Effect of Moose Urine on the Chemical Profile of Soils in a Taiga Ecosystem
- Authors: Skopin A.E.1, Lipatnikova S.V.1
-
Affiliations:
- Zhitkov Russian Research Institute of Game Management and Fur Farming
- Issue: No 5 (2024)
- Pages: 575-588
- Section: RESEARCH
- URL: https://journals.rcsi.science/0024-1148/article/view/282049
- DOI: https://doi.org/10.31857/S0024114824050111
- EDN: https://elibrary.ru/OWAOWI
- ID: 282049
Cite item
Full Text
Abstract
The assessment of animals’ participation in the cycles of biogenic compounds allows to determine the key importance of species in the functioning of ecosystems and the strength of ecological connections within the biome. Such studies are especially relevant in the vast zone of boreal forests with diverse herbivore communities. The direct impact of wild ungulates on the chemical composition of a soil occurs primarily through feces and urine. The purpose of our study is to assess changes in the chemical composition of the soil under the influence of urine of the largest taiga herbivore – moose (Alces alces) in the north-east of the European part of Russia. During the period of snow melting, winter moose urine spots were marked on an overgrown field with a mosaic of tree-shrub vegetation. Soil samples were taken in two horizons (0–5 cm and 5–20 cm) under the points of moose urination and in the control. Standard soil indicators were analyzed: pH, organic matter content, NH4+, NO3–, P2O5, K2O, Ca, Mg. The decrease in acidity, high concentration of potassium oxide and some nitrogen-containing compounds were noted in the spring soil samples taken under the winter urinary patches. In particular, the concentration of ammonium in the soil under the influence of moose urine is 350% higher than the control soil location. Maximum changes in the chemical profile from the presence of urine was found in the uppermost soil horizon. The local concentrations of chemicals on the urinary patch create an anomalous soil chemical spot. By autumn, according to many indicators, the concentrations of urinary substances in the affected soil decrease to the background level, that is, rapid degradation and transformation of urine components occur in the soil during one warm growing season. No significant differences in the concentration of organic matter, calcium and magnesium in the soil were found between the soil samples from moose urinary patches and the control. It is calculated that all population groups of moose in Russia annually excrete 3.85 Mt of urine over a total area of about 700 km2. The moose excretions increase the heterogeneity of the soil profile and contribute to the intensification of biogeochemical cycles.
Keywords
Full Text
История формирования и существование бореальных лесных экосистем в рамках мозаично-циклической концепции и концепции комплементарности во многом связана с жизнедеятельностью гетеротрофных организмов и, в частности, таких ключевых видов, как крупные фитофаги (The Mosaic - cycle concept …, 1991; Смирнова и др., 1999; Орлова и др., 2011; Смирнова и др., 2021). Крупные фитофаги выступают в качестве выраженного зоогеохимического фактора в экосистеме, в том числе через участие в пищевых сетях, связанных с циклом формирования и разложения детрита (Leroux et al., 2020).
Лось – самый крупный представитель оленьих лесной зоны. Это типичный дендрофаг (браузер), обитание которого неразрывно связано с различными типами лесных сообществ. Лось обычно ведет семейный или одиночный образ жизни, поэтому его роль в экосистемах не всегда ярко заметна, в отличие от стадных видов копытных. И только в зимний период года, когда лоси часто концентрируются на ограниченных участках местности, иногда называемых стойбищами (Язан, 1972), можно наблюдать сильное и во многом негативное воздействие на лесную растительность (Козловский, 1960; Тимофеева, 1974). При ежегодном интенсивном использовании лосями одних и тех же кормовых участков происходит значительное изменение состава и структуры подлеска и подроста (Смирнов, 1987). Однако воздействие лося не ограничивается изменением характеристик растительного покрова. В тех биотопах, где активность копытного максимальна по времени, наблюдается более обильное выделение экскрементов. Лось, локально перемещаясь, способствует переносу экскрементов, обогащающих питательными веществами подстилку, по разным лесным сообществам в пределах своего индивидуального участка (Тимофеева, 1974).
Биогеоценотическое воздействие лося на различные компоненты ландшафта исследуется уже довольно давно. В частности, на примере американского лося (Alces americanus) показано, что он, как ключевой вид в экосистеме, участвует в деструкционных процессах и может заметно изменять химический ландшафт растительных сообществ и почв (Molvar et al., 1993; Pastor et al., 1993, 1998; Kielland, Bryant, 1998; Butler, Kielland, 2008; Pastor, 2016; Ellis, Leroux, 2017). По европейскому лосю подобные исследования немногочисленны (Persson et al., 2005; Kolstad et al., 2018, 2019). Большинство работ было нацелено на выявление роли лосиных экскрементов, которые создают локальный пул химических элементов в почвенных горизонтах экосистемы (Гусев, 1984, 1989; Пилипко, 2005; Guernsey et al., 2015).
На порядок меньше исследований, касающихся воздействия мочи диких копытных на биогеохимический профиль почвы. Во многом это связано с тем, что с мочой травоядных млекопитающих в почву поступает значительно меньше макроэлементов, чем с пометом (Пахомов, 1998). Тем не менее известно, что моча лося содержит высокую концентрацию микро- и макроэлементов (Кочанов и др., 1981; Вебер и др., 1992; Scopin, Rukavishnikova, 2007). По исследованию других видов млекопитающих известно, что внесение мочи может существенно изменять химический состав почвы и биомассу растительности, особенно в местах постоянного обитания и высокой плотности млекопитающих (Day, Detling, 1990; Haynes, Williams, 1993; Hobbs, 1996; Somda et al., 1997; Пахомов, 1998; Frank et al., 2004; Selbie et al., 2015).
Цель нашего исследования состояла в сравнительной оценке химического состава почв с фоновой территории (контроль) и под зимними точками уринации лося. Это позволит выяснить значение мочи как источника, предопределяющего формирование мозаичности в химическом профиле почвенного покрова таежной экосистемы.
ОБЪЕКТЫ И МЕТОДИКА
Опытный участок. Опыты проводили в 2021 г. в пределах НООХ ФГБНУ «Всероссийский научно-исследовательский институт охотничьего хозяйства и звероводства имени профессора Б.М. Житкова», располагающегося в подзоне южной тайги в Зуевском районе Кировской области.
