концентраций в растворе. Ранее [Новиков, 1998], при изучении кинетики сорбции катионов тяжелых металлов на железомарганцевых корках подобного минерального состава, был получен аналогичный результат. Следовательно, можно сделать еще один важный вывод – селективность рудных минералов корок к катионам редкоземельных металлов более проявлена в значительно большей степени, чем к катионам Na+, K+, Ca2+ и Mg2+ раствора, и хотя уровень концентрации последних на 2‒3 порядка выше, они, тем не менее, не являются конкурирующими по отношению к катионам РЗМ. Кроме того, при наличии в растворах катионов тяжелых металлов в концентрациях, сопоставимых с катионами редкоземельных металлов, сорбция РЗМ на рудных минералах корок остается такой же интенсивной.
Модельный раствор шламовых вод хвостохранилищ Дальнегорского района (Дальний Восток)
Данный раствор характеризуется увеличением концентраций La3+, Ce3+, Nd3+ в среднем в 20 раз и Sm3+, Eu3+, Gd3+, Dy3+ и Lu3+ – на 3 порядка величины по сравнению с аналогичным раствором шламовых вод хвостохранилища Кавалеровского района, а также присутствием значимых концентраций катионов Pr3+, Tb3+, Ho3+, Er3+, Yb3+ (см. табл. 3).
Процесс сорбции катионов редкоземельных металлов из данного раствора рудными минералами корок протекает в целом так же, как и рассмотренный выше вариант, и тоже характеризуется групповой сорбцией. Однако главным отличием процесса сорбции от предыдущего варианта являются высокие скорости поглощения катионов РЗМ, приводящие к практически полному их извлечению (99.n–100%) уже за 15 мин взаимодействия фаз и остающиеся такими же высокими на протяжении всего времени эксперимента (табл. 6).
Таблица 6. Степень извлечения (%) катионов редкоземельных металлов из модельного раствора шламовых вод хвостохранилищ Дальнегорского района железомарганцевыми корками гайота Говорова
Время сорб- ции | Сорбируемые катионы металлов, М3+ | |||||||||||||||||
La | Ce | Pr | Nd | Sm | Eu | Gd | Tb | Dy | Yb | Ho | Er | Lu | ||||||
образец 08Д106 | ||||||||||||||||||
15 мин 30 мин 1 ч 3 ч 6 ч 1 сут | 99.5 99.9 99.7 99.9 99.9 99.5 | 99.5 99.9 99.6 99.9 99.9 99.4 | 59.5 97.3 89.2 100 100 87.6 | 99.7 99.9 99.7 99.9 99.9 99.6 | 99.8 99.9 99.8 99.9 99.9 99.6 | 99.8 99.8 99.7 100 100 99.7 | 99.6 99.9 99.7 99.9 100 99.6 | 97.3 100 99.1 100 100 98.2 | 99.7 99.9 99.7 99.9 100 99.7 | 94.0 99.5 98.6 100 100 95.8 | 82.5 100 96.0 100 100 88.0 | 20.6 100 87.7 100 100 86.0 | 99.7 99.9 99.7 99.9 100 99.7 | |||||
образец 08Д115 | ||||||||||||||||||
15 мин 30 мин 1 ч 3 ч 6 ч 1 сут | 99.9 97.4 99.5 99.8 100 99.8 | 99.9 97.2 99.4 99.9 99.9 99.8 | 94.6 64.8 83.7 94.6 100 91.9 | 99.9 97.4 99.6 99.9 99.9 99.9 | 99.9 97.6 99.6 99.9 100 99.9 | 99.9 97.6 99.6 99.9 100 99.9 | 99.9 97.4 99.5 99.8 100 99.9 | 100 95.4 99.1 100 100 99.1 | 99.9 97.4 99.5 99.8 100 99.9 | 99.1 93.0 97.6 99.2 100 99.1 | 100 85.0 93.5 100 100 100 | 86.5 38.1 69.9 90.5 100 87.3 | 99.9 97.5 99.5 99.7 100 99.9 | |||||
образец 08Д127-2 | ||||||||||||||||||
15 мин 30 мин 1 ч 3 ч 6 ч 1 сут | 99.9 99.9 99.5 99.9 100 99.8 | 99.9 99.9 99.5 99.9 99.9 99.9 | 97.3 100 86.5 100 100 97.3 | 99.9 99.9 99.5 99.9 99.9 99.9 | 99.9 99.9 99.6 99.9 100 99.9 | 99.1 99.9 99.6 99.9 100 99.3 | 99.9 99.9 99.5 99.9 100 99.6 | 100 100 99.1 100 100 100 | 100 100 95.8 100 100 100 | 99.4 100 97.6 100 100 99.5 | 100 100 95.8 100 100 100 | 100 100 82.1 100 100 100 | 100 99..9 99.6 99.9 100 99.9 | |||||
образец 08МТП02-3 | ||||||||||||||||||
15 мин 30 мин 1 ч 3 ч 6 ч 1 сут | 99.9 99.8 99.7 98.7 99.9 99.8 | 99.9 99.8 99.7 99.9 99.9 99.7 | 97.3 97.3 91.9 100 100 96.5 | 99.9 99.8 99.7 99.9 99.9 99.8 | 99.9 99.9 99.8 99.9 100 99.8 | 100 99.9 99.8 99.9 100 99.8 | 99.9 99.8 99.7 99.9 99.9 99.8 | 100 100 99.0 100 100 99.0 | 99.9 99.9 99.8 99.8 99.9 99.8 | 100 99.5 98.6 100 100 98.2 | 100 100 100 100 100 95.3 | 100 100 84.9 100 100 93.0 | 100 99.9 99.8 99.7 100 98.8 | |||||
В отличие от других катионов редкоземельных металлов, несколько по-иному сорбируются катионы Pr3+, Ho3+ и Er3+ (см. табл. 6). При этом отмечается общая тенденция: после 1 сут сорбции извлечение катионов этих металлов снижается по сравнению с их извлечения после 6 ч, причем в наибольшей степени это характерно для Er3+ и для образцов 08Д106 и 08Д115.
