Интенсивность фотосинтеза саженцев ели, сосны и дуба под пологом леса и на открытом участке в разных условиях водообеспечения
- Авторы: Молчанов А.Г.1
-
Учреждения:
- Институт лесоведения РАН
- Выпуск: № 6 (2024)
- Страницы: 649-660
- Раздел: ОРИГИНАЛЬНЫЕ СТАТЬИ
- URL: https://journals.rcsi.science/0024-1148/article/view/282720
- DOI: https://doi.org/10.31857/S0024114824060069
- EDN: https://elibrary.ru/NVFQJI
- ID: 282720
Цитировать
Полный текст
Аннотация
Исследования проводили в Серебряноборском опытном лесничестве Института лесоведения РАН на 5–7-летних саженцах ели, сосны и дуба. Изучали среднедневную зависимость фотосинтеза от солнечной радиации в разных условиях водообеспеченности. Выравнивание зависимости выполняли по уравнению, предложенному M. Monsi и T. Saeki, и зависимости фотосинтеза от недостатка водообеспечения. Получили следующий результат: если ель под пологом леса снижает интенсивность до нуля при предрассветном водном потенциале листа (ПВПЛ), равном –2.4 МПа, то на открытом месте – при ПВПЛ, равном –1.5 МПа. У сосны снижение фотосинтеза до нуля происходит под пологом леса при ПВПЛ, равном –2.2 МПа, а на открытом месте – при –1.8 МПа. У дуба требовательность к водообеспечению под пологом леса и на открытом месте практически не различается, фотосинтез снижается до нуля в обоих условиях произрастания при ПВПЛ, равном –3.5 МПа. Однако под пологом леса интенсивность фотосинтеза дуба меньше, чем на открытом месте, в три раза, тогда как у ели она практически одинакова.
Полный текст
Изменение климата сопровождается увеличением экстремальных осадков и более длительными засушливыми периодами. Повторяющиеся продолжительные засухи вызывают серьезный дисбаланс в водном режиме растений, что отрицательно сказывается на интенсивности фотосинтеза. Это, по-видимому, связано с аридизацией районов России, которая может привести к разрушению лесных экосистем, сокращению биоразнообразия.
С увеличением солнечной радиации интенсивность фотосинтеза увеличивается. Однако это происходит только при благоприятном водообеспечении. В естественных условиях у таких пород, как сосна (Рinus sylvestris L.), ель (Picea abies L.) и дуб (Quercus robur L.), очень сложно определить влажность завядания и понять, когда растение начинает страдать от недостатка влаги. Полный солнечный свет в условиях недостатка водообеспечения подавляет фотосинтез у ели Энгельмана (Picea engelmannii Parry) (Ronco, 1970; Kaufmann, 1976).
Под полог древостоя поступает, в зависимости от сомкнутости полога, от 8 до 74% солнечной радиации (Цельникер, Выгодская, 1971; Раунер, 1972). По данным Ю.Л. Цельникер (1978), под сосновым древостоем при сомкнутости крон 1.0 площадь просветов – 4% ФАР. При сомкнутости крон 0.7 площадь просветов – 10% ФАР. Пропускание радиации сравнительно мало меняется при сомкнутости крон выше 0.7 и быстро возрастает при более низкой сомкнутости (Цельникер, 1969; Алексеев, 1975).
На рост подроста влияют не только климатические факторы, но и особенности подпологовой среды в лесу, которая способствует задержке солнечной радиации и осадков, уменьшая водообеспеченность. Задержание большей части осадков кронами деревьев приводит к тому, что усложняется продуктивный рост молодых деревьев (Молчанов, 1960). Конкуренция подроста за влагу со взрослыми растениями под пологом леса также происходит не в пользу подроста (Карпов и др., 1983).
В настоящее время существуют рубки главного пользования без оставления подроста и сплошные рубки с сохранением подроста (Мелехов, 2003). При сплошных рубках с сохранением подроста важно оценить его жизнеспособность, понять, сможет ли подрост остаться жизнеспособным в новых световых условиях после вырубки леса. Обычно к жизнеспособному (благонадежному) относят подрост с нормальным приростом и хорошо развитым ассимиляционным аппаратом, отсутствием видимых механических повреждений и болезней, которое определяют обычно визуально (Бештоева, 1984). Тем не менее в случае длительного недостатка влагообеспеченности даже жизнеспособный (благонадежный) подрост без видимых признаков нарушения развития ассимиляционных органов может оказаться нежизнеспособным, так как интенсивность его фотосинтеза в результате засухи падает до нуля. Но визуальных признаков недостатка водообеспечения у хвойных пород не наблюдается, да и у дуба признаки увядания сложно определить.