Образцы проб почвы собраны на разных участках однородного по структуре растительности зарастающего поля общей площадью около 80 га, ранее используемого для посева зерновых культур, а впоследствии – для выпаса скота. Древесно-кустарниковая растительность распространена мозаично. Общее проективное покрытие сосны обыкновенной (Pinus sylvestris L.) составляет 15%, березы повислой (Betula pendula) – 5%, встречаются отдельные деревья ели сибирской (Picea obovata). Высота большинства деревьев не превышает 7–8 м. Кустарниковый ярус слабо выражен и представлен разрозненно растущими ивой козьей (Salix caprea L.), ивой пурпурной (S. purpurea L.), ивой филиколистной (S. phylicifolia). В период вегетации густой напочвенный покров включает более 50 видов трав. Покрытие мохового покрова не превышает 10%. Доминирующий тип почвы – трансформированные иллювиально-железистые подзолы с хорошим промывным режимом и легким гранулометрическим составом. Окружающая растительность – спелый смешанный елово-сосновый и березово-еловый лес.
Отбор образцов. В марте отмечали участки концентрации лосей. В период стаивания снега (конец апреля-начало мая) проводили поиск точек уринации лосей и их маркировку. Точки уринации легко обнаружить в местах массовой дефекации лосей, либо непосредственно на поверхности снегового покрова, либо на поверхности подстилки сразу после стаивания снега, поскольку на пятнах мочи начинают быстро развиваться плесени и аскомицеты. Нами выбрано 9 независимых наиболее крупных пятен уринации лося, под которыми в дальнейшем отбирали образцы почв.
Во второй половине мая выполнили отбор образцов в виде прикопок на глубину до 20 см прямо посередине мочевой точки. На расстоянии 1.5–2.0 м от нее выполняли прикопку на фоновом участке (контроль). Выбранная глубина отбора образца определяется тем, что именно этот горизонт на легких песчаных почвах наиболее полно осваивают корни растений под сосновыми сообществами и их производными в подзоне южной тайги (Орлов, 1991). Эта же глубина почвенных горизонтов вполне достаточна для демонстрации влияния мочи на почву, выполненной на примере домашних животных, так как глубже в почву она редко проникает в большом объеме (Thomas et al., 1988; Haynes, Williams, 1993; Somda et al., 1997).
После отделения слоя подстилки каждую прикопку разделяли на два почвенных слоя (горизонта) – 0–5 см и 5–20 см. Из каждого горизонта был взят образец почвы объемом до 500 г. Всего в мае было выполнено 10 прикопок (5 – на мочевых точках и 5 – на фоновых участках) и проанализировано 20 образцов почвы. В конце сентября провели аналогичный отбор образцов почвы на замаркированных с весны точках уринации лося и на фоновой территории. Всего было выполнено 8 прикопок (4 – на мочевых точках и 4 – на фоне) и проанализировано 16 образцов почвы. Расстояние между разными парами (опыт-контроль) прикопок составляло от 20 до 100 м.
Химический анализ. Методы подготовки и анализ почвенных образцов выполнены в соответствии с принятыми методологическими подходами (Растворова и др., 1995; Воробьева, 2006). В образцах почвы по действующим ГОСТ определены стандартные почвенные показатели: pH, P2O5 (мг/кг), K2O (мг/кг) и NH4+ (мг/кг) – с помощью фотоэлектроколориметра, NO3– (мг/кг) – с помощью ионоселективного электрода, органическое вещество (%) – фотометрически, Са (ммоль/100 г) и Mg (ммоль/100 г) определены атомно-абсорбционным методом.
Результаты химического анализа обработаны в программе Statistica. Для определения статистической значимости различий между химическими компонентами почв с мочой лося и контрольными образцами использован критерий Стьюдента (t - test для независимых групп).
РЕЗУЛЬТАТЫ И ОБСУЖДЕНИЕ
Органическое вещество. В почве между мочевыми точками лося и контролем не обнаружено значимых отличий в концентрации органического вещества (рис. 1). На точках уринации весной содержание органического вещества в верхнем горизонте почвы варьирует от 1.7 до 3.6%, а на фоновых точках – от 1.6 до 3.9%. Однако отмечено естественное, более высокое (в 1.7–1.8 раза) содержание органического вещества в верхнем горизонте почвы по сравнению с нижним. Выявлены сезонные отличия: весной концентрация органического вещества в почве в среднем больше, чем осенью. На мочевых точках в мае средняя концентрация органического вещества в верхнем горизонте составила 2.6%, а в сентябре – 2.4%, на фоновых точках соответственно 2.5 и 2.1%.
Рис. 1. Содержание органического вещества и pH почвы на мочевых точках лося и на фоновой территории (контроль).
pH. Этот показатель почвы наиболее изменчив под воздействием поступившей мочи лося. После просачивания мочи кислотность почвы значительно снижается и pH почвы начинает приближаться к нормальной. В верхнем горизонте почвы повышенный показатель pH наиболее заметен по сравнению с более глубокими горизонтами, где концентрация поступившей мочи невелика. В мае в верхнем горизонте почвы на точках уринации pH варьирует от 5.5 до 6.8, а на фоновой точке (контроль) – от 5.3 до 5.7. Эти различия значимы (t = 3.29, df = 8, p = 0.011). В нижнем горизонте эти показатели варьируют от 5.3–5.7 на мочевых точках до 4.7–5.4 на контроле. В течение вегетационного периода кислотность почвы начинает постепенно повышаться, и к осени pH почвы на мочевых и фоновых точках уже не отличается. В нижнем горизонте pH в некоторых образцах к осени снижается до величины 4.2 (рис. 1).
Подвижные фосфаты. На мочевых точках лося в весенний период концентрация фосфатов в среднем немного выше, чем осенью (рис. 2), но различия этих показателей из-за малой выборки статистически незначимы. В верхнем горизонте концентрация фосфатов в мае составила от 26 до 204 мг/кг, а в сентябре – от 73 до 129 мг/кг. Разница в концентрации фосфатов между проанализированными почвенными горизонтами незначительна (не более чем в два раза). Осенью уровень фосфатов на мочевых точках не отличался от фона. Максимальное содержание фосфатов в почве, отмеченное на точках уринации осенью, – 120 мг/кг, а в контроле – 153 мг/кг. На фоновой территории не выявлено заметных отличий в концентрации подвижных фосфатов весной и осенью, а также между поверхностными и более глубокими горизонтами почвы.
