Globular Phyllosilicates of the Glauconite-Illite Series in the Cambrian and Ordovican Rocks of the Eastern Baltica (North Estonia, Western Lithuania, Western Latvia)
- Авторлар: Ivanovskaya T.A.1, Sakharov B.A.1, Zaitseva T.S.2
-
Мекемелер:
- Geological Institute, Russian Academy of Sciences
- Institute of Precambrian Geology and Geochronology, Russian Academy of Sciences
- Шығарылым: № 2 (2023)
- Беттер: 180-200
- Бөлім: Articles
- URL: https://journals.rcsi.science/0024-497X/article/view/137914
- DOI: https://doi.org/10.31857/S0024497X22700057
- EDN: https://elibrary.ru/IIVTQS
- ID: 137914
Дәйексөз келтіру
Толық мәтін
Аннотация
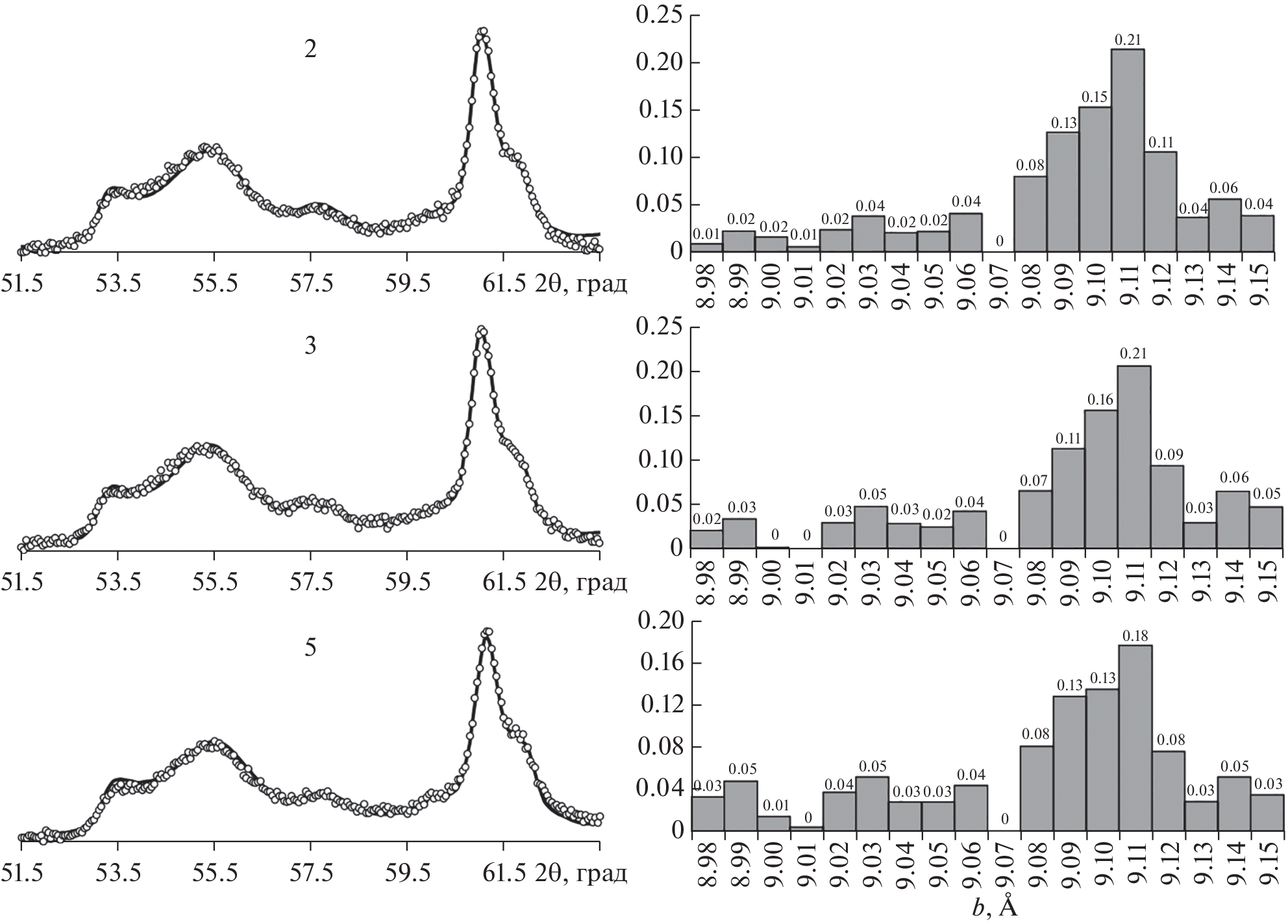
The mineralogical, structural and crystal-chemical features of seven samples of globular phyllosilicates of the glauconite-illite series (GPS) from the Lower Cambrian of Northern Estonia and Western Lithuania, from the Middle Cambrian of Western Latvia, and also from the Lower Ordovician of Northern Estonia and Western Latvia are considered for the first time. The Al index GPS (КAl = VIAl/ [VIFe3+ + VIAl]) varies from 0.27 to 0.59, which allows us to attribute them to the glauconite-illite series, in which GPS are represented mainly by glauconites (the Al index is КAl = 0.27–0.46) and one sample of Al-glauconite (КAl = 0.59). The content of K2O in minerals is from 7.12 to 7.90%. For the first time, the content of expandable layers (4–13%), their types (smectite, vermiculite) and the character of their alternation (R = 0, R = 2) were determined in the studied samples by simulation of experimental X-ray diffraction patterns from oriented preparations. Simulation of X-ray diffraction patterns obtained from nonoriented preparations made it possible to reveal the degree of three-dimensional order, and mean values of the unit-cell parameter b (9.056–9.094 Å) as well as the features of the distribution of their individual micaceous varieties and to establish the heterogeneity of the samples. Based on these data, the microheterogeneity of the Cambrian and Ordovician GSSs was established and compared with the heterogeneity in the previously studied Riphean GPS [Drits et al., 2013]. The obtained Rb-Sr и K-Ar ages for the Middle Cambrian and Lower Ordovician