Species and Structural Diversity of Vegetation and Earthworms Complexes in Broadleaf Forests of the Urup River Valley in the North-Eastern Caucasus
- Autores: Shevchenko N.E.1, Geraskina A.P.1
-
Afiliações:
- Center for Forest Ecology and Productivity of the Russian Academy of Sciences
- Edição: Nº 5 (2024)
- Páginas: 462-478
- Seção: RESEARCH
- URL: https://journals.rcsi.science/0024-1148/article/view/282040
- DOI: https://doi.org/10.31857/S0024114824050027
- EDN: https://elibrary.ru/OXNOIK
- ID: 282040
Citar
Texto integral
Resumo
Broadleaf forests of the Urup river valley and its tributaries occupy more than 10% of the forested area of the Northwest Caucasus and represent one of the largest broadleaf forest areas in the region. The objective of this work is to assess the species and structural diversity of vegetation, as well as complexes of saprophagous invertebrates, namely earthworms, in the broadleaf forests of the Urup river valley and its tributaries. Field studies were conducted from June to August in 2017–2018. To assess the species and structural diversity of vegetation, 74 geobotanical descriptions were made taking into account the forest layer structure, and an analysis of the ecosystemic structure of the flora was carried out. In all forest types, quantitative assessment of earthworms was carried out by manual excavation of soil samples and deadwood dismantling. Based on the results of the study, 8 forest types were identified and described: nemoral-grass oak forests, nemoral-grass aspen forests, large-fern black alder forests, nemoral-grass hornbeam forests, nemoral-grass hornbeam-beech forests, mountain fescue beech forests, large-fern beech forests and blackberry beech forests. The flora of the Urup river forests includes 198 species, including 156 vascular plant species and 42 moss species. The floristic diversity of the broadleaf forests of the Urup River and its tributaries depends on soil moisture, slope exposure and crown density of the tree stand layer. The ecosystemic structure of the Urup river valley flora depends on its position relative to the river bed and the proportion of Fagus orientalis in the stand. The proportion of nitrophilous and near-water species is higher in the riverbed areas of the valley compared to the forest types located higher up the slope. With the increase in the share of Fagus orientalis , the share of boreal species increases and rupicolous species make their appearance, while the share of meadow species decreases. In the selected forest types, 8 species of earthworms of the family Lumbricidae were identified, belonging to four morpho-ecological and three chorological groups. Endogeic earthworms are found everywhere, which make up at least 50% of the total biomass of Lumbricidae. The greatest contribution to the biomass is made by the Crimean-Caucasian sub-endemic D. schmidti. The diversity of earthworms in broad-leaved forests is maintained by the high quality of easily decomposable litter (both due to the composition of the stand and the undergrowth, as well as the ground cover) together with the presence of fallen deciduous trees. The latter’s’ presence partially compensates for the conditions of dry habitats, for example, in nemoral-grass oak groves and beech mountain fescue forests. The presence of deadwood primarily contributes to the preservation of epigeic species of Lumbricidae.
Palavras-chave
Texto integral
Широколиственные леса долины реки Уруп и ее притоков представляют собой один из крупнейших массивов широколиственных лесов Северо-Западного Кавказа (Шевченко, Браславская, 2021), занимая более 10% лесопокрытой площади региона (Справочник …, 1995), внося существенный вклад в пространственную структуру лесного покрова, его биоразнообразие и средообразующую роль. В широколиственных лесах долины реки Уруп обитают некоторые редкие и охраняемые виды растений (Зернов, Онипченко, 2011) и позвоночных животных (Белик, 2019). По историческим сведениям, здесь обитали зубры, туры и серны (Динник, 1884; Хе, 2010). В настоящее время отсутствуют сведения по видовому и структурному разнообразию широколиственных лесов долины реки Уруп. Не проводились исследования почвенных беспозвоночных-сапрофагов – связующего звена между растительностью и почвой. Не исследованы состав и структура населения дождевых червей – экосистемных инженеров, выполняющих ряд важнейших функций. Актуальная информация о видовом составе, структуре и экологии этих сообществ необходима для обоснованного планирования охраны и рационального использования лесного покрова в условиях его продолжающейся экстенсивной эксплуатации. Цель работы – оценка видового и структурного разнообразия растительности и комплексов дождевых червей широколиственных лесов долины реки Уруп и ее притоков (Северо-Западный Кавказ).