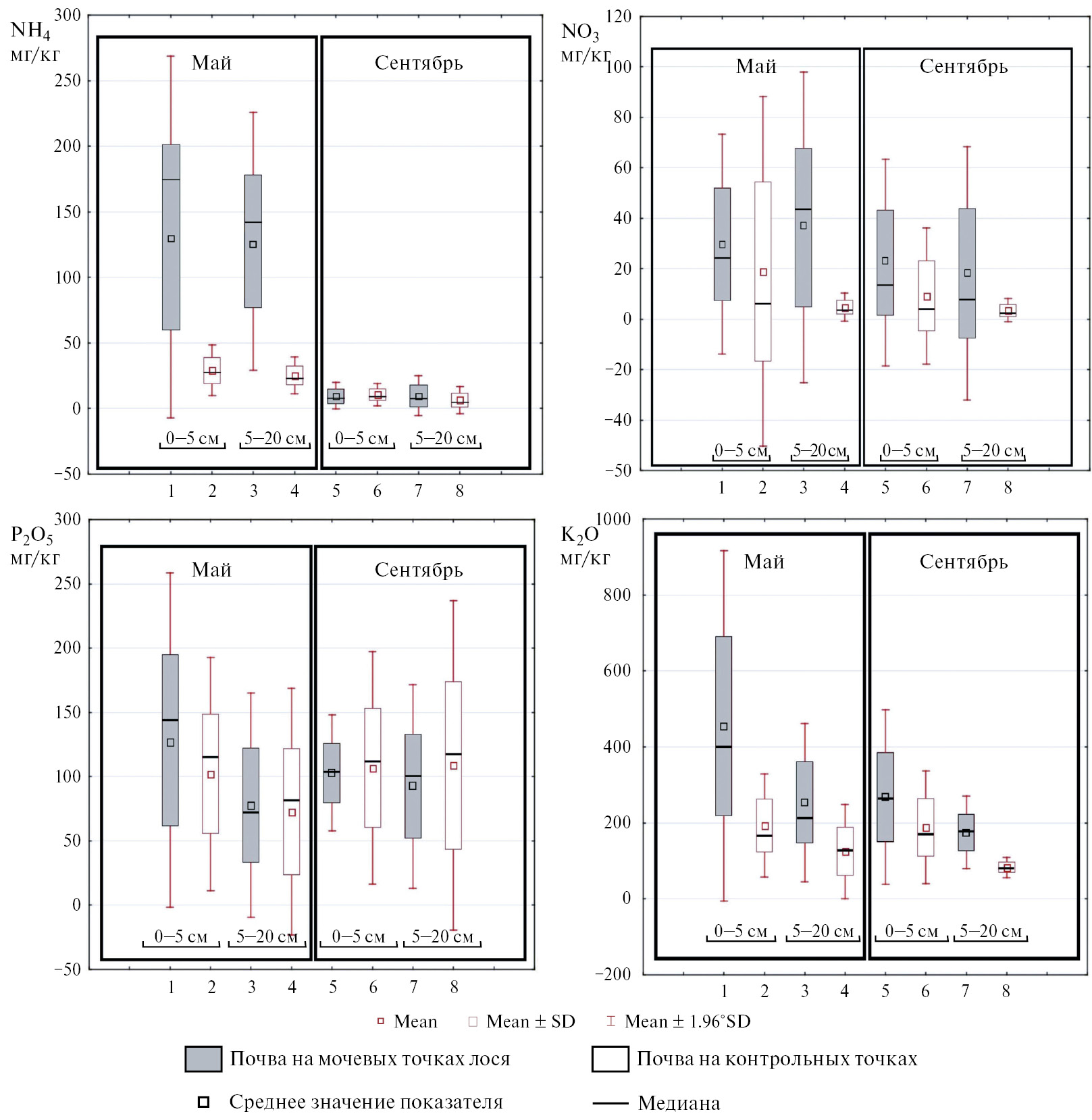
Рис. 2. Содержание азотных соединений, фосфатов и калия в почве на мочевых точках лося и на фоновой территории (контроль).
Азотсодержащие соединения – основной компонент мочи, изменяющий химический состав почвы. Показатели аммония и нитрат-ионов в почве на мочевых точках лося обычно резко контрастируют с их концентрацией на фоновых участках зарастающего поля.
Содержание NO3– в верхнем горизонте почвы в весенний период достаточно высокое и сильно варьирует как на мочевых точках (1.3–53.1 мг/кг), так и на фоновой территории (1.9–82.3 мг/кг) (рис. 2). В нижнем горизонте почвы на фоновой территории концентрация нитратов заметно ниже (2.3–9.1 мг/кг). Однако средний показатель концентрации NO3– на мочевых точках в мае выше контрольных в нижнем горизонте почвы примерно в 6 раз, а в верхнем горизонте – не более чем 2 раза. На экспериментальном участке почва характеризуется отсутствием мощной подстилки, слабой буферностью, высокой порозностью, что способствует проникновению фракций мочи в более глубокие горизонты. Неравномерность распределения нитратов в почвах связана с поступлением их из биологического опада животного и растительного происхождения. В первую очередь накопление повышенных концентраций этих веществ происходит в пониженных участках микрорельефа после стаивания снегового покрова, содержащего жидкие фракции разных органических соединений.
В сентябре на мочевых точках в верхнем горизонте концентрация нитратов, по сравнению с весенними образцами почв, снизилась незначительно – не более чем в 1.3 раза, но в нижнем горизонте уровень нитратов сократился в два раза. По средним показателям концентрации NO3– отличия между верхним и нижним горизонтами на точках уринации незначительны и статистически незначимы как в мае, так и в сентябре. Различия по концентрации нитратов в почве на мочевых точках, по сравнению с контролем, наиболее отчетливо проявляются осенью. В этот период содержание нитратов на мочевых точках лося заметно выше, чем в контроле, хотя из-за сильного варьирования NO3– различия между этими показателями недостоверны.
Несколько иная картина наблюдается в распределении катионов аммония в структуре почвенного профиля (рис. 2). В весенний период на мочевых точках лося наблюдается очень высокая концентрация аммония, превышающего обычные показатели для экосистемы в 20–30 раз. Уровень аммония на многих проанализированных мочевых точках превышает 180 мг/кг по всему проанализированному профилю почвы. В контроле концентрация аммония низка и в весенний период достигает лишь 44.7 мг/кг в верхнем горизонте почвы. Различия по концентрации аммония в верхнем горизонте почвы на мочевых точках и в контроле статистически значимы (t = 3.20, df = 8, p = 0.013). На точках уринации в течение летнего вегетационного периода происходит практически полная утилизация поступившего в почву аммония, и осенью его концентрация незначительно отличается от таковой, наблюдаемой на фоновой территории. В проанализированных горизонтах почвы на мочевых точках в сентябре концентрация аммония варьирует от 4.0 до 21.1 мг/кг, а на фоновой территории находится в пределах 3.2–17.0 мг/кг.