На открытых участках дневной ход фотосинтеза не всегда следует интенсивности солнечной радиации, поступающей к листу. Еще Е.Ф. Вотчал и И.М. Толмачев в 1926 г. доказали, что в полдень при максимальной солнечной радиации нередко происходит значительное снижение интенсивности фотосинтеза растений. Большое количество исследователей (Stoker, 1960; Bosian, 1968; Слемнев, 1969; Цельникер и др., 1993; и др.) придерживается мнения, что полуденная депрессия фотосинтеза в основном обусловлена нарушением водного режима растений. Температура воздуха при прямых солнечных лучах также значительно повышается. По данным И.В. Скуратова и Е.А. Крюковой (2015), в Астраханской области температура воздуха на открытом месте может превышать температуру в тени на 15°С, в результате чего водный потенциал значительно снижается.
Согласно литературным данным, предрассветный водный потенциал листа является одним из наиболее показательных параметров для оценки водообеспеченности растений. Поскольку ночью, при замедленной транспирации, происходит постепенное восстановление потерянной за день влаги в растении до уровня, который определяет доступность или недоступность воды в почве (Слейчер, 1970; Молчанов, 2018). Для определения влияния недостатка водообеспеченности на интенсивность фотосинтеза мы, как и многие исследователи (Kellomäki, Wang, 1996; Bauerle et al., 2003; Сазонова и др., 2016, 2017; Тихова и др., 2017; Придача и др., 2018, 2019), использовали зависимость газообмена фотосинтетических органов от ПВПЛ. По значениям ПВПЛ можно точнее оценить влияние недостатка воды на фотосинтез и найти критические моменты, когда возникает недостаток влаги для лесных экосистем. По данным L. Xu и D.D. Baldocchi (2003), это связано с тем, что недостаток воды может ограничивать доступность углекислого газа для растения, что, в свою очередь, снижает скорость фотосинтеза.
В настоящей работе будут представлены результаты исследований функциональных характеристик фотосинтеза трех древесных пород: дуба, сосны и ели – и даны ответы на вопросы, при каких условиях водообеспеченности (ПВПЛ) саженцы древесных пород, произрастающие на открытом месте, устойчивы к недостатку влаги по сравнению с саженцами, произрастающими под пологом древостоя, при каком недостатке ПВПЛ у этих пород интенсивность фотосинтеза падает до нуля.
Объекты и методика
Полевые исследования для оценки зависимости интенсивности фотосинтеза от недостатка влаги проводили на 5- и 7-летних саженцах древесных пород, выращенных в сосудах на открытом воздухе. Исследования проходили в 2018 г., в течение теплого вегетационного периода, в Серебряноборском опытном лесничестве Института лесоведения РАН, под пологом соснового древостоя 140-летнего возраста с сомкнутостью крон 0.7. В 2020 г. такие же исследования по той же методике проводили на открытом месте, где полный солнечный свет был в течение 10 часов. Оценку водообеспечения определяли по предрассветному водному потенциалу листвы или хвои в камере давления (Рахи, 1973; Молчанов, 2007). Исследования газообмена саженцев сосны, ели и дуба проводили в условиях постепенного искусственного иссушения почвы. Саженцы находились в 15-литровых сосудах, для защиты от осадков их помещали под крышу из прозрачного карболитового листа. По мере иссушения почвы саженцы поливали. Измерение интенсивности фотосинтеза проводили по открытой схеме (Edwards, Sollins, 1973) с помощью инфракрасного газоанализатора LI-COR-820 (США). Показания газоанализатора регистрировали логгером (EMS Mini 32, Чехия). Одновременно регистрировали температуру воздуха, приходящую суммарную солнечную радиацию измеряли пиранометром Янишевского (СССР), установленным в непосредственной близости от растений. Фотосинтез облиственного или охвоенного побега в камере рассчитывали как функцию разности концентраций СО2 между выходящим и входящим в камеру воздухом, скорости воздушного потока и односторонней площади листвы или горизонтальной проекции хвои, находящейся в камере (Молчанов, 2010, 2014). На всех саженцах интенсивность фотосинтеза определяли круглосуточно поочередно, через каждые полчаса. Более подробная методика измерения газообмена растений опубликована ранее (Молчанов, 2015, 2016; Молчанов, Беляева, 2024).