ОБЪЕКТЫ И МЕТОДИКА
Район распространения широколиственных лесов долины реки Уруп (рис. 1) занимает горные умеренные гумидные ландшафты Карачаево-Черкесской Республики (Северо-Западный Кавказ). Данные ландшафты распространены в диапазоне высот от 600 (700) до 1500 (1600) метров и представлены двумя основными подтипами – нижнегорно-лесным и среднегорно-лесным (Дышеков, 2008).
Рис. 1. Картосхема геоботанических и почвенно-зоологических исследований в широколиственных лесах реки Уруп.
Примечание. 1 – лесопокрытая территория; 2 – места заложения геоботанических площадок и отбора почвенно-зоологических проб.
В системе физико-географического районирования эти территории относятся к Большому Кавказу, к Западной высокогорной провинции (Гвоздецкий, 1963), в системе ботанико-географического районирования – к Северокавказской подпровинции Эвксинской провинции (Растительность..., 1980).
Климат умеренно-теплый, влажный. Среднегодовая температура в нижнем поясе составляет +8–9 °С, в верхнем – +6–7 °С, годовое количество осадков варьирует от 500 до 900 мм (Агроклиматический…, 1961). Ландшафты района исследования слагаются преимущественно известняками и песчаниками с преобладанием эрозионно-денудационного, карстового и карстово-денудационного типов рельефа. Почвы преимущественно бурые горно-лесные, редко перегнойно-карбонатные (Гвоздецкий, 1963).
В нижнегорно-лесном подтипе ландшафтов (высота от 600 до 1000 метров) преобладают смешанные дубовые, грабовые и грабово-буковые неморальнотравные типы леса с доминированием Quercus robur, Carpinus betulus с примесью Fagus orientalis, Fraxinus excelsior, Acer platanoides и Ulmus glabra. В среднегорно-ландшафтом поясе (выше 1000 метров) доминируют грабово-буковые и буковые горноовсянницевые, крупнопапоротниковые и ежевичные типы леса с доминированием Fagus orientalis, Carpinus betulus с примесью Cerasus avium, Populus tremula, Alnus glutinosa и Acer platanoides.
Геоботанические методы. Сбор и обработка геоботанических материалов, полученных в ходе исследований, проведены по общепринятым методикам (Методические…, 2010). На всех площадках составлен полный флористический список с учетом ярусной структуры леса. Латинские названия сосудистых растений даны по С.К. Черепанову (1995), мхов – в соответствии со списком Ignatov et al. (2006).
Для оценки видового и структурного разнообразия хвойно-широколиственных лесов реки Уруп заложено 74 геоботанических описания (рис. 1) в 8 типах леса: 1 – дубравах неморальнотравных (7 описаний), 2 – осинниках неморальнотравных (6), 3 – черноольшаниках крупнопапоротниковых (10), 4 – грабовых неморальнотравных (8), 5 – грабово-буковых неморальнотравных (7), 6 – буковых горноовсянницевых (17), 7 – буковых крупнопапоротниковых лесах (10), 8 – буковых ежевичных (9).
Видовое разнообразие сообществ оценивали с помощью показателей видового богатства и видовой насыщенности (Оценка…, 2000; Смирнова и др., 2002; Методические…, 2010). Видовое богатство, или число видов в сообществе, определяли как суммарное число видов на всех площадках анализируемого типа леса. При анализе видовой насыщенности в широколиственных лесах каждый вид учитывали один раз (в том числе виды деревьев и кустарников, несмотря на их присутствие в нескольких ярусах).
Для оценки структурного разнообразия широколиственных лесов реки Уруп проведен анализ их эколого-ценотической структуры. Выделено шесть эколого-ценотических групп: Br – бореальные виды, Md – лугово-опушечные, Nm – неморальные, Nt – нитрофильные, Wt – околоводные, ост. – остальные виды.