В целом средние показатели концентрации аммония в обоих горизонтах почвы в мае на точках уринации отличаются от контрольных в 4.5–5.0 раз, а в сентябре – до 1.5 раз. Разница в содержании NH4+ между верхним и нижним горизонтами на мочевых точках в мае составила в среднем 20.6 мг/кг, тогда как в контроле эта разница была всего 4.6 мг/кг. В сентябре отличия сглаживаются: на мочевых точках разница по концентрации аммония между почвенными слоями составила 7.8 мг/кг, в контроле – 4.1 мг/кг.
Калий. Содержание подвижного калия в почвах на мочевых точках лося в среднем выше, чем на фоновой территории (рис. 2). Особенно это заметно в весенний период: максимальная концентрация калия в верхнем горизонте почвы достигает на мочевых точках 859 мг/кг, на фоновой территории – 308 мг/кг (различия значимы: t = 2.40, df = 8, p = 0.043). На всех точках отбора образцов концентрация калия в верхнем горизонте почвы выше, чем в нижнем (в мае – в 2.0–2.4 раза, в сентябре – в 1.4–2.1 раза). Однако эти различия между почвенными горизонтами статистически незначимы.
Магний и кальций. Уровень содержания магния и кальция в почвах на мочевых точках лося и на фоновой территории сходен (рис. 3). Концентрация кальция в почве слабо варьирует по сезонам. На мочевых точках по профилю концентрация кальция составляет 2.3–10.4 мг/кг, на фоновой территории – 2.5–10.9 мг/кг. Концентрация магния на мочевых точках варьирует от 0.9 до 1.8 мг/кг, на контроле – от 0.6 до 1.8 мг/кг. В верхнем горизонте почвы содержание кальция выше, чем в нижнем горизонте, но это превышение незначительно (в 1.2–1.4 раза). По уровню магния не выявлено значимых отличий в пределах анализируемого профиля почвы.
Рис. 3. Содержание магния и кальция в почве на мочевых точках лося и на фоновой территории (контроль).
Почвы бореальной зоны по структуре, физическим и химическим свойствам имеют высокую мозаичность горизонтального расчленения и выраженную неоднородность по вертикальному профилю (Карпачевский, 1977). Чем больше на территории ландшафтных разностей, сильнее варьирование рельефных образований разного масштаба, выше представленность разнородными растительными сообществами и богатством фауны, тем сильнее проявляются в почвенном покрове мозаичность и неоднородность. Удобрение почвы навозом и мочой животных является частью эндогенного нарушения экосистемы (Бобровский, 2010), что также заметно повышает гетерогенность местообитания.
Моча лося – жидкое вещество зелено-желтого цвета летом и желтого или красновато-желтого зимой (Кнорре Е.П., Кнорре Е.К., 1959). У лося моча имеет нейтральную среду (Вебер и др., 1992), хотя есть указания на то, что она может быть слабощелочной и кислой. Зимой по средним показателям моча лося на европейском северо-востоке имеет pH 6.1 (Кочанов и др., 1981). В нашем исследовании весной максимальный показатель pH в верхнем горизонте почвы под точкой уринации лося составил 6.8, тогда как на фоновой территории он не превышал 5.7. Это говорит о том, что моча лося на экспериментальном полигоне имела более щелочной характер, о чем было известно из литературы (Кочанов и др., 1981). В целом подщелачивание, в том числе и за счет мочевых точек животных, уменьшает сорбционные свойства почв, как и промораживание, и способствует дополнительному накоплению, например, азотных соединений (Безносиков, 2001).
Почвы с легким гранулометрическим составом обладают высокой степенью порозности, что предопределяет более легкое проникновение органических соединений в глубокие горизонты, поэтому pH почвы сразу увеличивается после внесения мочи (Bronson et al., 1999) и может сохраняться достаточно долго даже при частых осадках (Somda et al., 1997). Тем не менее после попадания мочи самое высокое варьирование и резкое изменение показателя pH наблюдается в самом поверхностном слое почвы (Thomas et al., 1988). В весенних образцах почвы под мочевыми точками лося повышенный уровень pH наблюдался даже в нижнем горизонте. Здесь максимальный показатель pH = 6.5. К осени происходит постепенное восстановление уровня кислотности почвы под зимними мочевыми точками лося до уровня, соответствующего фоновому состоянию, что связано с функционированием процессов гумификации, выделениями растений и с жизнедеятельностью ряда таксономических групп грибов, которые ответственны за выработку органических кислот (Шамрикова, 2013).
Круговорот азота в экосистемах нашей планеты является вторым по значимости после углерода и хорошо количественно описан (McNeill, Unkovich, 2007; Follett, 2008; Dolman, 2019). Азот – один из наиболее лимитированных химических элементов в почве, определяющий во многом степень продуктивности таежных лесов (Попова, 1983). Дефицит азота в дерново-подзолистых почвах этих лесов является следствием недостатка тепла, избытка влаги, короткого вегетативного сезона, незначительной микробиологической активности, замедления процессов разложения и синтеза органического вещества (Безносиков, 2001). Кроме того, наблюдаются потери почвенного азота в результате выноса растительного материала из экосистемы при рубках леса и в результате пожаров (Меняйло и др., 2018), за счет выноса в результате жизнедеятельности растений, вымывания и денитрификации (Безносиков, 2001). С другой стороны, при локальном избытке азота может наблюдаться токсический эффект, направленный на флору и почвенные микроорганизмы, но на мочевых точках лося это не выявлено. Поверхностный слой подстилки под мочевыми точками лося служит хорошей питательной средой для развития аскомицетов, бурное плодоношение которых наблюдается на мочевых точках этого копытного в весенний период. При разложении растительной органики большое количество азота закрепляется именно в мицелии грибов (Заварзин, 2004).
В целом моча диких копытных, как и экскременты, может быть одним из главных потоков поступления азота в экосистему (Hobbs, 1996; Frank et al., 2004; Guernsey et al., 2015). При этом азот мочи представлен в форме, легкодоступной для растений и разных представителей почвенной микрофлоры, в которых азот активно иммобилизируется (Hobbs, 1996). В зимний период аммиачный азот в моче лося преобладает – аммоний составляет около 60% катионного состава мочи (Вебер и др., 1992), что связано с древесно-кустарниковой диетой этого копытного. Именно поэтому концентрация катионов аммония в весенних почвах под мочевыми точками лося имеет крайне высокие показатели (рис. 2). Высокие концентрации NH4+ после попадания мочи в почву – это обычное явление, но часть этих катионов связывается с органическими коллоидными частицами почвы и даже с глинами (Haynes, Williams, 1993). Повышенное содержание аммония в почве мочевых точек лося весной было значительно выше, чем осенью. В начале осени концентрация катионов аммония в почвах под зимними мочевыми точками лося снижается до фонового уровня (рис. 2). Сходное явление отмечено и в других исследованиях. Например, концентрация аммония в почве после внесения туда мочи овец приближается к фоновым показателям в течение 1–3 месяцев в зависимости от сезона поступления мочи (Marsden et al., 2018). В поверхностном горизонте аммония больше, чем в нижележащих почвенных горизонтах, и в течение первого месяца наблюдается резкое снижение концентрации аммония в почве после поступления мочи (Thomas et al., 1988). Падение концентрации почвенного аммония к концу активного вегетационного периода объясняется достаточно быстрой его конвертацией до оксидов азота прокариотами и археями (Dolman, 2019).