Анализ изменений рН раствора за соответствующее время сорбции показывает, что, так же, как и в случае сорбции катионов РЗМ из предыдущего раствора, максимальное значение рН (7.15) достигается за 30 мин взаимодействия фаз (см. табл. 4). Однако увеличение рН раствора на величину 0.62, в отличие от предыдущего варианта сорбции, не сказывается на извлечении катионов РЗМ из подобного концентрированного раствора.
Сорбция катионов РЗМ из океанской воды
Приготовленный модельный раствор океанской воды имитировал ее состав на глубине ~2200 м при сохранении соотношения между катионами РЗМ. Концентрации катионов La3+, Ce3+ и Y3+ в таком растворе составляло 3.50, 3.30 и 14.22 мкг/л соответственно. Эксперименты проведены на корках образцов 08Д106 и 08Д127-2.
С первых же минут взаимодействия фаз и в течение всего времени эксперимента осуществляется групповая сорбция катионов РЗМ рудными минералами корок (рис. 3). За первые 30 мин сорбции наблюдается резкое уменьшение концентраций катионов La3+, Y3+ и Ce3+ в растворе – степень извлечения первых двух катионов металлов составляет 93.4–96.0%, катионов Се3+ – 87.7–89.5%. При дальнейшем взаимодействии фаз происходит снижение скорости сорбции всех катионов РЗМ, но в интервале от 3 до 6 ч достигается максимальное их поглощение – степень извлечения составляет 97.3–99.3%. Сорбция катионов редкоземельных металлов рудными минералами корок после 1 и 3 сут остается практически на том же высоком уровне, что и за 6 ч (см. рис. 3).
Рис. 3. Степень извлечения катионов редкоземельных металлов из модельного раствора океанской воды рудными минералами корок гайота Говорова (а – ст. 08Д106, б – ст. 08Д127-2).
Таким образом, результаты проведенных экспериментов свидетельствуют о возможном использовании железомарганцевых корок гайота Говорова Магеллановых гор в качестве сорбента катионов редкоземельных металлов для извлечения их из растворов сложного солевого состава. Важными итогами проведенных экспериментов являются два вывода: 1) рудные минералы железомарганцевых корок проявляют высокую селективность к катионам редкоземельных металлов; 2) установлено отсутствие влияния основных фоновых компонентов различных растворов – катионов щелочных и щелочно-земельных металлов на процесс сорбции катионов редкоземельных металлов.
Десорбция сорбированных катионов редкоземельных металлов из рудных минералов корок
Полученные в результате проведенных экспериментов данные позволяют оценить прочность химической связи сорбированных катионов металлов с основными катионами металлов рудных минералов корок при различных значениях рН растворов.
Результаты исследований показывают, что процесс элюирования сорбированных катионов редкоземельных металлов из рудных минералов корок гайота Говорова протекает одинаковым образом для каждого из элюентов, но по-разному в зависимости от его типа.
Взаимодействие 0.45 М раствора NaCl (pH ~7.45) с катионными формами рудных минералов всех образцов корок в интервале 4 ч – 7 сут приводит к незначительному извлечению из них сорбированных катионов редкоземельных металлов, которое не превышает 5% (табл. 7). При этом в наименьшей степени извлекаются катионы Ce3+ (2.37–2.76%, среднее 2.52%), в максимальной степени – катионы Dy3+ (4.48–4.95%, среднее 4.71%). Начиная с третьей недели и до конца эксперимента (1 месяц), для катионов РЗМ (М3+), таких как Ce, La, Nd, Y и Eu наблюдается отчетливая тенденция уменьшения их извлечения из рудных минералов, которая проявляется в максимальной степени для Ce3+ – на 18.4% и минимально для Y3+ – на 13.6% (рис. 4). Для остальных катионов РЗМ (М3+) – Lu, Eu, Gd, Sm и Dy – степень извлечения остается практически на том же уровне, что и при 4 ч взаимодействия фаз (см. рис. 4). Исходя из величин извлечения сорбированных катионов РЗМ, ряд их реакционной способности выглядит следующим образом:
Ce < La < Nd < Y < Eu < Lu < Gd < Sm < Dy.
Рис. 4. Степень извлечения сорбированных катионов редкоземельных металлов из катионных форм рудных минералов корок в зависимости от времени взаимодействия фаз (по средним значениям для всех образцов корок).