Проведена визуальная оценка проективного покрытия (0–100%) и стадий разложения (1-4) валежа (Спирин, Широков, 2002).
Для уточнения экологической интерпретации типов леса выполнена ординация описаний по сходству/различию:
1) флористического состава и характеристик местообитаний при помощи алгоритма DCA (Detrended Correspondence Analysis); для расчета флористического сходства баллы обилия видов преобразовывали в значения процентов (+ – 1%, 1 – 3%, 2 – 13%, 3 – 38%, 4 – 63%, 5 – 88%), из которых извлекали квадратные корни (Peet, Roberts, 2013), чтобы выровнять веса видов с низким и высоким обилием;
2) оценок в экологических шкалах E. Landolt et al. (2010), наиболее подходящих для анализа растительности горных территорий в Южной Европе; оценки описаний рассчитывали как средние из оценок видов, взвешенных на их обилие, выраженное в процентах (см. выше).
Ординация проведена в программе PC-ORD (McCune, Mefford, 2006), графический модуль которой отображает на ординационной диаграмме тренды тех характеристик местообитаний, у которых хотя бы с одной ординационной осью корреляция (коэффициент Пирсона) превышает 0.4 по абсолютному значению. В матрицу характеристик местообитаний включены оценки описаний по шкалам E. Landolt et al. (L – освещенность; R – кислотность/щелочность; N – богатство азотом; T – теплообеспеченность; К – континентальность; H – гумусированность почвы; F – увлажнение почвы) (2010).
Сообщества типизированы на основе работы «Определитель типов леса Европейской России» (www.cepl.rssi.ru/bio/forest/).
Почвенно-зоологические методы. Во всех типах леса проведены количественные учеты дождевых червей путем ручной раскопки почвенных проб (Гиляров, 1975) и разбора валежа (Гераськина, Шевченко, 2021). В каждом типе леса взято от 15 до 34 почвенных проб размером 25 × 25 см, глубиной 25–30 см и разобрано от 4 до 12 фрагментов валежа 2–3-й стадий разложения (Спирин, Широков, 2002), длиной 80–100 см, периметром 20–60 см. Поскольку дождевые черви в валеже 2–3-й стадий разложения не проникали внутрь гниющих стволов, а обитали преимущественно под корой или во мхах на стволах, результаты учетов пересчитывали на 1 м2 как в почве, так и в валеже; для расчетов численности червей в валеже использовали формулу расчета площади боковой поверхности цилиндра (Гераськина, Шевченко, 2021). Дождевые черви зафиксированы в 96% этаноле. Биомасса определена путем взвешивания зафиксированных особей с наполненным кишечником на электронных весах. Видовой состав установлен по Кадастру и определителю дождевых червей фауны России (Всеволодова-Перель, 1997). Всего разобрано 175 проб почвы и 26 фрагментов валежа, собрано и определено 556 особей дождевых червей. При сравнении выборок для выявления значимых различий использовался непараметрический критерий Краскела–Уоллиса.
РЕЗУЛЬТАТЫ И ОБСУЖДЕНИЕ
Дубравы неморальнотравные занимают южные и юго-западные экспозиции склонов долины реки Уруп и ее притоков (реки Власенчиха, Фирсиха, Теплая и Бахмутка). Диапазон высот варьирует от 900 (906) до 1260 (1264) метров. Почвы средние и маломощные, бурые и серые лесные, с хорошо развитой подстилкой (до 3–4 см). На всех описанных площадках имеются следы выборочной рубки, следы пожара отсутствуют. Сомкнутость крон древесного полога – 80–95%. В ярусе древостоя доминирует Quercus robur (медиана обилия – 4 балла), в нижнем подъярусе обычны Carpinus betulus и Fagus orientalis, иногда встречаются Populus tremula, Pyrus caucasica, Ulmus glabra и Betula pubescens. Сомкнутость крон подлеска и подроста варьирует от 20 до 40%. В ярусе подроста обычны Acer campestre, Carpinus betulus, Acer platanoides, Fagus orientalis, Cerasus avium, Fraxinus excelsior и Quercus robur. В подлеске обычны Corylus avellana, Euonymus europaea, Sambucus nigra и Viburnum opulus.