Потери азота в почве под мочевой точкой копытного вызывают разные причины: улетучивание аммиака (потери NH3 до 15–25%) и эмиссия закиси азота (N2O), потери нитратов при растворении осадками, потери при иммобилизации почвенными микроорганизмами и грибами и через функционирование самой пастбищной экосистемы – абсорбция азотсодержащих соединений растениями. Причем, чем выше содержание азотных веществ в почве, тем выше темп их улетучивания (Haynes, Williams, 1993; McNeill, Unkovich, 2007; Selbie et al., 2015; Marsden et al., 2020).
Итак, в составе зимней мочи лося превалирует аммоний. Даже та часть мочи, которая представляет другую форму азота, может гидролизоваться в почве до аммония особенно, если сохраняется нейтральность pH и высокая температура (Somda et al., 1997; Bronson et al., 1999), что в свою очередь создает повышенную концентрацию аммония в верхнем горизонте почвы. Впоследствии этот аммоний в течение нескольких недель трансформируется в нитраты (Thomas et al., 1988; Hobbs, 1996). Слишком высокая концентрация аммония приводит к дополнительной потере азота – выбросу закиси азота из пятен мочи, особенно заметной на хорошо аэрируемых почвах (Carter, 2007). Но очень высокая концентрация NH4+ и высокая pH могут ингибировать процесс нитрификации (Haynes, Williams, 1993).
В нашем исследовании концентрация NO3– в почве ниже, чем NH4+. Низкий уровень pH, прохладная и влажная погода снижают скорость нитрификации (Thomas et al., 1988). Вероятно, слишком сухие условия также сильно замедляют конвертацию азота в форму NO3–, хотя в оптимальных теплых условиях NO3– – главная форма азота в почве на месте мочевых точек у домашних копытных (Hayes, Williams, 1993).
Заметное варьирование концентраций азота в почве после попадания мочи в проанализированных образцах легко объяснить тем, что в организме самих травоядных концентрация азота, выводимого с мочой, сильно изменчива у разных видов и отдельных особей, что напрямую связано с концентраций азотистых веществ в потребленном ими корме (Haynes, Williams, 1993; Hobbs, 1996; Dijkstra et al., 2013; Marsden et al., 2020). В корме лося зимой меньше протеина, и, следовательно, меньше азота выделяется с мочой в природу. Причем объемы выделяемых лосем мочевых органических соединений зависят от индивидуальной массы животного (Иванова, Вебер, 1977), поэтому отдельные мочевые точки очень разнородны по поступившей концентрации биологических компонентов. Зимой за сутки лось выделяет 0.56 г аммонийного азота (Вебер и др., 1992), а за весь период зимы – около 100 г. Концентрация же общего азота в моче лося на порядок выше (Иванова, Вебер, 1977). В среднем с одной зимней мочевой точки лося в почву поступает примерно 3.3 г азота (Иванова, Вебер, 1977), а за сутки один лось выделяет в среднем 23 г общего азота, за зиму (180 дней) – 4.16 кг. Для более крупного американского лося указывают гораздо большие расчетные объемы выделения азота с мочой в экосистему (в сутки около 79 г азота, включающего 1.9 мг NH4+ и 1.2 мг NO3–). Таким образом, за зиму (около 200 дней) от одной особи лося поступит в экосистему до 110 кг азота, в том числе до 2.6 г NH4+ и 1.7 г NO3– (Christenson et al., 2010).
Весь этот объем легкодоступного мочевого азота, поступающего в почву, полностью поглощается ее микробиомом и растениями в течение летнего вегетационного сезона. Напротив, в экскрементах лося азот связан с органическим материалом и попадает в почву только после постепенного разложения этой органики (Иванова, Вебер, 1977). Тем не менее, считается, что зимой лось с экскрементами возвращает в природу до 90% азота, поступившего с кормом (Иванова, Вебер, 1977). Таким образом, нашими исследованиями подтверждается, что присутствие лося может способствовать накоплению азота в почве лесной экосистемы (Molvar et al., 1993).
Другим компонентом, который поступает с мочой и в течение вегетационного периода подвергается деградации, является калий. Концентрация калия в почве примерно в два раза выше на мочевых точках, чем на фоне. Калий играет важную роль в метаболизме азота у лосей. Так выведение азота из организма лося снижается, если происходит замена аммония катионом калия (Кочанов и др., 1981). Калий составляет примерно половину катионов мочи лося в летний период, но зимой его концентрация заметно меньше. При этом калия больше в моче молодых особей (Вебер и др., 1992). Зимой лось потребляет калия с кормом в 5 раз меньше, чем летом, поэтому в среднем с одной зимней мочевой точки в почву поступает всего около 0.1 г калия. Остальная подавляющая часть калия выводится с экскрементами, поскольку калий зимой лосем практически не усваивается (Иванова, Вебер, 1977; Кочанов и др., 1981). Калий из мочи травоядных имеет большое значение и активно поглощается растениями, так как является для них важным электролитом, но при высокой дозе поступления в экосистему калий может подавлять развитие почвенной фауны (Kaspari, Welti, 2023).
Фосфаты в зимний период практически отсутствуют в моче лося, так как они крайне плохо усваиваются им зимой из корма (Кочанов и др., 1981; Вебер и др., 1992). Поэтому выраженных отличий в почве под мочевыми точками лося и на фоновой территории по этим веществам не наблюдается. По кальцию и магнию в разных почвенных образцах не было найдено отличий. В моче лосей кальций и магний присутствуют, причем в зимний период кальция в 3 раза больше, чем магния (Вебер и др., 1992). Однако в среднем с одной зимней мочевой точки лося в почву поступает всего 0.7 г кальция и 0.15 г магния (Иванова, Вебер, 1977). Основная же часть магния выводится через помет (Кочанов и др., 1981). Концентрация магния в снегу на месте зимней мочевой точки лося на зарастающих полях невелика – в среднем 15 мг/кг (Scopin, Rukavishnikova, 2007). Поэтому эти макроэлементы быстро включаются в биогеохимический цикл, участвующий в нейтрализации почв (Шамрикова, 2013). Кальций и магний быстрее других элементов выносятся из цикла, связываясь с неорганическими агрегатами почвы (Заварзин, 2004).