samples, as well as the earlier published dates for the Lower Cambrian samples, are “rejuvenated” compared to age limits accepted for the Cambrian and Lower Ordovician [Gradstein et al., 2020]. The dependence of the Cambrian and Lower Ordovician “rejuvenated” isotopic dates and the discovered GPS heterogeneity, as well as possible reasons for its occurrence, are discussed.
Авторлар туралы
T. Ivanovskaya
Geological Institute, Russian Academy of Sciences
Хат алмасуға жауапты Автор.
Email: tat.ivanovsckaya2012@yandex.ru
Russia, 119017, Moscow, Pyzhevsky lane, 7, bld. 1
B. Sakharov
Geological Institute, Russian Academy of Sciences
Хат алмасуға жауапты Автор.
Email: sakharovb@gmail.com
Russia, 119017, Moscow, Pyzhevsky lane, 7, bld. 1
T. Zaitseva
Institute of Precambrian Geology and Geochronology, Russian Academy of Sciences
Хат алмасуға жауапты Автор.
Email: z-t-s@mail.ru
Russia, 199034, St. Petersburg, Makarova emb., 2
Әдебиет тізімі
- Брангулис А., Мурниекс А., Нагле А., Фридрихсоне А. Средне-Прибалтийский фациальный профиль венда и кембрия // Фации и стратиграфия венда и кембрия запада Восточно-Европейской платформы / Отв. ред. Э.А. Пиррус. Таллин: АН ЭССР, 1986. С. 24‒33.
- Геологический словарь. Т. 1. М.: Недра, 1978. 486 с.
- Горохов И.М., Яковлева О.В., Семихатов М.А., Мельников Н.Н., Ивановская Т.А., Кутявин Э.П. “Омоложенный” Al-глауконит в пограничных венд-кембрийских отложениях Подольского Приднестровья (Украина): Rb-Sr и K-Ar систематика и 57Fe мессбауэровские спектры // Литология и полез. ископаемые. 1997. № 6. С. 616–635.
- Дриц В.А., Сахаров Б.А. Рентгеноструктурный анализ смешанослойных минералов. М.: Наука, 1976. 256 с.
- Дриц В.А., Каменева М.Ю., Сахаров Б.А., Ципурский С.И., Смоляр Б.Б., Букин А.С., Салынь А.Л. Проблемы определения реальной структуры глауконитов и родственных тонкозернистых филлосиликатов. Новосибирск: Наука, 1993. 200 с.
- Дриц В.А., Сахаров Б.А., Ивановская Т.А., Покровская Е.В. Микроуровень кристаллохимической гетерогенности докембрийских глобулярных диоктаэдрических слюдистых минералов // Литология и полез. ископаемые. 2013. № 6. С. 552‒580.
- Дронов А.В. Секвенс-стратиграфия ордовикского палеобассейна Балтоскандии / Автореф. дисс. … доктора геол.-мин. наук. СПб., 2000. 32 с.