Результаты и обсуждение
Рассмотрим влияние недостаточного водообеспечения на интенсивность фотосинтеза. Обычно зависимость фотосинтеза от интенсивности радиации получают в период с 8 до 12 часов. На открытом месте даже при незначительном недостатке водообеспечения в послеполуденное время уже происходит снижение интенсивности фотосинтеза. По этой причине влияние недостатка влаги на фотосинтез определяли по дневному ходу интенсивности фотосинтеза или среднедневным величинам фотосинтеза в зависимости от среднесуточных величин солнечной радиации.
Под пологом леса, по данным наших исследований, солнечная радиация составляет примерно 1/4 от максимальной. В этих условиях фотосинтез даже при недостаточном водообеспечении следует изменениям солнечной радиации. Полуденной депрессии фотосинтеза практически не наблюдается. Различия в интенсивности фотосинтеза в течение дня характерны для растений, находящихся на открытых участках.
Расчет зависимости газообмена СО2 от солнечной радиации мы провели с использованием функции M. Monsi и T. Saeki (1953) по следующему уравнению:
NEE = a×Q/(1+b×Q) – c,
где Q обозначает интегральную солнечную радиацию (Вт м-2); a, b, c – коэффициенты.
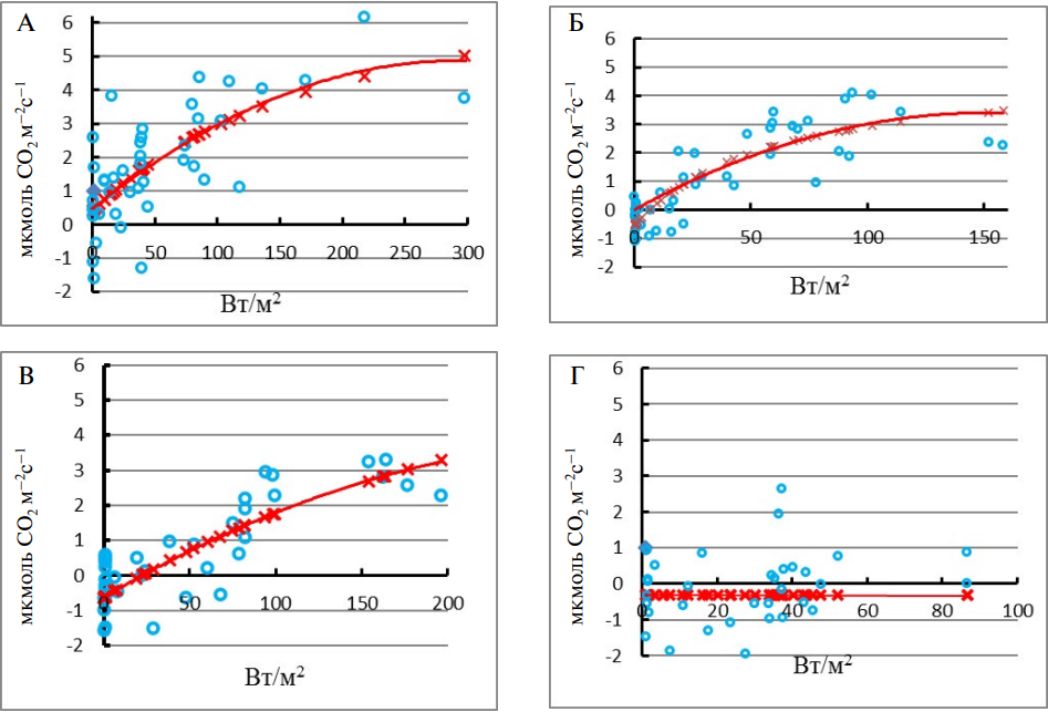
Для примера на рис. 1 показано выравненное по этому уравнению световое насыщение, когда интенсивность фотосинтеза при ПВПЛ, равном –1.0 и –1.2 МПа, составляет 4.5–3.5 мкмоль СО2 м–2с–1, при –1.5 МПа интенсивность фотосинтеза снижается до 3 мкмоль СО2 м–2с–1, а уже при достижении ПВПЛ –2.2 МПа интенсивность фотосинтеза становится практически нулевой (незначительное дыхание). По данным финских исследователей, нетто-ассимиляция при изменении водного потенциала у сосны обыкновенной от –0.0 до –0.5 МПа составляет 7.3 мкмоль СО2 м–2с–1, при –0.9 ÷ –1.1 МПа – уже 5.5 мкмоль СО2 м–2с–1, а при –1.6 ÷ –1.8 МПа – только 1.3 мкмоль СО2 м–2с–1 (Kellomäki, Wang, 1996).
