Модель формирования золотоносных россыпей в платформенных областях (восток Сибирской платформы)
- Авторы: Никифорова З.С.1, Калинин Ю.А.1,2, Наумов В.А.3,4, Лаломов А.В.5
-
Учреждения:
- Институт геологии алмаза и благородных металлов СО РАН
- Институт геологии и минералогии им. В.С. Соболева СО РАН
- Институт геологии и геохимии им. акад. А.Н. Заварицкого УрО РАН
- Естественнонаучный институт Пермского государственного национального исследовательского университета
- Институт геологии рудных месторождений, петрографии, минералогии и геохимии РАН
- Выпуск: № 6 (2023)
- Страницы: 570-587
- Раздел: Статьи
- URL: https://journals.rcsi.science/0024-497X/article/view/231879
- DOI: https://doi.org/10.31857/S0024497X23700209
- EDN: https://elibrary.ru/WQXLRN
- ID: 231879
Цитировать
Полный текст
Аннотация
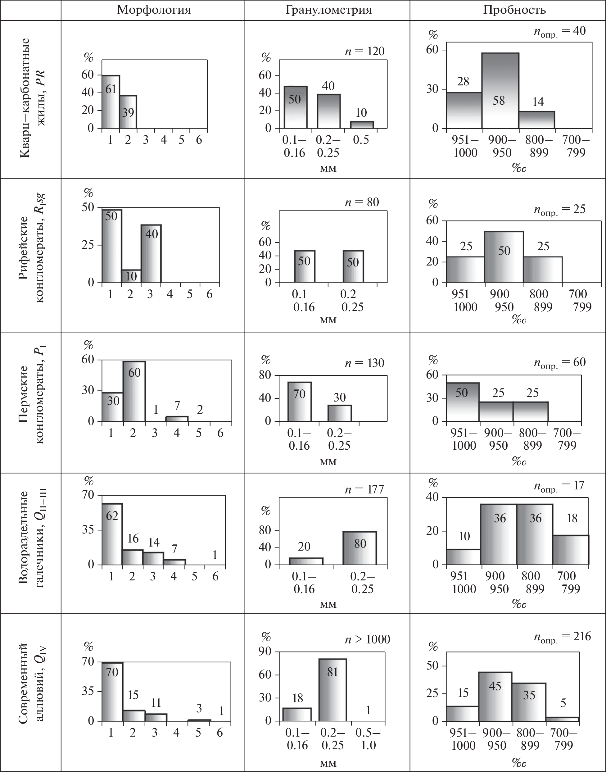
Впервые предложена модель формирования золотоносных россыпей для платформенных областей. Россыпи на платформах образованы, в основном, за счет докембрийских рудных источников, пространственно приуроченных к выходам фундамента, и, локально, мезозойских, сформированных при проявлении тектоно-магматической активизации в зонах палеорифтов и глубинных разломов. Россыпи, образованные за счет докембрийских источников, характеризуются наличием мелкого и тонкого золота размером 0.1‒0.25 мм и, как правило, не представляют промышленного интереса. Они образуют косовые аллювиальные и прибрежно-морские россыпи дальнего сноса и рассматриваются как комплексные, преимущественно редкометалльно-титановые, где золото присутствует в качестве попутного компонента. Россыпи, сформированные за счет источников мезозойского этапа рудообразования, относятся к классу мелких и средних по запасам, размер золота в них от пылевидного до 0.2‒0.25 мм и более и отрабатываются они обычно старательскими артелями. Россыпи на платформах не образуют пластовые залежи, поскольку они сформированы в основном за счет источников не россыпеобразующих формаций. Наличие таких россыпей свидетельствует о близости рудного проявления, тип и местонахождение которого можно установить на основании изучения минералого-геохимических особенностей самого россыпного золота.
Об авторах
З. С. Никифорова
Институт геологии алмаза и благородных металлов СО РАН
Автор, ответственный за переписку.
Email: znikiforova@yandex.ru
Россия, 677000, Якутск, ул. Ленина, 39
Ю. А. Калинин
Институт геологии алмаза и благородных металлов СО РАН; Институт геологии и минералогии им. В.С. Соболева СО РАН
Автор, ответственный за переписку.
Email: kalinin@igm.nsc.ru
Россия, 677000, Якутск, ул. Ленина, 39; Россия, 630090, Новосибирск, просп. акад. Коптюга, 3
В. А. Наумов
Институт геологии и геохимии им. акад. А.Н. Заварицкого УрО РАН; Естественнонаучный институт Пермского государственногонационального исследовательского университета
Автор, ответственный за переписку.