Таблица 7. Извлечение (в %) сорбированных катионов редкоземельных металлов из рудных минералов корок гайота Говорова
№ образца | Сорбированные катионы РЗМ (М3+) | ||||||||
Y | La | Ce | |||||||
1 | 2 | 3 | 1 | 2 | 3 | 1 | 2 | 3 | |
08Д106 | 6.69 | 3.54 | 98.36 | 10.97 | 3.06 | 97.82 | 14.91 | 2.76 | 62.04 |
08Д115 | 6.44 | 3.38 | 97.98 | 10.05 | 2.88 | 98.01 | 14.93 | 2.37 | 62.69 |
08Д127-2 | 6.63 | 3.17 | 98.04 | 10.50 | 2.77 | 97.40 | 16.68 | 2.44 | 68.11 |
08МТП02-3 | 6.75 | 3.44 | 97.93 | 10.25 | 2.94 | 97.56 | 14.63 | 2.52 | 62.88 |
Среднее по коркам, % | 3.38 | 98.08 | 2.91 | 97.70 | 2.52 | 63.93 | |||
№ образца | Сорбированные катионы РЗМ (М3+) | ||||||||
Nd | Sm | Eu | |||||||
1 | 2 | 3 | 1 | 2 | 3 | 1 | 2 | 3 | |
08Д106 | 10.63 | 3.25 | 97.86 | 11.41 | 4.36 | 98.22 | 1211 | 3.55 | 97.90 |
08Д115 | 10.85 | 3.12 | 97.97 | 10.65 | 4.13 | 98.26 | 11.52 | 3.42 | 97.82 |
08Д127-2 | 10.27 | 3.22 | 97.66 | 10.87 | 4.28 | 98.06 | 11.56 | 3.28 | 97.77 |
08МТП02-3 | 10.92 | 3.37 | 97.62 | 11.17 | 4.45 | 98.16 | 11.96 | 3.52 | 97.85 |
Среднее по коркам, % | 3.24 | 97.78 | 4.30 | 98.17 | 3.44 | 97.83 | |||
№ образца | Сорбированные катионы РЗМ (М3+) | ||||||||
Gd | Dy | Lu | |||||||
1 | 2 | 3 | 1 | 2 | 3 | 1 | 2 | 3 | |
08Д106 | 10.41 | 3.68 | 98.37 | 11.13 | 4.53 | 98.35 | 13.04 | 3.52 | 97.97 |
08Д115 | 10.54 | 3.52 | 98.20 | 10.36 | 4.48 | 97.97 | 12.74 | 3.34 | 97.49 |
08Д127-2 | 10.01 | 3.45 | 97.90 | 9.66 | 4.88 | 97.93 | 12.60 | 3.24 | 97.66 |
08МТП02-3 | 10.30 | 3.57 | 97.77 | 10.52 | 4.95 | 98.19 | 11.69 | 3.46 | 98.03 |
Среднее по коркам, % | 3.55 | 98.06 | 4.71 | 98.11 | 3.40 | 97.80 | |||
Примечание. 1 содержание в катионной форме, мас. % (см. табл. 3); 2 десорбция 0.45 М раствором NaCl; 3 десорбция 2 М раствором H2SO4.
Совершенно иной характер извлечения катионов редкоземельных металлов из рудных минералов всех образцов корок наблюдается при взаимодействии последних с 2 М раствором H2SO4 (pH <1). При такой обработке все сорбированные катионы РЗМ, кроме катионов Ce3+, извлекаются из рудных минералов корок практически полностью – степень извлечения составляет более 97.70% (см. табл. 7). В отличие от остальных катионов редкоземельных металлов, десорбция катионов Се3+ значительно меньше – степень извлечения находится в пределах 62.04–68.11%, составляя в среднем 63.93% (см. табл. 7). На основании величин извлечения сорбированных катионов РЗМ из рудных минералов в кислой среде, их реакционная способность возрастает в следующем ряду:
Ce < La < Nd < Lu < Eu < Gd < Y < Dy < Sm.
Полученные данные по процессу элюирования сорбированных катионов редкоземельных металлов позволяют считать, что протекающие процессы идут по единому механизму, а катионы РЗМ занимают доступные для протекания химических реакций позиции в структуре рудных минералов корок.
Структурная устойчивость рудных минералов железомарганцевых корок в водных растворах электролитов
Для оценки данной характеристики корок были изучены продукты ионообменных реакций с участием катионов РЗМ и элюирования этих катионов металлов из рудных минералов корок.
После взаимодействия корок с одно- и многокомпонентными растворами солей редкоземельных металлов, с океанской водой и с 0.45 М раствором NaCl (т.е. растворов с рН > 6), рудные минералы железа гетит и фероксигит остаются структурно устойчивыми. В продуктах сернокислотной обработки (2М раствором H2SO4) рудных минералов корок гетит сохраняется полностью, тогда как количество фероксигита уменьшается относительно его содержания в исходных образцах.
Результаты исследований этих же продуктов в отношении основных марганцевых минералов вернадита, Fe-вернадита – показали, что они остаются устойчивыми во всех водных растворах электролитов в диапазоне 1 < рН < 7.5, тогда как бузерит-I и асболан-бузерит-I в кислых растворах трансформируются соответственно в бернессит и асболан-бернессит. Однако данный фазовый переход не отражается на процессах десорбции катионов редкоземельных металлов из рудных марганцевых минералов корок.
Из результатов рентгенофазового анализа катионных форм корок следует еще один важный вывод. Ни один из сорбированных катионов редкоземельных металлов не образует самостоятельной фазы в составе корок. Следовательно, поглощение катионов РЗМ протекает только на поверхности и в объеме марганцевых и железистых минералов корок.
Химическая устойчивость рудных минералов железомарганцевых корок в водных растворах электролитов
Данная характеристика является важным ионообменным параметром, позволяющим оценить устойчивость рудных минералов корок в растворах разного состава и рН. По окончании каждого изученного процесса – сорбции катионов редкоземельных металлов на корках, а затем десорбции их из корок – проводился химический анализ по определению содержания Fe и Mn в продуктах соответствующих реакций. Результаты исследований, свидетельствующие об идентичном характере протекающих процессов, позволяют рассмотреть данную характеристику корок в обобщенном виде.
В процессах сорбции катионов редкоземельных металлов из растворов различного солевого состава с рН > 6, катионы Fe(III) из корок не выщелачиваются, т.е. не проявляют реакционную способность, и их содержание в продуктах ионообменных реакций остается практически таким же, что и в исходных корках (см. табл. 1). Это позволяет считать минералы железа фероксигит и гетит химически устойчивыми в слабокислых и слабощелочных растворах.
Элюирование сорбированных катионов РЗМ из корок характеризуется частичным (~35%) извлечением катионов Fe(III) в растворы, что свидетельствует об относительно невысокой реакционной способности катионов Fe(III) при рН ≤ 1. Учитывая данные по структурной устойчивости рудных минералов, это, в свою очередь, указывает на высокую химическую устойчивость гетита и низкую фероксигита в кислой среде (при данных условиях проведения процесса).