Рис. 1. Зависимость интенсивности фотосинтеза хвои сосны текущего года от солнечной радиации под пологом леса в разных условиях водообеспечения: А – ПВПЛ = –1.0 МПа; Б – ПВПЛ = –1.2 МПа; В – ПВПЛ = –1.5 МПа; Г – ПВПЛ = –2.2 МПа. (Символ круг – экспериментальные значения; символ крест – расчетные значения).
Саженцы ели под пологом леса при оптимальном водообеспечении (–0.4 МПа) имели интенсивность фотосинтеза хвои текущего года при световом насыщении около 7 мкмоль СО2 м–2с–1. При –0.9 МПа интенсивность фотосинтеза стала несколько ниже, а интенсивность фотосинтеза при солнечной радиации 100 ÷ 150 Вт м–2 была 3 мкмоль СО2 м–2с–1. При более значительном недостатке влаги, при ПВПЛ, равном –1.4 МПа, газообмен уменьшается, и интенсивность фотосинтеза при световом насыщении составляет 2.5 мкмоль СО2 м–2с–1, а при ПВПЛ, равном –2.5 МПа, происходит практически полное прекращение фотосинтеза.
У саженца дуба под пологом леса при ПВПЛ, равном –1.6 МПа, интенсивность фотосинтеза выходит на световое плато при солнечной радиации 150 ÷ 200 Вт м–2 и фотосинтез составляет около 6 мкмоль СО2 м–2с–1. При ПВПЛ, равном –2.7 МПа, и радиации 100 Вт м–2 интенсивность фотосинтеза дуба достигает 3 мкмоль СО2 м–2с–1, при этом плато насыщения фотосинтеза светом было при 80 ÷ 120 Вт м–2. При ПВПЛ, равном –3.4 МПа, и радиации 20 Вт м–2 интенсивность фотосинтеза приближается к нулю, газообмен дуба уже не реагирует на изменение солнечной радиации.
Рассмотрим полученные данные на саженцах дуба, ели, сосны на открытых участках. У всех саженцев депрессия фотосинтеза с увеличением недостатка влаги наступала через меньший промежуток времени и при меньшей интенсивности солнечной радиации, а максимальная интенсивность фотосинтеза снижалась с увеличением недостатка водообеспечения (Молчанов, 1983, 2007; Молчанов и др., 1996). На открытом месте даже при незначительном недостатке водообеспечения в послеполуденное время уже наблюдается снижение интенсивности фотосинтеза.
Таким образом, на открытых участках дневной ход фотосинтеза не всегда следует интенсивности солнечной радиации, поступающей к листу. Большое количество исследователей придерживается мнения, что полуденная депрессия фотосинтеза в основном обусловлена нарушением водного режима растений.
Суточный ход интенсивности фотосинтеза дуба различается на открытом месте в дни с переменной облачностью и в дни со сплошной облачностью при различной степени водообеспеченности (Молчанов, Беляева, 2024). Дневных величин фотосинтеза дуба не наблюдается, интенсивность фотосинтеза следует изменениям солнечной радиации (рис. 2). Но уже с дальнейшим увеличением недостатка водообеспечения при ПВПЛ –1.0 в малооблачный день интенсивность фотосинтеза снижается в три раза, а при сплошной облачности – в два раза. Дальнейшее увеличение недостатка водообеспечения до –1.5 ÷ –1.8 МПа приводит к снижению фотосинтеза до минимальных значений, однако еще большее увеличение недостатка влаги: и –2.5, и –3.5, и даже –4 МПа – не приводит в дневное время к отрицательным значениям интенсивности фотосинтеза.
Рис. 2. Суточный ход интенсивности фотосинтеза (1) и солнечной радиации (2) дуба на открытом месте в дни с различной водообеспеченностью (ПВПЛ): при переменной облачности А, Г, Е, З и сплошной облачности Б, В, Д, Ж (по: Молчанов, Беляева, 2024).