В травяном ярусе общее проективное покрытие (ОПП) варьирует от 25 до 90%, наиболее константны Galium odoratum, Pachyphragma macrophyllum, Carex sylvatica, Geranium robertianum, Pulmonaria mollis, Alliaria petiolata, Galium aparine, Geum urbanum, Impatiens noli-tangere, Myosotis amoena, Paris incompleta, Polygonatum orientale и Viburnum opulus, Athyrium filix-femina, Dryopteris filix-mas и Rubus caucasicus, мелкие экземпляры древесных видов Acer campestre, Carpinus betulus, Fagus orientalis, Fraxinus excelsior и Quercus robur.
Ярус мхов отсутствует или же его покрытие не превышает 1%, довольно хорошо развит покров эпиксильных мхов (ОПП варьирует от 5 до 15%); разнообразен набор их константных видов Entodon schleicheri, Amblystegium serpens, Atrichum flavisetum, Plagiomnium cuspidatum, Pseudoleskeella nervosa, Sciurohypnum populeum и Thuidium delicatulum.
Проективное покрытие валежа в этом типе леса самое высокое и составляет 10–20%. Преобладает валеж граба, дуба, березы преимущественно 3-й стадии разложения.
Население дождевых червей представлено семью видами, принадлежащими сем. Lumbricidae. Один из видов – Dendrobaena schmidti (Мichaelsen, 1907) – полиморфный, в котором в настоящее время выделяют несколько филогенетических линий (Шеховцов и др., 2020), в данной работе будут рассматриваться почвенно-подстилочная и собственно почвенная формы данного вида.
Общая численность дождевых червей в почве дубрав неморальнотравных составляет 52.2 ± 20.2 экз./м2, биомасса – 26.1 ± 3.4 г/м2. Комплекс дождевых червей включает подстилочную, почвенно-подстилочную, собственно почвенную и норную группы. Подстилочная группа представлена двумя видами. Это Dendrobaena octaedra (Savigny, 1826) – космополит, встречаемость в пробах почвы (Вп) – 14%, и D. attemsi (Michaelsen, 1902) – средиземноморский ареал, Вп – 7%. Доля группы подстилочных видов от общей численности дождевых червей в этом типе леса составляет 5%, биомасса – 1% от общей биомассы (табл. 1). Почвенно-подстилочная группа представлена Lumbricus rubellus (Hoffmeister, 1843) – космополитом, встреченным в 28% почвенных проб. Доля почвенно-подстилочных червей от общей численности составляет 23%, биомасса – 27%. Группу собственно почвенных видов составляют два вида: собственно почвенная форма D. schmidti, которая встречена во всех почвенных пробах (Вп – 100%), и Aporrectodea jassyensis (Michaelsen, 1891) – средиземноморский вид, Вп – 43%. Доля собственно почвенных видов составляет 68% от общей численности и 61% от общей биомассы. Норная группа представлена одним видом – Dendrobaena nassonovi (Kulagin, 1889) (крымско-кавказский субэндемик), который встречен в 14% почвенных проб и составляет 4% от общей численности и 11% от общей биомассы люмбрицид.