Email: naumov@psu.ru
Россия, 620110, Екатеринбург, ул. акад. Вонсовского, 15; Россия, 614990, Пермь, ул. Генкеля, 4
А. В. Лаломов
Институт геологии рудных месторождений, петрографии, минералогии и геохимии РАН
Автор, ответственный за переписку.
Email: lalomov@mail.ru
Россия, 119017, Москва,
Старомонетный пер., 35
Список литературы
- Бондаренко С.В., Золотарева Г.С. Распределение попутного золота в титан-циркониевых песках россыпи “Центральная” (Тамбовская область) // Вестник ВГУ. Серия: Геология. 2018. № 3. С. 66–73.
- Веремеева Л.И., Соленикова Е.О., Акименко М.И., Копьева Т.В. Попутное золото в титан-циркониевых россыпях Ставропольского россыпного района — фактор повышения их инвестиционной привлекательности // Разведка и охрана недр. 2014. № 9. С. 35–41.
- Гаврильев Н.Н., Михайлов В.А., Алексеев Н.Н. О распределении терригенных аксессориев мезозойских отложений Вилюйской синеклизы. Новосибирск // Геология и геофизика. 1985. № 3301–85. 16 с.
- Герасимов Б.Б., Никифорова З.С. Крупное ртутьсодержащее россыпное золото бассейна среднего течения р. Анабар // Отечественная геология. 2009. № 5. С. 11–17.
- Герасимов Б.Б., Никифорова З.С. Особенности россыпного золота бассейна р. Уджа (Билиро-Уджинское поднятие) // Отечественная геология. 2012. № 5. С. 27–31.
- Генералов М.Е., Казаков А.В. Золотоносные россыпи Подмосковья: страницы истории и новые данные по минералогии золота // Россыпи и месторождения кор выветривания: изучение, освоение, экология // Материалы XV Международного совещания по геологии россыпей и месторождений кор выветривания. Пермь: Пермский гос. нац. исслед. университет, 2015. С. 40–42.
- Глухов Ю.В., Филиппов В.Н., Исаенко С.И., Макеев Б.А. Мелкое золото северо-востока Восточно-Европейской платформы (Сысольская и Мезенская впадины) // Минералы и минералообразование, структура, разнообразие и эволюция минерального мира, роль минералов в происхождении и развитии жизни, биоминеральные взаимодействия. Сыктывкар: Институт геологии Коми НЦ УрО РАН, 2008. С. 350–385.
- Глухов Ю.В. Связь состава мелкого золота Восточно-Европейской платформы с ледниковыми событиями плейстоцена // Самородное золото: типоморфизм минеральных ассоциаций, условия образования месторождений, задачи прикладных исследований // Материалы Всероссийской конференции. М.: ИГЕМ РАН, 2010. С. 138‒140.
- Глушкова Е.Г., Никифорова З.С. Сравнительная характеристика типоморфных особенностей самородного золота бассейна средней Лены (юго-восток Сибирской платформы) // Тихоокеанская геология. 2010. № 3. С. 34–44.
- Глушкова Е.Г., Никифорова З.С. О коренных источниках россыпного золота Уринского антиклинория (юго-восток Сибирской платформы) // Тихоокеанская геология. 2013. Т. 32. № 3. С. 118–123.
- Евзеров В.Я. Минерагения четвертичных отложений северо-восточной части Балтийского щита / Автореф. дисс. … доктора геол.-мин. наук. Воронеж: ВГУ, 2004. 56 с.
- Жмодик С.М., Калинин Ю.А., Росляков Н.А., Миронов А.Г. и др. Наночастицы благородных металлов в зоне гипергенеза // Геология рудных месторождений. 2012. Т. 54. № 2. С. 168‒183.
- Избеков Э.Д. Образование и эволюция россыпей. Новосибирск: Наука, 1985. 190 с.
- Калинин Ю.А., Росляков Н.А., Прудников С.Г. Золотоносные коры выветривания юга Сибири. Новосибирск: Академическое издательство “Гео”, 2006. 339 с.
- Калинин Ю.А., Росляков Н.А. Прогнозно-поисковые критерии золотоносных кор выветривания (районы юга Сибири, Россия) // Геология рудных месторождений. 2012. Т. 54. № 2. С. 157‒167.
- Кальниченко С.С., Иванов Н.М., Каримова Н.А. и др. Основные типы золотосодержащих месторождений осадочного чехла центральной части Восточно-Европейской платформы // Руды и металлы. 1995. № 6. С. 5–15.
- Константиновский А.А. Перспективы обнаружения комплексных (золото, платиноиды) палеороссыпей на востоке Балтийского щита // Литология и полез. ископаемые. 2005. № 1. С. 12–24.