Интенсивность фотосинтеза ели (рис. 3) в течение дня при относительно достаточном водообеспечении (ПВПЛ = –0.4 МПа) в малооблачный день, когда солнечная радиация становится выше 200 Вт м–2, имеет классический двугорбый ход фотосинтеза с провалом в полуденные часы. В день со сплошной облачностью полуденного провала не наблюдается, но несмотря на то, что интенсивность солнечной радиации ниже 200 Вт м–2, фотосинтез постепенно снижается. При снижении ПВПЛ до –0.8 ÷ –1.0 МПа и переменной облачности интенсивность фотосинтеза в полуденные часы снижается практически до нуля. В утренние и вечерние часы интенсивность фотосинтеза ниже, чем в дни с оптимальным водообеспечением.
Рис. 3. Суточный ход интенсивности фотосинтеза (1) и солнечной радиации (2) ели на открытых участках с различной степенью водообеспеченности (ПВПЛ). А, В, Г, Е – при переменной облачности, Б, Д, Ж – при сплошной облачности (по: Молчанов, Беляева, 2024).
При ПВПЛ, равном –1.2 ÷ –1.3 МПа, в дни с переменной облачностью интенсивность фотосинтеза ели в течение всего дня практически нулевая. В дни со сплошной облачностью интенсивность фотосинтеза наблюдается в утренние часы только при ПВПЛ, равном –1.3 МПа. При дальнейшем увеличении недостатка водообеспечения (ПВПЛ — –18 ÷ –2.0) фотосинтез как при переменной, так и при сплошной облачности колеблется в пределах нуля (рис. 3).
У сосны (рис. 4) дневные изменения фотосинтеза при оптимальном водообеспечении (–0.4 ÷ ÷ –0.5 МПа)достигают максимальных значений, полуденной депрессии фотосинтеза не наблюдается. Однако так же, как у ели, интенсивность после полудня незначительно снижается. При снижении водообеспечения до –1.2 МПа дневной ход фотосинтеза становится двугорбым, в полуденные часы интенсивность фотосинтеза снижается почти до нуля. В день с переменной облачностью интенсивность в утренние часы снижается более чем в два раза, а при сплошной облачности несколько меньше. Интенсивность фотосинтеза при ПВПЛ, равном –1.5 МПа, имеет положительные незначительные значения (–0.5 ÷ –1.5 мкмоль СО2 м-2с-1). С дальнейшим увеличением недостатка влаги интенсивность фотосинтеза сосны снижается еще в большей степени при достижении ПВПЛ, равного –1.8 МПа, даже до отрицательных значений (дыхание).
Рис. 4. Дневной ход интенсивности фотосинтеза (1) и солнечной радиации (2) саженца сосны в дни с различной водообеспеченностью (ПВПЛ): А, В, Д, Ж – при переменной облачности, Б, Г, Е, З – при сплошной облачности (по: Молчанов, Беляева, 2024).
Таким образом, на открытом месте фотосинтез всех древесных пород одинаково реагирует на изменения недостатка влаги (ПВПЛ). При водообеспечении –0.4 МПа все саженцы фотосинтезируют с максимальными значениями, и в полуденные часы не обнаруживается снижения интенсивности фотосинтеза. Но когда водообеспечение снижается до –1.0 МПа, интенсивность фотосинтеза уменьшается в два-три раза. В дни со сплошной облачностью снижение происходит несколько слабее, так как прямые солнечные лучи, под воздействием которых увеличивается температура листа, отсутствуют и не подавляется фотосинтез. Дальнейшее увеличение недостатка водообеспечения до –1.5 ÷ –1.8 МПа у всех пород приводит к снижению фотосинтеза до минимальных значений как в малооблачные, так и в пасмурные дни.
В естественных условиях зависимость фотосинтеза дуба, сосны и ели от ПВПЛ и солнечной радиации в течение дня различна. По этой причине мы оценили влияние этих параметров по среднедневной интенсивности.
На основе полученных экспериментальных данных были рассчитаны уравнения зависимости среднедневной интенсивности фотосинтеза (Ph) от среднедневной солнечной радиации и предрассветного водного потенциала. Коэффициенты уравнения подбирали с помощью программы Exсel (поиск решения).
Для всех саженцев под пологом леса использовали следующее уравнение:
Ph =( a*Q/(1+b*Q)–c)*(d* MPa^2+eMPa+f),
где Q – солнечная радиация; MPa – ПВПЛ (хвои), a, b, c, d, e, f – коэффициенты.