В отличие от катионов Fe(III), катионы структурного Mn(IV) в сорбционно-десорбционных процессах участия не принимают, и их содержание в продуктах ионообменных реакций остается практически тем же, что и в исходных корках (см. табл. 1). Иначе говоря, катионы Mn(IV) не проявляют реакционную способность в растворах в интервале рН от 1.0 до, как минимум, 7.5. Следовательно, рудные марганцевые минералы корок – вернадит, асболан-бузерит, бузерит-I – являются химически устойчивыми в водных растворах электролитов.
Поведение катионов Mn2+, в отличие от катионов структурного Mn(IV), показывает противоположный характер. В рудных марганцевых минералах они занимают позиции, доступные для обмена с другими катионами металлов и протонами водорода Н+. В продуктах сорбции/десорбции катионы Mn2+ либо отсутствуют, либо их содержание не превышает 0.03 мас. %, т.е. они полностью или практически полностью переходят в растворы кислот и солей металлов и обладают высокой реакционной способностью. Химическая форма нахождения катионов Mn2+ в рудных минералах корок сорбированная.
Химические формы нахождения катионов редкоземельных металлов в рудных минералах корок
Совокупность данных по всем изученным процессам, включая стадии химической и структурной устойчивости рудных минералов корок, позволяет рассмотреть вопрос о химических формах нахождения катионов редкоземельных металлов в этих отложениях.
Высокая обменная емкость рудных минералов корок гайота Говорова по катионам редкоземельных металлов (от 1.78 мг-экв/г по Dy3+ до 3.57 мг-экв/г по Се3+) свидетельствует, что поглощение указанных катионов протекает по ионообменному эквивалентному механизму, в случае с катионами Се3+ – по сверхэквивалентному механизму относительно катионов обменного комплекса рудных минералов – Na+, K+, Ca2+, Mg2+, Mn2+, Ni2+. Из полученных величин обменной емкости следует, что катионы РЗМ сорбируются не только поверхностью (на начальном этапе поглощения), но и во всем объеме рудных минералов корок.
Высокое извлечение сорбированных катионов редкоземельных металлов при кислотном элюировании (более 97%), происходящее с одновременным растворением минералов железа, в первую очередь фероксигита, позволяет считать, что форма нахождения катионов Y3+, La3+, Се3+, Nd3+, Sm3+, Eu3+, Gd3+, Dy3+ и Lu3+ химически связанная. Концентрируются все перечисленные катионы РЗМ, кроме Се3+, в минералах железа. Катионы Се3+ накапливаются как в минералах железа, из которых извлекаются в растворы кислот не более чем на 65%, так и в минералах марганца, в которых их содержание после кислотной обработки корок составляет 40 ± 5 мас. %. Полное извлечение катионов Се3+ в раствор наблюдается только при растворении рудных марганцевых минералов корок. Это позволяет предположить, что форма нахождения катионов Се3+ в минералах марганца также химически связанная.
ЗАКЛЮЧЕНИЕ
Впервые экспериментально изучены сорбционные свойства кобальтоносных железомарганцевых корок относительно катионов редкоземельных металлов. Получено принципиальное доказательство, что корки гайота Говорова, состоящие из рудных минералов Fe-вернадита, вернадита, Mn-фероксигита, гетита и асболан-бузерита, являются природным высокоселективным сорбентом катионов редкоземельных металлов.
Корки характеризуются высокой обменной емкостью по катионам РЗМ – 1.78–3.57 мг-экв/г, которая превосходит емкость многих широко известных природных ионообменников: глинистых минералов, цеолитов и др. По значениям обменной емкости рудных минералов корок составлен следующий ряд ее возрастания:
(Dy < Gd < Lu < Sm < Nd < Y, La < Eu) << Ce.
Исходя из величин обменной емкости, следует предполагать, что катионы РЗМ сорбируются во всем объеме рудных минералов, а не только их поверхностью. Полученные данные позволяют думать, что рудные минералы корок остаются резко ненасыщенными относительно катионов редкоземельных металлов, несмотря на свой древний возраст 55‒60 млн лет [Мельников, 2005].
Поглощение катионов РЗМ протекает по ионообменному эквивалентному механизму, в случае с катионами Се3+ – по сверхэквивалентному механизму относительно катионов обменного комплекса рудных минералов /Na+, K+, Ca2+, Mg2+, Mn2+, Ni2+, которые вносят 95–98% в суммарную емкость рудных минералов. Для рудных минералов характерна групповая сорбция катионов редкоземельных металлов, причем, что особенно ценно, на фоне содержащихся в растворах катионов тяжелых металлов, прежде всего кобальта, никеля и меди. Процессы сорбции и десорбции катионов редкоземельных металлов протекают на рудных минералах железомарганцевых корок с высокими скоростями, что повышает возможность их практического применения.
Из представленных в статье результатов взаимодействия катионных форм рудных минералов корок с модельным раствором океанской воды (0.45 М раствор NaCl) вытекают следующие важные выводы. Практически полное отсутствие признаков десорбции сорбированных катионов РЗМ (извлечение не более 5%) в растворе свидетельствует: 1) о необратимой сорбции катионов РЗМ на рудных минералах; 2) о значительно более высокой сорбционной селективности рудных марганцевых и железистых минералов в отношении катионов РЗМ, чем к главным катионам океанской воды – Na+, K+, Ca2+, Mg2+; 3) об упрочении химической связи сорбированных катионов РЗМ с основными элементами структуры минералов марганца и железа с течением времени. С учетом полученных данных можно сделать важное уточнение: механизм сорбции – ионообменный, эквивалентный и необратимый относительно главных катионов океанской воды. В геохимическом аспекте это означает, что ни после сорбции катионов РЗМ на поверхности минералов (адсорбции), ни при объемном их поглощении рудными минералами, обратного вытеснения катионов редкоземельных металлов в океанскую воду не происходит. В свою очередь, содержание катионов РЗМ в каждом слое корок определяется количеством этих катионов металлов в придонном слое океанской воды и скоростью их поставки к поверхности рудных марганцевых и железистых минералов, на которой и протекают ионообменные реакции. Подтверждением сказанному являются данные по содержанию катионов редкоземельных металлов в каждом слое железомарганцевых корок гайота Говорова [Novikov et al., 2021].