Таблица 1. Характеристики населения дождевых червей хвойно-широколиственных лесов долины реки Уруп
Группы дождевых червей и показатели разнообразия | Тип леса | |||||||
1 | 2 | 3 | 4 | 5 | 6 | 7 | 8 | |
Подстилочные | 2.7 ± 2.5* 0.3 ± 0.3 | 1.9 ± 1.6* 0.6 ± 0.4 | 7.3 ± 6.5 1.5 ± 0.5 | 20.2 ± 9.6* 3.3 ± 1.7 * | 2.9 ± 2.4* 0.3 ± 0.3 | 7.0 ± 5.6 1.2 ± 0.5 | 2.6 ± 1.8 0.2 ± 0.1 | 7.7 ± 3.6 1.6 ± 0.8 |
Почвенно-подстилочные | 11.9 ± 9.5* 7.0 ± 5.5* | 0 | 10.5 ± 1.5* 1.6 ± 0.6 | 1.8 ± 1.3* 1.2 ± 2.0 | 8.0 ± 4.1 3.0 ± 1.4 | 0 | 0 | 0 |
Собственно почвенные | 35.6 ± 8.4* 16.0 ± 6.7* | 9.8 ± 4.3 3.1±1.6 | 14.5 ± 5.5 5.5 ± 4.6 | 21.4 ± 7.7* 8.1 ± 4.8 | 10.0 ± 11.1 6.3 ± 5.3 | 7.4 ± 3.3 2.7 ± 2.7 | 5.6 ± 3.9 1.7 ± 1.1 | 11.4 ± 5.5 5.6 ± 3.1 |
Норные | 2.0 ± 1.2 2.8 ± 2.0 | 4.0 ± 2.0* 5.9 ± 3.0* | 0 | 0 | 0 | 0.4 ± 0.4 0.7 ± 0.8 | 1.1 ± 1.5 1.4 ± 1.0 | 0 |
Общая численность | 52.2 ± 20.2* | 15.7 ± 5.8 | 32.3 ± 12.0 | 43.4 ± 13.4 | 20.9 ± 9.8 | 14.8 ± 7.8 | 9.3 ± 5.8* | 19.1 ± 9.1 |
Общая биомасса | 26.1 ± 3.4* | 9.6 ± 4.9 | 8.6 ± 4.0 | 12.6 ± 4.1 | 9.6 ± 6.7 | 4.6 ± 2.0 | 3.3 ± 1.0* | 7.2 ± 3.8 |
Число видов | 6 | 3 | 4 | 4 | 5 | 4 | 5 | 4 |
Индекс доминирования Симпсона | 0.27 | 0.43* | 0.25 | 0.28 | 0.32 | 0.20* | 0.40 | 0.29 |
Индекс разнообразия Шеннона | 1.52* | 0.90 | 1.41 | 1.23 | 0.88 | 1.48 | 0.95 | 1.21 |
Примечание. Числитель – численность (особи/м 2, X ± SE), знаменатель – биомасса (г/м 2, X ± SE), * – показатели значимо различаются в сравнении с другими типами леса (Kruskal - Wallis test, p < 0.05). 1 – дубравы неморальнотравные; 2 – осинники неморальнотравные; 3 – черноольшаники крупнопапоротниковые; 4 – грабовые неморальнотравные; 5 – грабово-буковые неморальнотравные; 6 – буковые горноовсянницевые; 7 – буковые крупнопапоротниковые леса; 8 – буковые ежевичные.
В валеже граба и березы 3-й стадии разложения численность дождевых червей составляет 4.2 ± 2.4 экз./м2, биомасса – 0.9 ± 0.5 г/м2. Валеж граба и березы населяют подстилочные виды: D. octaedra, встречаемость в пробах валежа (Вв) – 25%, и D. attemsi – Вв – 10%, а также присутствуют собственно почвенные черви: D. schmidti (Вв – 25%) и A. jassyensis (Вв – 15%). В валеже дуба 3-й стадии разложения численность дождевых червей составляет 20.2 ± 6.4 экз./м2, биомасса – 4.1 ± 1.1 г/м2. Валеж дуба населяют подстилочные виды: D. attemsi (Вв – 60%) и D. octaedra (Вв – 25%).
Осинники неморальнотравные распространены на надпойменных террасах долины реки Уруп и ее притоков (реки Теплая, Власенчиха и Бахмутка), в диапазоне высот от 900 (930) до (1264) 1300 метров, на выровненных и крутых склонах. Сообщества данного типа представляют собой молодые послерубочные леса возрастом от 20 до 40 лет. Во всех обследованных сообществах отмечены следы выборочной рубки, следы пожара не выявлены. Почвы мощные и маломощные, бурые лесные, без следов плоскостной эрозии. Сомкнутость крон яруса древостоя варьирует от 80 до 90%. В ярусе древостоя доминирует Populus tremula (медиана обилия – 4 балла), содоминирует Carpinus betulus и Fagus orientalis, в примеси нередко встречаются Quercus robur и Pyrus caucasica. Сомкнутость крон подроста и подлеска варьирует от 20 до 40%. В подросте обычны Acer campestre, Fagus orientalis, Cerasus avium и Pyrus caucasica, в подлеске обычны Corylus avellana, Euonymus europaea, Sambucus nigra и Viburnum opulus.