На открытом месте использовали следующие уравнения:
для дуба:
Ph= (a*Q/(1+b*Q) – c)*(d*Ln МПа +е));
для сосны и ели:
Ph= a*Q/(1+b*Q) - c)+(d* МПа2 +е МПа+f),
где MPa – ПВПЛ (хвои), Q – солнечная радиация.
Полученные для этих уравнений коэффициенты представлены в таблице.
Таблица. Коэффициенты к уравнениям выравнивания зависимости среднедневной интенсивности фотосинтеза от среднедневной солнечной радиации в разных условиях водообеспеченности под пологом древостоя
a | b | c | d | e | f | ||
Дуб | в лесу | 3.4284 | 6.49047 | 3.9337 | –0.3931 | 1.32452 | 4.79404 |
на открытом месте | –0.0581 | 3.8024 | –0.3558 | –9.2916 | 12.5539 | ||
Ель | в лесу | 209.263 | 74.6854 | –46.274 | –0.7247 | –10.303 | –44.83 |
на открытом месте | –12.9141 | 5.5454 | –2.3659 | –69.5034 | 33.248 | ||
Сосна | в лесу | –4.6715 | 5.001 | 7.2116 | –3.787 | –11.2085 | 1.54318 |
на открытом месте | –12.8447 | 26.528 | –5.663 | 3.0091 | –10.3 | 4.7029 | |
Под пологом древостоя и на открытом месте в связи с разными условиями прихода солнечной радиации зависимость фотосинтеза от водообеспечения различна у исследуемых пород и представлена на рис. 5.
Рис. 5. Зависимость среднедневной интенсивности фотосинтеза от водообеспеченности (ПВПЛ) для саженцев, произрастающих под пологом древостоя: А – ель, В – сосна, Д – дуб, зависимость среднедневной интенсивности фотосинтеза от водообеспеченности (ПВПЛ) для саженцев, произрастающих на открытом месте: Б – ель, Г – сосна, Е – дуб.
Так, у ели, которая более требовательна к влагообеспеченности, в лесу интенсивность фотосинтеза снижается до нуля при ПВПЛ, равном –2.4 МПа, тогда как на открытом месте – при ПВПЛ, равном –1.5 МПа. Такое различие обусловлено тем, что на открытом месте прямые солнечные лучи перегревают хвою и тем самым значительно усиливают полуденный водный потенциал, подавляя фотосинтез.
У сосны также наблюдается различие в требовательности к водообеспечению, снижение фотосинтеза до нуля под пологом леса при ПВПЛ, равном –2.2 МПа, а на открытом месте – при –1.8 МПа, т.е. различие не такое большое, как у ели.
У дуба требовательность к водообеспечению под пологом леса и на открытом месте (снижение фотосинтеза до нуля) практически не различается, фотосинтез снижается до нуля в обоих условиях произрастания при ПВПЛ, равном –3.5 МПа. Однако под пологом леса интенсивность фотосинтеза дуба меньше, чем на открытом месте, в три раза, у сосны в два раза, тогда как у ели практически одинакова.
Таким образом, на открытых участках у дуба интенсивность фотосинтеза снижается в два раза при достижении –1.1 МПа, а у сосны и ели – при –0.8 МПа. Интенсивность фотосинтеза падает до нуля у дуба при ПВПЛ, равном –3.0 МПа, у сосны – при –1.6 ÷ –1.8 МПа, у ели – при –1.5 МПа. Однако при таких показателях сеянцы будут не сразу погибать, а через какое-то время, в зависимости от расхода ассимилятов, накопленных за предыдущий период. Так, в наших условиях на открытом месте даже через 5 суток с недостаточным водообеспечением, когда ПВПЛ был –1.6 МПа, интенсивность фотосинтеза сосны восстановилась сразу после полива (рис. 6). Однако по данным J. Clark (1961), пихта бальзамическая (Abies balsamea) после недельного пребывания при влажности почвы ниже уровня устойчивого завядания после полива восстанавливает интенсивность фотосинтеза только частично, в представленном случае около 20%. Теневые растения реагируют на небольшие потери воды по сравнению с растениями солнечных местообитаний (Лархер, 1978).
Рис. 6. Дневной ход солнечной радиации и фотосинтеза сосны, когда произведен полив в 13 ч. после 5-суточного периода с недостаточным водообеспечением ПВПЛ в –1.6 МПа; после полива ПВПЛ равен 0.4 МПа.
Заключение
Под пологом древостоя и на открытом месте в связи с разными условиями прихода солнечной радиации зависимость фотосинтеза от водообеспеченности у исследуемых пород различна.