- Лукъяненок Н.П., Колпаков В.В. Открытие россыпного золота в Белоруссии // Золото России. 1995. № 1‒4. С. 35–40.
- Лоскутов В.В. Золото и интерметаллиды в осадочном чехле Воронежской антеклизы / Дисс. … канд. геол.-мин. наук. Воронеж: ВГУ, 2002. 195 с.
- Левченко Е.Н., Григорьева А.В. Типоморфные и технологические особенности попутного золота в комплексных россыпных месторождениях // Обогащение руд. 2021. № 3. С. 24–32. https://doi.org/10.17580/or.2021.03.05
- Милашев В.А. Структуры кимберлитовых полей. Л.: Недра, 1979. 183 с.
- Матвеева Е.В., Риндзюнская Н.М. Эрозионно-структурные депрессии, коры выветривания восточного склона Приполярного Урала и перспективы их золотоносности // Тезисы докладов XII Международного совещания по геологии россыпей и месторождений кор выветривания. М.: Изд-во ИГЕМ РАН, 2000. С. 228–229.
- Матвеева E. В., Филиппов В. П., Иванов Н.П. и др. Комплексные титано-циркониевые россыпи центральной части Русской платформы – резерв минерально-сырьевой базы золота // Отечественная геология. 2005. № 2. С. 33–38.
- Мигачев И.Ф., Кальниченко С.С., Романчук А.И. Перспективы золотоносности Восточно-Европейской платформы // Отечественная геология. 1995. № 3. С. 53–57.
- Михайлов В.А. Источники питания металлоносных отложений Вилюйской синеклизы / Автореф. дисс. … канд. геол.-мин. наук. Томск: ТГУ, 1990. 20 с.
- Михайлов В.А., Протопопов Ю.Х. Основные предпосылки рудоносности и комплексные россыпи Вилюйской активизированной области древней платформы // Россыпи и месторождения кор выветривания – объект инвестиций на современном этапе. Международное совещание. М.: Наука, 1994. С. 216–217.
- Наумов В.А. Минерагения, техногенез и перспективы комплексного освоения золотоносного аллювия / Автореф. дисс. … доктора геол.-мин. наук. Пермь: Пермский гос. нац. исслед. университет, 2010. 42 с.
- Наумов В.А. Минерагения и перспективы комплексного освоения золотоносного аллювия Урала и Приуралья. Пермь: Пермский гос. нац. исслед. университет, 2011. 162 с.
- Наумов В.А., Илалтдинов И.Я., Осовецкий Б.М. и др. Золото Верхнекамской впадины. Кудымкар, Пермь: Пермский гос. нац. исслед. университет, 2003. 218 с.
- Неганов В.М. Новые данные по геологии и нефтегазоносности Пермского края по результатам региональных и детальных геолого-геофизических работ // Геология, геофизика и разработка нефтяных и газовых месторождений. 2009. № 2. С. 11–19.
- Нестеренко Г.В., Колпаков В.В., Бобошко Л.П. Самородное золото в комплексных Ti–Zr россыпях юга Западно-Сибирской равнины // Геология и геофизика. 2013. Т. 54. № 12. С. 1905–1922.
- Никифорова З.С. О возможности формирования крупных золоторудных месторождений мезозойского этапа рудообразования (восток Сибирской платформы) // Журнал СФУ. Техника и технологии. 2017. № 10(7). С. 908–921.
- Никифорова З.С., Базилевская Р.В., Герасимов Б.Б. О находках рудного золота в бассейне р. Эбелях, северо-востока Сибирской платформы // Отечественная геология. 2006. № 5. С. 48–52.
- Никифорова З.С., Герасимов Б.Б., Тулаева Е.Г. Генезис золотоносных россыпей и их возможные источники (восток Сибирской платформы) // Литология и полез. ископаемые. 2011. №1. С. 21–35.
- Никифорова З.С., Герасимов Б.Б., Глушкова Е.Г. и др. Золотоносность востока Сибирской платформы (россыпи – коренные источники) // Геология рудных месторождений. 2013. Т. 55. № 4. С. 305–319.
- Никифорова З.С., Калинин Ю.А. Макаров В.А. Эволюция самородного золота в экзогенных условиях // Геология и геофизика. 2020. № 11. С. 1514‒1534. https://doi.org/10.15372/GIG2020109
- Никифорова З.С., Ивенсен Г.В. К вопросу формирования эпитермальных месторождений золота на территории Лено-Вилюйского междуречья // Рудогенез. Материалы международной конференции. Миасс: ИМин УрО РАН, 2008. С. 203–206.