Высокое (более 95%) извлечение катионов редкоземельных металлов при кислотном элюировании после их предварительной сорбции при одновременном растворении минералов железа, в первую очередь фероксигита, свидетельствует о двух важных свойствах корок. Первое – катионы Y3+, La3+, Се3+, Nd3+, Sm3+, Eu3+, Gd3+, Dy3+ и Lu3+ в основном сорбируются минералами железа, второе – форма их нахождения в минералах – химически связанная (при условии кислотной обработки). Катионы Се3+, в отличие от остальных катионов РЗМ, накапливаются как в минералах железа, из которых они извлекаются в растворы кислот не более чем на 65%, так и в минералах марганца, в которых их содержание после кислотной обработки составляет 40 ± 5% от их содержания в исходных корках. Полное извлечение катионов Се3+ в раствор наблюдается только при растворении рудных марганцевых минералов. Форма нахождения катионов Се3+ в рудных минералах корок, скорее всего, та же – химически связанная.
Особую значимость сорбционным свойствам корок придает структурная и химическая устойчивость их рудных, в первую очередь марганцевых, минералов, что позволяет использовать их в широком диапазоне (1 < pH < 14) водных растворов электролитов. Предварительное сорбционное концентрирование катионов РЗМ перед металлургической переработкой корок может значительно увеличить их экономическую ценность. При комплексной переработке железомарганцевых корок могут быть получены не только тяжелые и редкие металлы – Co, Ni, Cu, Mn, Fe, Mo, Zn, Cd (как предусматривается в разрабатываемых в настоящее время технологических схемах), но и стратегически важные редкоземельные металлы.
КОНФЛИКТ ИНТЕРЕСОВ
Авторы данной работы заявляют, что у них нет конфликта интересов.
ФИНАНСИРОВАНИЕ РАБОТЫ
Работа выполнена в рамках государственного задания FMWE 2021-0004.
About the authors
G. V. Novikov
Shirshov Institute of Oceanology RAS
Author for correspondence.
Email: gvnovikov@yandex.ru
Russian Federation, 117997, Moscow, Nakhimovsky prosp., 36
O. Yu. Bogdanova
Shirshov Institute of Oceanology RAS
Email: gvnovikov@yandex.ru
Russian Federation, 117997, Moscow, Nakhimovsky prosp., 36
N. V. Lobus
Shirshov Institute of Oceanology RAS
Email: gvnovikov@yandex.ru
Russian Federation, 117997, Moscow, Nakhimovsky prosp., 36
A. O. Rumyantseva
Institute of Geology of Ore Deposits, Petrography, Mineralogy and Geochemistry, Russian Academy of Sciences
Email: gvnovikov@yandex.ru
Russian Federation, 119017, Moscow, Staromonetny lane, 35
References
- Авдонин В.В., Кругляков В.В., Лыгина Т.И., Мельников М.Е., Сергеева Н.Е. Оксидные железомарганцевые руды океана: генетическая интерпретация текстур и структур / Отв. ред. В.В. Авдонин. М.: ГЕОС, 2014. 163 с.
- Андреев С.И. Металлогения железомарганцевых образований Тихого океана. СПб.: Недра, 1994. 191 с.
- Батурин Г.Н. Руды океана. М.: Наука, 1993. 304 с.
- Богданов Ю.А., Зоненшайн Л.П., Лисицын А.П. и др. Железо-марганцевые руды – образования подводных гор океана // Изв. АН СССР. Сер. геол. 1987. № 7. С. 103‒120.
- Богданов Ю.А., Горшков А.И., Гурвич Е.Г. и др. Железо-марганцевые корки и конкреции гайотов северо-западной части Тихого океана // Геохимия. 1998. № 5. С. 518–531.
- Волков И.И. Железомарганцевые конкреции // Геохимия диагенеза осадков Тихого океана (трансокеанский профиль). М.: Наука, 1980. С. 169−223.
- Гайоты Западной Пацифики и их рудоносность / Ю.Г. Волохин, М.Е. Мельников, Э.Л. Школьник и др. М.: Наука, 1995. 368 с.
- Железомарганцевые корки и конкреции подводных гор Тихого океана // Под ред. А.П. Лисицына. М.: Недра, 1990. 227 с.
- Кобальтобогатые руды Мирового океана. СПб.: ВНИИОкеангеология, 2002. 167 с.
- Кронен Д. Подводные минеральные месторождения. М.: Мир, 1982. 392 с.
- Мельников М.Е. Месторождения кобальтоносных марганцевых корок. Геленджик: ФГУГП ГНЦ, 2005. 230 с.
- Мельников М.Е. Кобальтоносные железомарганцевые корки // Мировой океан. Т. III. Твердые полезные ископаемые и газовые гидраты в океане / Под ред. Л.И. Лобковского, Г.А. Черкашева. М.: Научный мир, 2018. С. 285–322.
- Мельников М.Е., Плетнев С.П. Распределение церия в скоплениях железомарганцевых корок различного ранга на Магеллановых горах (Тихий океан) // Геология и полезные ископаемые Мирового океана. 2009. № 1. С. 23–36.