- Дронов А.В. Осадочные секвенции и колебания уровня моря в ордовике Балтоскандии // Стратиграфия в начале ХХI века – тенденции и новые идеи / Отв. ред. Ю.Б. Гладенков, Н.В. Межеловский. М.: Геокарт, Геос, 2013. С. 63–92.
- Ершова В.Б. Глауконит из латорпского надгоризонта (нижний ордовик) Ленинградской области // Вестник Санкт-Петербургского университета. Серия 7. Геология. География. 2008. № 1. С. 15–19.
- Зайцева Т.С., Ивановская Т.А., Горохов И.М., Звягина Б.Б., Мельников Н.Н., Яковлева О.В. Минералогия, мессбауэровские характеристики и K-Ar возраст глауконита из нижнекембрийских отложений Западной Литвы // Литология и полез. ископаемые. 2005. № 4. С. 403–415.
- Зайцева Т.С., Горохов И.М., Семихатов М.А., Кузнецов А.Б., Ивановская Т.А., Константинова Г.В., Доржиева О.В. “Омоложенные” глобулярные слоистые силикаты в рифейских отложениях Оленекского поднятия Северной Сибири: кристаллохимическая идентификация и геологическое значение Rb-Sr и K-Ar датировок // Стратиграфия. Геол. корреляция. 2018. № 5S. С. S3‒S26.
- Ивановская Т.А., Ципурский С.И., Яковлева О.В. Глобулярные слоистые силикаты нижнего кембрия Северной Эстонии // Литология и полез. ископаемые. 1991. № 4. С. 120‒127.
- Ивановская Т.А., Гептнер А.Р. Глауконит на разных стадиях литогенеза в отложениях нижнего кембрия Западной Литвы // Литология и полез. ископаемые. 2004. № 3. С. 227−240.
- Ивановская Т.А., Зайцева Т.С., Звягина Б.Б., Сахаров Б.Б. Структурно-кристаллохимические особенности глобулярных слоистых силикатов глауконит-иллитового состава (поздний протерозой, Северная Сибирь) // Литология и полез. ископаемые. 2012. № 6. С. 562–584.
- Ивановская Т.А., Звягина Б.Б., Сахаров Б.А., Зайцева Т.С., Покровская Е.В., Доржиева О.В. Глобулярные слоистые силикаты глауконит-иллитового состава в отложениях верхнего протерозоя и нижнего кембрия // Литология и полез. ископаемые 2015. № 6. С. 510‒537.
- Кац М.Я. Анализ гетерогенности минералов. М.: Наука, 1977. 155 с.
- Коссовская А.Г., Дриц В.А. Вопросы кристаллохимической и генетической классификации слюдистых минералов осадочных пород // Эпигенез и его минеральные индикаторы. М.: Наука, 1971. 320 с.
- Менс К.А. Детализация стратиграфической схемы нижнего кембрия запада Восточно-Европейской платформы // Фации и стратиграфия венда и кембрия запада Восточно-Европейской платформы / Отв. ред. Э.А. Пиррус. Таллин: АН ЭССР, 1986. С. 24‒33.
- Менс К.А., Пиррус Э.А. Стратотипические разрезы кембрия Эстонии. Таллин: Валгус, 1977. 169 с.
- Николаева И.В. Минералы группы глауконита в осадочных формациях. Новосибирск: Наука, 1977. 321 с.
- Пиррус Э.А. Литогенез венда и кембрия Северной Прибалтики / Автореф. дисс. … доктора геол.-мин. наук. Л.: ВСЕГЕИ, 1989. 44 с.
- Пиррус Э.А. Основные процессы аутигенного минералообразования в терригенных отложениях венда и кембрия Северной Прибалтики // Аутигенные минералы терригенных отложений Прибалтики / Под ред. Х.А. Вийдинга. Таллин: АН ЭССР, 1981. С. 5–21.
- Рятсеп М. Фациальное распределение глауконита и его морфологических типов в раннекембрийском бассейне вергальско-раусвеского времени в Северной Прибалтике // Фации и стратиграфия венда и кембрия запада Восточно-Европейской платформы / Отв. ред. Э.А. Пиррус. Таллин: АН ЭССР, 1986. С. 92‒98.
- Семихатов М.А., Горохов И.М., Ивановская Т.А., Рублев А.Г., Кутявин Э.П., Яковлева О.В., Бизунок М.Б. Rb-Sr и K‑Ar возраст глобулярных слоистых силикатов рифея и кембрия СССР: Материалы к оценке геохронометра // Литология и полез. ископаемые. 1987. № 5. С. 78‒96.