Полученные данные подтверждают следующее положение лесоводов: из этих пород наиболее устойчив к недостатку влаги дуб, затем сосна и ель. При этом ель лучше себя чувствует под пологом древостоя, тогда как в таких световых условиях хуже всего растет дуб, затем сосна.
При рубках главного пользования, если в предыдущий период был длительный период без осадков и у подроста ПВПЛ был ниже –1.5 МПа, нежелательно проводить рубку с оставлением подроста, так как в новых световых условиях он, скорее всего, погибнет. Считаем, что при выращивании сеянцев на открытых участках необходимо поливать растения, когда ПВПЛ сеянцев достигнет критической точки (снижения фотосинтеза до нуля).
Автор статьи выражает благодарность к.б.н. А.И. Гурцеву за организацию полевых исследований и техническую помощь в их проведении, а также за участие в обсуждении результатов.
Об авторах
А. Г. Молчанов
Институт лесоведения РАН
Автор, ответственный за переписку.
Email: a.georgievich@gmail.com
Россия, ул. Советская, д. 21, с. Успенское, Московская обл., 143030
Список литературы
- Алексеев В.А. Световой режим леса. Л.: Наука, 1975. 227 с.
- Бештоева О. Инструкция по сохранению подроста и молодняка хозяйственно ценных пород при разработке лесосек и приемке от лесозаготовителей вырубок с проведенными мероприятиями по восстановлению леса. Утверждена приказом Гослесхоза СССР от 8 декабря 1983 г. № 147 // Государственный комитет СССР по лесному хозяйству. М., 1984.
- Карпов В.Г., Пугачевский А.В., Трескин П.П. Возрастная структура популяций и динамика численности ели // Факторы регуляции экосистем еловых лесов. Л.: Наука, 1983. С. 35–62.
- Лархер B. Экология растений. М.: Мир, 1978. 384 с.
- Мелехов И.С. Лесоводство. М.: Изд-во Московского государственного университета леса, 2003. 320 с.
- Молчанов А.А. Гидрологическая роль леса. М.: Изд-во АН СССР, 1960. 487 с.
- Молчанов А.Г. Экофизиологическое изучение продуктивности древостоев. М.: Наука, 1983. 136 с.
- Молчанов А.Г. Баланс СО2 в экосистемах сосняков и дубрав в разных лесорастительных зонах. Тула: Гриф и К, 2007. 284 с.
- Молчанов А.Г. Мониторинг эколого-физиологических показателей в экосистемах // Серебряноборское опытное лесничество: 65 лет лесного мониторинга. М.: Товарищество научных изданий КМК, 2010. С. 112–130.
- Молчанов А.Г. СО2 древостоев в естественных условиях // Фотосинтетическая деятельность и продукционные процессы фитоценозов. Орел: Орел ГАУ, 2014. Вып. 1. С. 63–88.
- Молчанов А.Г. Газообмен сфагнума при различных уровнях поверхностных грунтовых вод // Экология. 2015. № 3. С. 182–-188.
- Молчанов А.Г. Зависимость газообмена болотного сосняка пушицево-сфагнового от уровня почвенно-грунтовых вод // Вестник ПГТУ. 2016. № 2 (30). С. 82–94.
- Молчанов А.Г. Предрассветный водный потенциал как показатель влагообеспеченности древостоев // ПЭММЭ. 2018. Т. ХХIX. № 3. С. 73–92.
- Молчанов А.Г., Беляева Е.А. Влияние недостатка водообеспечения на фотосинтез саженцев, произрастающих на открытых участках // Лесоведение. 2024.
- Молчанов А.Г., Молчанова Т.Г., Мамаев В.В. Физиологические процессы у сеянцев дуба черешчатого при недостатке влаги // Лесоведение. 1996. № 1. С. 54–64.
- Придача В.Б., Ольчев А.В., Сазонова Т.А., Тихова Г.П. Параметры СО2/Н2О-обмена древесных растений как инструмент мониторинга и оценки состояния природной среды // Успехи современного естествознания. 2019. № 11. С. 25–30.
- Придача В.Б., Тихова Г.П., Сазонова Т.А. Влияние абиотических факторов на водообмен хвойного и лиственного древесных растений // Труды Карельского научного центра Российской академии наук. 2018. № 12. С. 76–86.
- Рахи М.О. Аппаратура для исследований компонентов водного потенциала листьев // Физиология растений. 1973. Т. 20. № 1. С. 215–221.