- Мельников М.Е., Седышева Т.Е. Редкоземельные элементы в железомарганцевых корках Магеллановых гор (Тихий океан) // Благородные, редкие и радиоактивные элементы в рудообразующих системах / Материалы Всеросс. научной конференции с международным участием [Электронный ресурс: октябрь 2014]. Новосибирск: ИНГГ СО РАН, 2014. С. 442‒449.
- Новиков Г.В. Кинетика сорбции катионов металлов на железомарганцевых образованиях подводных гор // Теория и практика сорбционных процессов. Воронеж: Изд-во ВГУ, 1998. С. 141–158.
- Новиков Г.В. Методы оценки сорбционных свойств железомарганцевых отложений Мирового океана. М.: Граница, 2005. 48 с.
- Новиков Г.В. Вопросы генезиса железомарганцевых образований. Гипотезы и экспериментальное физико-химическое моделирование // Мировой океан. Т. III. Твердые полезные ископаемые и газовые гидраты в океане / Под ред. Л.И. Лобковского, Г.А. Черкашева. М.: Научный мир, 2018а. С. 323–354.
- Новиков Г.В. Ионообменные свойства рудных минералов океанских железомарганцевых образований // Мировой океан. Т. III. Твердые полезные ископаемые и газовые гидраты в океане / Под ред. Л.И. Лобковского, Г.А. Черкашева. М.: Научный мир, 2018б. С. 355–497.
- Новиков Г.В., Мельников М.Е., Богданова О.Ю., Викентьев И.В. Природа кобальтоносных железомарганцевых корок Магеллановых гор Тихого океана. Сообщение 1. Геология, минералогия, геохимия // Литология и полез. ископаемые. 2014. № 1. С. 3–25.
- Новиков Г.В., Лобус Н.В., Дроздова А.Н., Диков Ю.П. Сорбция катионов Y3+, La3+ и Cе3+ на кобальтоносных марганцевых корках Магеллановых гор и поднятия Маркус-Уэйк Тихого океана // Литология и полез. ископаемые. 2019. Т. 54. № 4. С. 318–336.
- Новиков Г.В., Лобус Н.В., Богданова О.Ю. Сорбционные свойства кобальтоносных железомарганцевых корок гайота Коцебу Магеллановых гор относительно катионов редкоземельных металлов // Литология и полез. ископаемые. 2023. № 6. С. 527‒541.
- Рой С. Месторождения марганца. М.: Мир, 1986. 520 с.
- Скорнякова Н.С. Морфогенетические типы Fe-Mn конкреций радиоляриевого пояса Тихого океана // Литология и полез. ископаемые. 1984. № 6. С. 67‒83.
- Условия образования и закономерности размещения железомарганцевых конкреций Мирового океана / Ред. О.Д. Корсаков. Л.: Недра, 1987. 259 с.
- Успенская Т.Ю., Скорнякова Н.С. Текстуры и структуры океанских железомарганцевых конкреций и корок. М.: Наука, 1991. 240 с.
- Aplin A.C., Cronan D.S. Ferromanganese oxide deposits from the Central Pacific Ocean, I. Encrustations from the Line Islands Archipelago // Geochim. Cosmochim. Acta. 1985. V. 49. P. 427–436.
- Bau M. Scavenging of dissolved yttrium and rare earths by precipitating iron oxyhydroxide: Experimental evidence for Ce oxidation, Y–Ho fractionation, and lanthanide tetrad effect // Geochim. Cosmochim. Acta. 1999. V. 63. P. 67–77.
- Bau M., Koschinsky A. Oxidative scavenging of cerium on hydrous Fe oxide: evidence from the distribution of rare earth elements and yttrium between Fe oxides and Mn oxides in hydrogenetic ferromanganese crusts // Geochem. J. 2009. V. 43. P. 37–47.
- Bau M., Koschinsky A., Dulski P., Hein J.R. Comparison of the partitioning behaviours of yttrium, rare earth elements, and titanium between hydrogenetic marine ferromanganese crusts and seawater // Geochim. Cosmochim. Acta. 1996. V. 60(10). P. 1709–1725.
- Bau M., Schmidt K., Koschinsky A., Hein J., Kuhn T., Usui A. Discriminating between different genetic types of marine ferro-manganese crusts and nodules based on rare earth elements and yttrium // Chem. Geol. 2014. V. 381. P. 1–9.
- Burns R.G., Burns V.M. Marine oxides // Marine Minerals. Short Course Notes. Volume 6 / Ed. R.G. Burns Washington, DC: Mineralogical Society of America, 1979. P. 1–46.
- Byrne R.H., Kim K.-H. Rare earth element scavenging in seawater // Geochim. Cosmochim. Acta. 1990. V. 54. P. 2645–2656.
- De Carlo E.H. Separation of lanthanide series elements in marine Fe-Mn crusts by ion-exchange chromatography and determination by ICP/AES // Sep. Sci. Nechnol. 1990. V. 25(6). P. 781‒798.
- De Carlo E.H., Koeppenkastor D. Sorption kinetics and thermodynamics of rare earth elements onto natural and synthetic iron and manganese oxides // Eos Trans. AGU. 1990. V. 71. P. 1417.
- De Carlo E.H., Wen X.-Y., Irving M. The influence of redox reactions on the uptake of dissolved Ce by suspended Fe and Mn oxide particle // Aquat. Geochem. 1998. V. 3. P. 357–389.
- Cronan D.S. Marine Minerals in Exclusive Economic Zones. London: Chapman and Hall, 1992.
- Davranche M., Pourre O., Gruau G., Dia A. Impact of humate complexation on the adsorption of REE onto Fe oxyhydroxide // J. Colloid Interface Sci. 2004. V. 277. P. 271–279.