- Стратиграфия верхнедокембрийских и кембрийских отложений запада Восточно-Европейской платформы / Под ред. Б.М. Келлера, А.Ю. Розанова. М.: Наука, 1979. 236 с.
- Стратотипические и опорные разрезы венда, кембрия и ордовика Латвии / Ред. А.П. Брангулис. Рига: Зинанте, 1989. 155 с.
- Ульст Р.Ж., Гайлите Л.К., Яковлева В.И. Ордовик Латвии. Рига: Зинанте, 1982. 294 с.
- Хейнсалу Х. О литологии глауконитовых пород O1LtJ месторождения Тоолсе // Известия АН ЭССР. 1975. Т. 24. Химия. Геология. № 3. С. 213‒218.
- Ципурский С.И., Ивановская Т.А., Сахаров Б.А., Звягина Б.Б., Дриц В.А. О природе сосуществования глауконита, Fe-иллита и иллита в глобулярных слюдистых образованиях из отложений разного литологического типа и возраста // Литология и полез. ископаемые. 1992. № 5. С. 65‒75.
- Eberl D., Hower J. Kinetics of illite formation // GSA Bulletin. 1976. V. 87. № 9. P. 1326–1330.
- Ebneth S., Shields G.A., Veizer J., Miller J.F., Shergold J.H. High-resolution strontium isotope stratigraphy across the Cambrian-Ordovician transition // Geochim. Cosmochim. Acta. 2001. V. 65. P. 2273–2292.
- Gailīte L.I., Kuršs V., Lukševiča L., Lukševičs E., Pomeranceva R., Savaitova L., Stinkulis Ģ., Zabele A. Legends for geological maps of Latvian bedrock. Riga: State Geological Survey, 2000. 101 p.
- Gradstein F.M., Ogg J.G., Schmitz M.D., Ogg G.M. Geologic Time Scale 2020. Imprint: Elsevier, 2020. V. 1. 561 p.
- Guggenheim S., Adams J.M., Bain D.C., Bergaya F., Brigatti M.F., Drits V.A., Formoso M.L.L., Galán E., Kogure T., Stanjek H. Summary of recommendations of Nomenclature Committees relevant to clay mineralogy: report of the Association Internationale Pour L’etude des Argiles (AIPEA) Nomenclature Committee for 2006 // Clays Clay Miner. 2006. V. 54. P. 761‒772.
- Jankauskas T. Cambrian stratigraphy of Lithuania. Vilnius: Institute of geology of Lithuania, 2002. 249 p.
- Jankauskas T., Laškova L. Kambras (Keмбpий) / Ed. V. Baltrūnas // Evolution of Earth. Crust and its resources in Lithuania. Vilnius: Petro ofsetas, 2004. P. 50‒56.
- Meidla T. Ediacaran and Cambrian stratigraphy in Estonia: an updated review // Estonian Journal of Earth Sciences. 2017. V. 66. № 3. P. 152–160.
- Mens K., Pirrus E. Vendian. Cambrian // Geology and Mineral Resources of Estonia / Eds A. Raukas, A. Teedumäe. Tallinn: Estonian Academy Publishers, 1997. P. 35‒51.
- Rieder M., Cavazzini G., D’yakonov Y., Frank-Kamenetskii V.A., Gottardi G., Guggenheim S., Koval’ P.W., Müller G., Neiva A.M.R., Radoslovich E.W., Robert J.-L., Sassi F.P., Takeda H., Weiss Z. & Wones D.R. Nomenclature of the micas // Clays Clay Miner. 1998. V. 46. № 5. P. 586–595.
- Sakharov B.A., Lindgreen H., Salyn A.L., Drits V.A. Determination of illite-smectite structures using multispecimen X-ray diffraction profile fitting // Clays Clay Miner. 1999. V. 47. P. 555–566.
- Viira V., Mens K. Nemliher J. Lower Ordovician Leetse formation in the North Estonian Klint area // Proc. Estonian Acad. Sci. Geol. 2006. V. 55. P. 156‒174.
- Zviagina B.B., Drits V.A., Sakharov B.A., Ivanovskaya T.A., Dorzhieva O.V., McCarty D.K. Crystral-chemical regularities and identification criteria in Fe-bearing, K-dioctahedral 1M micas from X-ray diffraction and infrared spectroscopy data // Clays Clay Miner. 2017. V. 65. P. 234‒251.
Қосымша файлдар