- Раунер Ю.Л. Тепловой баланс растительного покрова. Л.: Гидрометеоиздат, 1972. 210 с.
- Скуратов И.В., Крюкова Е.А. Влияние высоких температур на состояние древесных растений и их патогенов в защитных насаждениях Нижнего Поволжья // Вестник Поволжского государственного технологического университета. Серия: Лес. Экология. Природопользование. 2015. № 2 (26). С. 37–43.
- Сазонова Т.А., Болондинский В.К., Придача В.Б., Новичонок Е.В. Влияние водного дефицита листа на фотосинтез березы повислой // Международный журнал прикладных и фундаментальных исследований. 2016. № 10-4. С. 595–597.
- Сазонова Т.А., Болондинский В.К., Придача В.Б. Влияние водного дефицита хвои сосны обыкновенной на фотосинтез в условиях достаточного почвенного увлажнения // Лесоведение. 2017. № 4. С. 311–318.
- Слейчер Р. Водный режим растений. М.: Мир, 1970. 365 с.
- Слемнев Н.Н. Прирост фитомассы и фотосинтез хвои в сосновых древостоях различных полнотитипов леса: дис. ... кандидата биологических наук: 03.00.00. Л., 1969. 175 с.
- Тихова Г.П., Придача В.Б., Сазонова Т.А. Влияние температуры и относительной влажности воздуха на динамику водного потенциала деревьев Betula pendula (Betulaceae) // Сибирский лесной журнал. 2017. № 1. С. 56–64.
- Цельникер Ю.Л., Выгодская Н.Н. Коэффициент экстинкции для потоков фотосинтетически активной радиации в пологе древостоев и травянистых фитоценозов // Лесоведение. 1971. № 6. С. 68–71.
- Цельникер Ю.Л. Физиологические основы теневыносливости древесных растений. М.: Наука, 1978. 215 с.
- Цельникер Ю.Л. Радиационный режим под пологом леса. М.: Наука, 1969. 100 с.
- Цельникер Ю.Л., Малкина И.С., Ковалев А.Г., Чмора С.Н., Мамаев В.В., Молчанов А.Г. Рост и газообмен СО2 у лесных деревьев. М.: Наука, 1993. 256 с.
- Bauerle W.L., Whitlow T.H., Setter T.L., Bauerle T.L. Vermeylen F.M. Ecophysiology of Acer rubrum seedlings from contrasting hydrologic habitats: growth, gas exchange, tissue water relations, abscisic acid and carbon isotope discrimination // Tree Physiology. 2003. V. 23. № 12. P. 841–850.
- Bosian G. Relationship between stomatal aperture, temperature, illumination, relative humidity and assimilation determined in the field by means of controlled environment plant chambers // Functioning of Terrestrial Ecosystems at the Primary Production Level: UNESCO Natural Resources Research Series. Copenhagen, 1968. V. 5. P. 321-328.
- Clark J. Photosynthesis and respiration in white spruce and balsam fir. State University College of Forestry. Syracuse, New York, 1961.
- Edwards N.N., Sollins P. Continuous measurement of carbon dioxide evolution from partitioned forest floor components // Ecology. 1973. V. 54. № 2. Р. 406–412.
- Kaufmann M.R. Stomatal response of Engelmann spruce to humidity, light, and water stress // Plant Physiology. 1976. V. 57. P. 898–901.
- Kellomäki S., Wang K.Y. Photosynthetic responses to needle water potentials in Scots pine after a four-year exposure to elevated CO2 and temperature // Tree Physiology. 1996. V. 16. P. 765–772.
- Monsi M., Saeki T. Uber den Lichtfaktor in den Pflanzengesellschaften und seine Bedeutung fur diе Stoffproduction // Japanese Journal of Botany. 1953. V. 14. № 1. P. 22–55.
- Ronco F. Influence of high light intensity on survival of planted Engelmann spruce // Forest Science. 1970. V. 16. P. 331–339.
- Stoker O. Die photosynthetischen Leistungen der Steppen und Wüstenpflanzen // Handbuch für der Pflanzenphysiologie. Ser. B. Springer. 1960. Bd 5. H. 2. S. 460–491.
- Xu L., Baldocchi D.D. Seasonal trends in photosynthetic parameters and stomatal conductance of blue oak (Quercus douglasii) under prolonged summer drought and high temperature // Tree Physiology. 2003. V. 23. P. 865–877.
Дополнительные файлы