- Davranche M., Pourret O., Gruau G. et al. Adsorption of REE(III)-humate complexes onto MnO2: experimental evidence for cerium anomaly and lanthanide tetrad effect suppression // Geochim. Cosmochim. Acta. 2005. V. 69. P. 4825–4835.
- Davranche M., Pourre O., Gruau G. et al. Competitive binding of REE to humic acid and manganese oxide: impact of reaction kinetics on development of cerium anomaly and REE adsorption // Chem. Geol. 2008. V. 247. P. 154–170.
- Fukami Y., Kashiwabara T., Amakawa H., Shibuya T., Usui A., Suzuki K. Tellurium stable isotope composition in the surface layer of ferromanganese crusts from two seamounts in the Northwest Pacific Ocean // Geochim. Cosmochim. Acta. 2022. V. 318. P. 279–291.
- Giovanoli R. On natural and synthetic nodules // Geology and Geochemistry of Manganese. V. 1 / Eds M. Varentsov, G. Grasselly. Stuttgart: E. Schweizerbart’sche Verlagsbuchhandlung, 1980. P. 169–202.
- Glasby G.P. Manganese nodules in the South Pacific: a review // N.Z.J. Geol. Geophys. 1976. V. 19. P. 707−736.
- Glasby G.P. Manganese: Predominant role of nodules and crusts / Eds H.D. Schulz, M. Zabel // Marine Geochemistry. Berlin: Springer, 2000. P. 335–372.
- Halbach P. Processes controlling the heavy metal distribution in Pacific ferromanganese nodules and crusts // Geol. Rdsch. 1986. Bd. 75. H. 1. P. 235‒247.
- Halbach P., Puteanus D. The influence of the carbonate dissolution rate on the growth and composition of Co-rich ferromanganese crusts from Central Pacific seamount areas // Earth Planet. Sci. Lett. 1984. V. 68. P. 73–87.
- Halbach P., Scherhag C., Hebisch V., Marchig V. Geochemical and mineralogical control of different genetic types of deep-sea nodules from the Pacific Ocean // Miner. Deposita. 1981. V. 16. P. 59−84.
- Halbach P, Sattler C, Teichmann F., Wahsner M. Cobalt-rich and platinum bearing manganese crust deposits on seamounts: Nature, formation, and metal potential // Marine Mining. 1989. V. 8. P. 23–39.
- Halbach P.E., Jahn A., Cherkashov G. Marine Co-rich ferromanganese crust deposits: Description and formation, occurrences and distribution, estimated world-wide resources / Ed.R. Sharma // Deep-Sea Mining: Resource Potential, Technical and Environmental Considerations. Cham: Springer International Publishing, 2017. P. 65–141.
- Hein J.R., Koschinsky A. Deep-ocean ferromanganese crusts and nodules // Treatise Geochem. 2014. V. 13. P. 273–91.
- Hein J.R., Koschinsky A, Halbach P. et al. Iron and manganese oxide mineralization in the Pacific // Manganese mineralization: geochemistry and mineralogy of terrestrial and marine deposits / Eds K. Nicholson, J.R. Hein, B. Bühn, S. Dasgupta / Geol. Soc. Spec. Pub. 1997. V. 119. P. 123–138.
- Hein J.R., Koschinsky A., Bau M., Manheim F.T., Kang J.-K., Roberts L. Cobalt-rich ferromanganese crusts in the Pacific // Handbook of Marine Mineral Deposits / Ed. D.S. Cronan. Boca Raton, London N.Y., Washington D.C.: CRS Press, 2000. P. 239–279.
- Hein J.R., Conrad T.A., Frank M. et al. Copper-nickel-rich, amalgamated ferromanganese crust-nodule deposits from Shatsky Rise, NW Pacific // Geochem. Geophys. Geosyst. 2012. V. 13(10). Q10022. https://doi.org/10.1029/2012GC004286
- Hein J.R., Conrad T., Mizell K. et al. Controls on ferromanganese crust composition and reconnaissance resource potential, Ninetyeast Ridge, Indian Ocean // Deep-Sea Res. Part I Oceanogr. Res. Pap. 2016. V. 110. P. 1–19.
- Hein J.R., Konstantinova N., Mikesell M. et al. Arctic DeepWater Ferromanganese-Oxide Deposits Reflect the Unique Characteristics of the Arctic Ocean // Geochem. Geophys. Geosyst. 2017. V. 18(11). P. 3771–3800.
- Josso P., van Peer T., Horstwood M.S.A. et al. Geochemical evidence of Milankovitch cycles in Atlantic Ocean ferromanganese crusts // Earth Planet. Sci. Lett. 2021b. V. 553. 116651.
- Kawabe I., Ohta A., Ishii S.et al. REE partitioning between Fe–Mn oxyhydroxide precipitates and weakly acid NaCl solutions: convex tetrad effect and fractionation of Y and Sc from heavy lanthanides // Geochem. J. 1999a. V. 33. P. 167–179.
- Kawabe I., Ohta A., Miura N. Distribution coefficients of REE between Fe oxyhydroxide precipitates and NaCl solutions affected by REE-carbonate complexation // Geochem. J. 1999b. V. 33. P. 181–197.
- Koeppenkastor D., De Carlo E.H. Sorption of rare earth elements from seawater onto synthetic mineral particles: an experimental approach // Chem. Geol. 1992. V. 95. P. 251–263.
- Koeppenkastor D., De Carlo E.H. Uptake of rare earth elements from solution by metal oxides // Environ. Sci. Technol. 1993. V. 27(9). P. 1796–1802.
- Koschinsky A., Hein J.R. Marine ferromanganese encrustations: Archives of changing oceans // Elements. 2017. V. 13. P. 177–182.
- Koschinsky A., Hein J.R., Kraemer D. et al. Platinum enrichment and phase associations in marine ferromanganese crusts and nodules based on a multi-method approach // Chem. Geol. 2020. V. 539. 119426.