- Никифорова З.С., Каженкина А.Г. Минералого-геохимические особенности россыпного золота юго-западной части Вилюйской синеклизы (Кемпендяйские дислокации) и их возможная связь с источниками золотосеребряной формации // Отечественная геология. 2012. № 5. С. 32–36.
- Паленова Е.Е., Новоселов К.А., Белогуб Е.В. Золото в корах выветривания Гвианского щита (Южная Америка) // Минералогия. 2019. Т. 5(2). С. 83–100.
- Патык-Кара Н.Г. Минерагения россыпей: типы россыпных провинций. М.: ИГЕМ РАН, 2008. 528 с.
- Петров А.Ф. Объяснительная записка к государственной геологической карте СССР масштаба 1 : 200 000 (лист O-50-XVIII – Серия Бодайбинская). М.: Госгеолтехиздат, 1978. 116 с.
- Проворов В.М., Неганов В.М., Вилесова Л.А. Строение и перспективы нефтегазоносности северных и западных земель Коми-Пермяцкого округа в свете новых данных // Геология и полезные ископаемые Западного Урала. Материалы научно-практической конференции. Пермь: Пермский гос. университет, 2007. С. 58–64.
- Проворов В.М. Приоритетные направления дальнейшего освоения природных ресурсов нефти и газа в северных и западных районах Урало-Поволжья на ближайшую и дальнюю перспективу // Геология, геофизика и разработка нефтяных и газовых месторождений. 2005. № 3‒4. С. 15–21.
- Прокопчук Б.И., Сочнева Э.Г., Кривонос В.Ф. Минеральный состав тяжелой фракции и источники сноса пермских отложений Лено-Анабарского междуречья (северо-восток Сибирской платформы) // Известия АН СССР. 1973. № 5. С. 82–92.
- Россыпные месторождения России и других стран СНГ (Минерагения. Промышленные типы, стратегия развития минерально-сырьевой базы) / Под ред. Н.П. Лаверова, Н.Г. Патык-Кара. М.: Научный мир, 1997. 497 с.
- Рубенчик И.Б., Борщева Н.А., Зарецкий Л.М. Объяснительная записка к геологической карте масштаба 1 : 200 000 (лист R-50-VII, VIII). М.: Госгеолтехиздат, 1980. 107 с.
- Рудные формации эндогенных месторождений (Формации эндогенных месторождений золота, свинца, колчеданов, свинца, цинка и ртути) / Под ред. Г.А. Соколова. Т. 2. М.: Наука, 1976. 395 с.
- Савко А.Д., Шевырев Л.Т., Лоскутов В.В. Эксгаляционно-осадочная металлоносность Воронежской антеклизы — новые горизонты поисков рудных месторождений в осадочном чехле. Статья 1. Интерметаллиды: локализация, типы, состав // Вестник ВГУ. Сер. Геол. 1999. № 7. С. 139–155.
- Савко А.Д., Шевырев Л.Т. Ультратонкое золото // Труды НИИ Воронежского университета. Вып. 6. Воронеж, 2001. 151 с.
- Синяков В.И. Геолого-промышленные типы рудных месторождений. СПб.: Недра, 1994. 248 с.
- Тимофеев В.И. О россыпной золотоносности р. Вилюй // Разведка и охрана недр. 1965. № 6. С. 1–5.
- Трушков Ю.Н., Избеков Э.Д., Томская А.И., Тимофеев В.И. Золотоносность Вилюйской синеклизы и ее обрамления. Новосибирск: Наука, 1975. 149 с.
- Шило Н.А. Учение о россыпях. М.: Изд-во Академии горных наук, 2000. 632 с.
- Bradley S. Van Gosen, Baohong Hou, Tianrui Song. Heavy Mineral Sands Resources in China // Society of Economic Geologists, Inc. SEG Special Publications, 2019. V. 22. P. 581–595.
- Nikiforova Z.S., Ivensen G.V., Filippov V.Ye. Manifestations of volcanic activity in the Lena-Vilyui interfluve and its association with gold mineralization // International Symposium Large igneous provinces of Asia, mantle plumes and metallogeny. Novosibirsk: Publishing Hous of SB RAS, 2007. P. 182–184.
- Pownceby M.I., Sparrow G.J., Fisher-White M.J. Mineralogical characterisation of Eucla Basin ilmenite concentrates – First results from a new global resource // Minerals Engineering. 2008. V. 21. P. 587–597.
- Roy P.S. Changing Pliocene Sea Levels and the Formation of Heavy Minerals Beach Placers in the Murray Basin, Southeastern Australia // Economic Geology. 2003. V. 98(5). P. 975–983. https://doi.org/10.2113/98.5.975
Дополнительные файлы