Моча лося может значительно изменять химический состав почв по некоторым показателям. Пространственное варьирование pH в верхних горизонтах подзолистых почв не превышает 10% (Шамрикова, 2013). Однако после попадания на поверхность мочи лося происходит резкое изменение ряда химических показателей почвы в сторону их повышения. Особенно это заметно в весенний период в верхнем горизонте: pH выше на 15% и концентрация аммония – на 350% от среднего показателя на контроле. Влияние мочи лося настолько значительно, что позволяет рассматривать деятельность крупных фитофагов в качестве важного фактора при формировании мозаичности химической структуры почвенного профиля. Именно повышенные локальные концентрации химических веществ (азотные соединения и калий) на мочевых точках лося создают аномальное химическое поле почвы, которое может быть причиной формирования мозаичного пятна в структуре растительного покрова и отразится в распределении почвенной фауны. Однако срок жизни этого аномального химического пятна, вызванного поступлением мочи от дикого копытного, недолог. Деградация мочи происходит на порядок быстрее, чем скорость разложения экскрементов лося (Гусев, 1984, 1989; Пилипко, 2005; Guernsey et al., 2015). Микроместообитание, созданное за счет удобрения почвы крупным фитофагом, имеет короткий жизненный цикл (Бобровский, 2010). В течение летнего вегетационного периода большинство химических компонентов метаболизируется к осени микробиомом почвы и растительностью.
Быстрая минерализация мочи и экскрементов травоядных в пастбищной экосистеме интенсифицирует циклы элементов, особенно азота (Базилевич, Титлянова, 2008). Поэтому при высокой плотности лосей на локальных территориях количество таких химически отличных от фоновой территории пятен, создающих своеобразные микроботопы, резко возрастает, и они уже могут оказывать существенное влияние на макроэкосистему (Molvar et al., 1993; Christenson et al., 2010). В зимний период за один день один лось выделяет примерно около 3.5 литров мочи, покрывая около 2 м2 поверхности почвы этими выделениями. В зоне средней и южной тайги срок зимнего периода составляет примерно 6 месяцев. За этот период одним лосем будет выделено в среднем 630 литров мочи, которая будет распределена на поверхности, затрагивающей 378 м2 лесной экосистемы. Средняя плотность лосей на европейском северо-востоке составляет 2.5 особи / 1000 га. При такой плотности в течение зимы лоси выделяют в среднем 157.5 литров мочи/км2. При максимальных показателях плотности лосей – 50 особей/1000 га, нередко регистрируемых в местах их массовых зимних стойбищ на Европейском Севере (Язан, 1972), в зимний период в такую таежную экосистему поступит около 3150 литров мочи/км2, а в течение года – 21400 литров мочи/км2. В целом в России обитает популяция, насчитывающая около 900 тысяч лосей (Колесников и др., 2021), которые ежегодно будут выделять 3.85 Мт мочи на площади около 700 км2. Эти цифры показывают значительный масштаб воздействия только жидких зоогенных выделений и только одного дикого крупного фитофага – лося на экосистему таежного леса.
ЗАКЛЮЧЕНИЕ
Средопреобразующая деятельность лося является одним из необходимых элементов, поддерживающих устойчивость биогеоценотического покрова южно-таежных экосистем. Естественное внесение этим копытным на зарастающие поля продуктов своей жизнедеятельности поддерживает биогеохимические циклы в экосистеме, значительно повышая ее гетерогенность. Поступление азотных соединений и калия из зимней мочи лося способствует формированию высокопродуктивных пастбищ для этих дендрофагов и, вероятно, ускоряет процесс лесовосстановления в силу большей доступности питательных веществ в почве.
About the authors
A. E. Skopin
Zhitkov Russian Research Institute of Game Management and Fur Farming
Author for correspondence.
Email: scopin@bk.ru
Russian Federation, 79, Preobrazhenskaya St., Kirov, 610000
S. V. Lipatnikova
Zhitkov Russian Research Institute of Game Management and Fur Farming
Email: scopin@bk.ru
Russian Federation, 79, Preobrazhenskaya St., Kirov, 610000
References
- Bazilevich N.I., Titlyanova A.A., Bioticheskii krugovorot na pyati kontinentakh: azot i zol'nye elementy v prirodnykh nazemnykh ekosistemakh (Biotic turnover on five continents: element exchange processes in terrestrial natural ecosystems), Novosibirsk: Izd-vo SO RAN, 2008, 381 p.
- Beznosikov V.A., Balans i prevrashcheniya azota udobrenii (Balance and transformation of nitrogen fertilizers), In: Strukturno-funktsional'naya organizatsiya pochv i pochvennogo pokrova evropeiskogo Severo-Vostoka (Structural and functional organization of soils and soil cover of the European North-East), Saint Petersburg, 2001, pp. 163–178
- Bobrovskii M.V., Lesnye pochvy Evropeiskoi Rossii. Bioticheskie i antropogennye faktory formirovaniya (Forest soil in European Russia: biotic and anthropogenic factors in pedogenesis), Moscow: KMK, 2010, 359 p.
- Bronson K.F., Sparling G.P., Fillery I.R.P., Short-term N dynamics following application of 15 N-labeled urine to a sandy soil in summer, Soil Biology and Biochemistry, 1999, Vol. 31, No. 7, pp. 1049–1057.
- Butler L., Kielland K., Acceleration of vegetation turnover and element cycling by mammalian herbivory in riparian ecosystems, Journal of Ecology, 2008, Vol. 96, No. 1, pp. 136–144.
- Carter M.S., Contribution of nitrification and denitrification to N 2 O emissions from urine patches, Soil Biology and Biochemistry, 2007, Vol. 39, No. 8, pp. 2091–2102.
- Christenson L.M., Mitchell M.J., Groffman P.M., Lovett G.M., Winter climate change implications for decomposition in northeastern forests: comparisons of sugar maple litter with herbivore fecal inputs, Global Change Biology, 2010, Vol. 16, No. 9, pp. 2589–2601.
- Day T.A., Detling J.K., Grassland patch dynamics and herbivore grazing preference following urine deposition, Ecology, 1990, Vol. 71, No. 1, pp. 180–188.
- Dijkstra J., Oenema O., van Groenigen J.W., Spek J.W., van Vuuren A.M., Bannink A., Diet effects on urine composition of cattle and N 2 O emissions, Animal, 2013, Vol. 7, No. 2, pp. 292–302.