- Lee S., Xu H.F., Xu W.Q., Sun X.M. The structure and crystal chemistry of vernadite in ferromanganese crusts // Acta Crystallogr. Sect. B-Struct. Sci. Cryst. Eng. Mater. 2019. V. 75. P. 591–598.
- de Matos C.S., Benites M., Jovane Li., Ulsen C. Chemical-mineralogical characterization of critical elements into ferromanganese crusts // J. Mater. Res. Technol. 2023. V. 25. P. 5633–5649.
- Menendez A., James R.H., Roberts S., Peel K., Connelly D. Controls on the distribution of rare earth elements in deep-sea sediments in the North Atlantic Ocean // Ore Geol. Rev. 2017. V. 87. P. 100–113.
- Novikov G.V., Sedysheva T.E., Lobus N.V., Bogdanova O.Yu. Cobalt-rich ferromanganese crusts of the Govorov guyot of the Magellan seamounts of the Pacific Ocean: conditions of occurrence, mineralogy, and geochemistry // Oceanology. 2021. V. 61(6). P. 1026‒1039.
- Ohta A., Kawabe I. Rare earth element partitioning between Fe oxyhydroxide precipitates and aqueous NaCl solutions doped with NaHCO3: determinations of rare earth element complexation constants with carbonate ions // Geochem. J. 2000. V. 34. P. 439–454.
- Ohta A., Kawabe I. REE(III) adsorption onto Mn dioxide (δ-MnO2) and Fe oxyhydroxide: Ce(III) oxidation by δ-MnO2 // Geochim. Cosmochim. Acta. 2001. V. 65. P. 695–703.
- Ohta A., Kagi H., Nomura M. et al. Coordination study of rare earth elements on Fe oxyhydroxide and Mn dioxides: Part I. Influence of a multi-electron excitation on EXAFS analyses of La, Pr, Nd, and Sm // Am. Mineral. 2009a. V. 94(4). P. 467–475.
- Ohta A., Kagi H., Nomura M. et al. Coordination study of rare earth elements on Fe oxyhydroxide and Mn dioxides: Part II. Correspondence of variations appearing in interatomic distances // Am. Mineral. 2009b. V. 94(4). P. 476–486.
- Park K., Jung J., Park J. et al. Geochemical-mineralogical analysis of ferromanganese oxide precipitated on porifera in the Magellan seamount, western Pacific // Front. Mar. Sci. 2023. V. 9. 1086610. https://doi.org/10.3389/fmars.2022.1086610
- Prakash L.S., Ray D., Nath B.N et al. Anomalous phase association of REE in ferromanganese crusts from Indian mid-oceanic ridges: evidence for large scale dispersion of hydrothermal iron // Chem. Geol. 2020. V. 549. 119679. https://doi.org/10.1016/j.chemgeo.2020.119679
- Quinn K., Byrne R., Schijf J. Comparative scavenging of yttrium and the rare earth elements in seawater: competitive influences of solution and surface chemistry // Aquat. Geochem. 2004. V. 10. P. 59–80.
- Quinn K.A., Byrne R.H., Schijf J. Sorption of yttrium and rare earth elements by amorphous ferric hydroxide: influence of pH and ionic strength // Mar. Chem. 2006a. V. 99. P. 128–150.
- Quinn K.A., Byrne R.H., Schijf J. Sorption of yttrium and rare earth elements by amorphous ferric hydroxide: influence of solution complexation with carbonate // Geochim. Cosmochim. Acta. 2006б. V. 70. P. 4151–4165.
- Quinn K.A., Byrne R.H., Schijf J. Sorption of yttrium and rare earth elements by amorphous ferric hydroxide: influence of temperature // Environ. Sci. Technol. 2007. V. 41. P. 541–546.
- Ren Y., Sun X., Guan Y., Xiao Z., Liu Y., Liao J., Guo Z. Distribution of rare уarth elements plus yttrium among major mineral phases of marine Fe‒Mn crusts from the South China Sea and Western Pacific Ocean: a comparative study // Minerals. 2019. V. 9.
- Schier K., Ernst D.M., de Sousa I.M.C., Garbe-Sch¨onberg D., Kuhn T., Hein J.R., Bau M. Gallium-aluminum systematics of marine hydrogenetic ferromanganese crusts: Inter-oceanic differences and fractionation during scavenging // Geochim. Cosmochim. Acta. 2021. V. 310. P. 187–204.
- Schijf J., Marshal K.S. YREE sorption on hydrous ferric oxide in 0.5M NaCl solutions: a model extension // Mar. Chem. 2011. V. 123. P. 32–43.
- Takahashi Y., Manceau A., Geoffroy N., Marcus M.A., Usui A. Chemical and structural control of the partitioning of Co, Ce, and Pb in marine ferromanganese oxides // Geochim. Cosmochim. Acta. 2007. V. 71. P. 984–1008.
- Tanaka K., Tani Y., Takahashi Y. et al. A specific Ce oxidation process during sorption of rare earth elements on biogenic Mn oxide produced by Acremonium sp. strain KR21–2 // Geochim. Cosmochim. Acta. 2010. V. 74(19). P. 5463–5477.
- Yang K., Park H., Son S.K. et al. Electron microscopy study on the formation of ferromanganese crusts, western Pacific Magellan Seamounts // Mar. Geol. 2019. V. 410. P. 32–41.
- Zhou J., Liu J., Yang S. et al. Microstratigraphic geochemical characteristics of ferromanganese crust from central pacific: Implication for the role of Fe and Mn in REY enrichment // Chem. Geol. 2023. V. 637. 121665. https://doi.org/10.1016/j.chemgeo.2023.121665
Supplementary files