- Dolman H., Biogeochemical Cycles and Climate, Oxford: Oxford University Press, 2019, 251 p.
- Ellis N.M., Leroux Sh.J., Moose directly slow plant regeneration but have limited indirect effects on soil stoichiometry and litter decomposition rates in disturbed maritime boreal forests, Functional Ecology, 2017, Vol. 31, pp. 790–801.
- Follett R.F., Transformation and transport processes of nitrogen in agricultural systems, In: Nitrogen in the Environment: Sources, Problems, and Management, New York: Elsevier Inc, 2008, pp. 19–50.
- Frank D.A., Evans R.D., Tracy B.F., The role of ammonia volatilization in controlling the natural 15 N abundance of a grazed grassland, Biogeochemistry, 2004, Vol. 68, pp. 169–178.
- Guernsey N.C., Lohse K.A., Bowyer R.T., Rates of decomposition and nutrient release of herbivore inputs are driven by habitat microsite characteristics, Ecological Research, 2015, Vol. 30, pp. 951–961.
- Gusev A.A., Rol' kopytnykh v destruktsionnykh protsessakh v lesostepi (The role of ungulates in destructive processes in the forest-steppe), In: Ekologo-faunisticheskie issledovaniya Tsentral'noi lesostepi evropeiskoi chasti SSSR (Ecological and faunistic studies of the Central forest-steppe of the European part of the USSR), Moscow: TsNIL Glavokhoty, 1984, pp. 130–139.
- Gusev A.A., Zhivotnye na zapovednykh territoriyakh (Animals in protected areas), Voronezh: Tsentral'no-Chernozemnoe kn. izd-vo, 1989, 207 p.
- Haynes R.J., Williams P.H., Nutrient cycling and soil fertility in the grazed pasture ecosystem, Advances in Agronomy, 1993, Vol. 49, pp. 119–199.
- Hobbs N.Th., Modification of ecosystems by ungulates, The Journal of Wildlife Management, 1996, Vol. 60, No. 4, pp. 695–713.
- Ivanova G.M., Veber A.E., Severnyi olen' i los' v biogeotsenoze taigi Evropeiskogo Severa (Reindeer and elk in the taiga biogeocenosis of the European North), Zoologicheskii zhurnal., 1977, Vol. 56, No. 9, pp. 1389–1396.
- Karpachevskii L.O., Pestrota pochvennogo pokrova v lesnom biogeotsenoze (Diversity of soil cover in forest biogeocoenosis), Moscow: Izd-vo MGU, 1977, 312 p.
- Kaspari M., Welti E.A.R., Electrolytes on the prairie: how urine-like additions of Na and K shape the dynamics of a grassland food web, Ecology, 2023, Vol. 104, No. 1: e3856.
- Kielland K., Bryant J.P., Moose herbivory in taiga: Effects on biogeochemistry and vegetation dynamics in primary succession, Oikos, 1998, Vol. 82, pp. 377–383.
- Knorre E.P., Knorre E.K., Materialy po izucheniyu nekotorykh fiziologicheskikh osobennostei losya (Materials on the study of some physiological characteristics of the moose), In: Trudy Pechoro-Ilychskogo zapovednika (Proceeding of Pechora-Ilych Nature Reserve), Syktyvkar: Komi kn. izd-vo, 1959, Issue 7, pp. 133–167.
- Kochanov N.E., Ivanova G.M., Veber A.E., Simakov A.F., Obmen veshchestv u dikikh zhvachnykh zhivotnykh (severnye oleni i losi) (Metabolism in wild ruminants (reindeer and elk)), Leningrad: Nauka, 1981, 192 p.
- Kolesnikov V.V., Dvornikov M.G., Zarubin B.E., Kozlo-va A.V., Piminov V.N., Panarin A.O., Pankratov A.P., Sinitsyn A.A., Skumatov D.V., Solov'ev V.A., Strel'nikov D.P., Utrobina V.V., Shevnina M.S., Ekonomov A.V., Printsipy razvitiya resursov osnovnykh vidov okhotnich'e-promyslovykh zhivotnykh i vozmozhnosti prognozirovaniya i svoevremennogo reagirovaniya na tendentsii dinamiki ikh chislennosti kak fundamental'naya osnova ratsional'nogo upravleniya populyatsiyami (Principles of development of resources of the main species of game animals and the possibilities of forecasting and timely response to trends in the dynamics of their numbers as a fundamental basis for rational management of populations), Kirov: FGBNU VNIIOZ im. prof. B.M. Zhitkova, 2021, 120 p.
- Kolstad A.L., Austrheim G., Graaf B.J., Solberg E.J., Strimbeck G.R., Speed J.D.M., Moose effects on soil temperatures, tree canopies, and understory vegetation: a path analysis, Ecosphere, 2019, Vol. 10, No. 12: e02966.
- Kolstad A.L., Austrheim G., Solberg E.J., Venete A.M.A., Woodin S.J., Speed J.D.M., Cervid exclusion alters boreal forest properties with little cascading impacts on soils, Ecosystems, 2018, Vol. 21, No. 5, pp. 1027–1041.
- Kozlovskii A.A., Okhrana lesa ot povrezhdenii losyami (Protecting forests from damage by moose), Moscow: VNIILM, 1960, 64 p.
- Leroux Sh.J., Wiersma Y.F., Vander Wal E., Herbivore impacts on carbon cycling in boreal forests, Trends in Ecology and Evolution, 2020, Vol. 35, No. 11, pp. 1001–1010.
- Marsden K.A., Holmberg J.A., Jones D.L., Chadwick D.R., Sheep urine patch N 2 O emissions are lower from extensively-managed than intensively-managed grasslands, Agriculture, Ecosystems and Environment, 2018, Vol. 265, pp. 264–274.
- Marsden K.A., Lush L., Holmberg J.A., Whelan M.J., King A.J., Wilson R.P., Charteris A.F., Cardenas L.M., Jones D.L., Chadwick D.R., Sheep urination frequency, volume, N excretion and chemical composition: Implications for subsequent agricultural N losses, Agriculture, Ecosystems and Environment, 2020, Vol. 302: 107073, 10 p.
- McNeill A., Unkovich M., The nitrogen cycle in terrestrial ecosystems, In: Nutrient Cycling in Terrestrial Ecosystems, Berlin Heidelberg: Springer-Verlag, 2007, pp. 37–64.
- Menyailo O.V., Matvienko A.I., Makarov M.I., Cheng S.-K., Rol' azota v regulyatsii tsikla ugleroda v lesnykh ekosistemakh (Nitrogen effects on the carbon cycle in forest ecosystems: a review), Lesovedenie, 2018, No. 2, pp. 143–159.
- Molvar E.M., Bowyer R.T., Van Ballenberghe V., Moose herbivory, browse quality and nutrient cycling in an Alaskan treeline community, Oecologia, 1993, Vol. 94, No. 4, pp. 472–479.
- Orlov A.Y., Pochvenno-ekologicheskie osnovy lesovodstva v yuzhnoi taige (Soil and environmental basis for silviculture in boreal domain), Moscow: Nauka, 1991, 102 p.
- Orlova M.A., Lukina N.V., Kamaev I.O., Smirnov V.E., Kravchenko T.V., Mozaichnost' lesnykh biogeotsenozov i plodorodie pochv (Forest ecosystem mosaics and soil fertility), Lesovedenie, 2011, No. 6, pp. 39–48.
- Pakhomov A.E., Biogeotsenoticheskaya rol' mlekopitayushchikh v pochvoobrazovatel'nykh protsessakh stepnykh lesov Ukrainy (Biogeocenotic role of mammals in soil-forming processes of steppe forests of Ukraine), Dnepropetrovsk: DGU, 1998, Book 2, 216 p.
- Pastor J., Dewey B., Moen R., Mladenoff D.J., White M., Cohen Y., Spatial patterns in the moose-forest-soil ecosystem on Isle Royale, Michigan, USA, Ecological Applications, 1998, Vol. 8, No. 2, pp. 411–424.
- Pastor J., Dewey B., Naiman R.J., McInnes P.F., Cohen Y., Moose browsing and soil fertility in the boreal forests of Isle Royale National Park, Ecology, 1993, Vol. 74, No. 2, pp. 467–480.
- Pastor J., What Should a Clever Moose Eat? Natural History, Ecology, and the North Woods, Washington D.C.: Island Press, 2016, 298 p.
- Persson I.-L., Pastor J., Danell K., Bergström R., Impact of moose population density on the production and composition of litter in boreal forests, Oikos, 2005, Vol. 108, No. 2, pp. 297–306.
- Pilipko E.N., Soderzhanie nitratnogo azota v pochve pri razlozhenii ekskretsii Alces alces (Mammalia) v laboratornom eksperimente (Nitrate nitrogen content in soil during decomposition of Alces alces (Mammalia) excrements in a laboratory experiment), Visnik Dnipropetrovs'kogo Universitetu. Seriya Biologiya, Ekologiya, 2005, Vol. Issue 13, Vol. 2, No. 3/2, pp. 143–147.
- Popova E.P., Azot v lesnykh pochvakh (Nitrogen in forest soils), Novosibirsk: Nauka, 1983, 137 p.
- Rastvorova O.G., Andreev D.P., Gagarina E.I., Kasatkina G.A., Fedorova N.N., Khimicheskii analiz pochv (Chemical analysis of soils), Saint Petersburg: SPbGU, 1995, 262 p.
- Scopin A.E., Rukavishnikova T.L., Trace elements content in moose (Alces alces L.) urine in winter, In: Biodiversity and Role of Animals in Ecosystems, Dnipropetrovsk: DNU, 2007, pp. 503–504.
- Selbie D.R., Buckthought L.E., Shepherd M.A., The challenge of the urine patch for managing nitrogen in grazed pasture systems, Advances in Agronomy, 2015, Vol. 29, pp. 229–292.
- Shamrikova E.V., Kislotnost' pochv taezhnoi i tundrovoi zon Evropeiskogo Severo-Vostoka Rossii (Acidity of soils in the taiga and tundra zones of the European North-East of Russia), Saint Petersburg: Nauka, 2013, 157 p.
- Smirnov K.A., Rol' losya v biogeotsenozakh yuzhnoi taigi (The role of moose in boreal biogeocoenoses), Moscow: Nauka, 1987, 112 p.
- Smirnova O.V., Geras'kina A.P., Aleinikov A.A., Kontseptsiya komplementarnosti kak osnova model'nykh i naturnykh rekonstruktsii potentsial'noi bioty v usloviyakh sovremennogo klimata (The concept of complementarity as a basis for model and natural reconstructions of potential biota in modern climate conditions), In: Bioraznoobrazie i funktsionirovanie lesnykh ekosistem (Biodiversity and functioning of forest ecosystems), Moscow: Tovarishchestvo nauchnykh izdanii KMK, 2021, pp. 10–24.
- Smirnova O.V., Zaugol'nova L.B., Popadyuk R.V., Kontseptsiya ierarkhicheskogo kontinuuma kak osnova dlya analiza suktsessionnykh protsessov i razrabotki metodov sokhraneniya bioraznoobraziya (The concept of a hierarchical continuum as a basis for analyzing succession processes and developing methods for preserving biodiversity), In: Suktsessionnye protsessy v zapovednikakh Rossii i problemy sokhraneniya biologicheskogo raznoobraziya (Succession processes in Russian nature reserves and problems of preserving biological diversity), Saint Petersburg: RBO, 1999, pp. 14-26.
- Somda Z.C., Powell J.M., Bationo A., Soil pH and nitrogen changes following cattle and sheep urine deposition, Communications in Soil Science and Plant Analysis, 1997, Vol. 28, No. 15–16, pp. 1253–1268.
- Teoriya i praktika khimicheskogo analiza pochv (Theory and practice of the chemical analysis of soils), Moscow: GEOS, 2006, 400 p.
- The Mosaic-Cycle Concept of Ecosystems, Berlin.: Springer-Verlag, 1991, 168 p.
- Thomas R.J., Logan K.A.B., Ironside A.D., Bolton G.R., Transformations and fate of sheep urine-N applied to an upland U.K. pasture at different times during the growing season, Plants and Soil, 1988, Vol. 107, pp. 173–181.
- Timofeeva E.K., Los': ekologiya, rasprostranenie i khozyaistvennoe znachenie (Elk: ecology, distribution and economic importance), Leningrad: LGU, 1974, 168 p.
- Veber A.E., Simakov A.F., Chuv'yurova N.I., Chalyshev A.V., Badlo L.P., Kochan T.I., Mochalov N.I., Fiziologiya pitaniya i obmen veshchestv losya (Nutritional physiology and metabolism of moose), Syktyvkar: Komi NTs UrO RAN, 1992, 123 p.
- Yazan Y.P., Okhotnich'i zveri pechorskoi taigi (Game animals of the Pechora taiga), Kirov: Volgo-Vyatskoe kn. izd-vo, 1972, 382 p.
- Zavarzin G.A., Lektsii po prirodovedcheskoi mikrobiologii (Lectures in microbiology for environmental studies), Moscow: Nauka, 2004, 347 p.
Supplementary files