В травяном ярусе (ОПП от 20 до 80%) обычны Dentaria bulbifera, Euonymus europaea, Geranium robertianum, Geum rivale, Impatiens noli-tangere, Lysimachia vulgaris, Carex remota, Urtica dioica, Salvia glutinosa, Urtica dioica и Paris incompleta. Реже встречаются Pachyphragma macrophyllum, Tussilago farfara, Luzula pilosa, Acer campestre, Alliaria petiolate, Galium aparine, Moehringia trinervia, Myosotis amoena и Polygonatum orientale.
Ярус напочвенных мхов часто отсутствует или же его покрытие не превышает 1%, выражена синузия экпиксильных мхов (ОПП от 3 до 4%), наиболее константны Anomodon attenuatus, Anomodon viticulosus, Plagiomnium cuspidatum и Porella sp. Реже встречаются Brachythecium sp., Entodon schleicheri, Homalia trichomanoides, Leucodon sciuroides, Neckera complanata, Orthotrichum sp., Pseudoleskeella nervosa, Pylaisia polyantha и Thuidium delicatulum.
Проективное покрытие валежа (осина 2-й стадии разложения) составляет 5–10%.
Население дождевых червей включает три вида. Общая численность дождевых червей в почве – 15.7 ± 5.8 экз./м2, биомасса – 9.6 ± 4.9 г/м2. Подстилочная группа представлена видом D. octaedra, который населяет горизонт подстилки и встречен в 40% почвенных проб. Доля подстилочных червей составляет 13% от общей численности и 7% от общей биомассы. Представители почвенно-подстилочных видов не выявлены. Группа собственно почвенных видов представлена D. schmidti, который встречен во всех почвенных пробах (Вп – 100%). Доля собственно почвенных червей составляет 62% от общей численности и 32% от общей биомассы. Норная группа представлена видом D. nassonovi, который встречен в 20% почвенных проб и составляет 25% от общей численности и 61% от общей биомассы дождевых червей.
В валеже осины 2-й стадии разложения численность дождевых червей составляет 3.6 ± 2.3 экз./м2, биомасса – 0.8 ± 0.2 г/м2. Валеж населяет только D. octaedra (Вв – 15%).
Черноольшаники крупнопапоротниковые распространены в прирусловой пойме долины реки Уруп и ее притоков (реки Черемуховая, Власенчиха и Бахмутка) на месте старых рубок, возраст которых оценивается в 30-70 лет. Диапазон высот – от 800 (890) до 1300 (1316) метров, почвы маломощные, со следами аллювиальных отложений, преимущественно бурые лесные, с развитой подстилкой (до 3–4 см). Во всех обследованных сообществах отмечены следы выборочной рубки, следы пожара не выявлены. Сомкнутость крон древесного яруса – 70–85%. В ярусе древостоя доминирует Alnus glutinosa (медиана обилия – 3–4 балла), иногда содоминирует Fagus orientalis (медиана обилия – 2 балла), в примеси встречаются Acer campestre, Populus tremula, Pyrus caucasica, Salix alba и Ulmus glabra. В ярусе подроста и подлеска сомкнутость крон варьирует от 15 до 40%. В подросте обычны (с небольшим обилием) Acer campestre, Fagus orientalis, Pyrus caucasica, в подлеске – Corylus avellana (иногда доминирует), Euonymus europaea, Sambucus nigra и Viburnum opulus.
Общее проективное покрытие травяного яруса сильно варьирует: от 40 до 90 (100)%. По травяному ярусу можно выделить 2 типа крупнопапоротниковых черноольховых лесов – щитовниковые и страусниковые. Щитовниковые сообщества занимают более дренированные почвы ближе к склонам долины. В них доминирует Dryopteris filix-mas (медиана обилия – 2 балла), нередко содоминирует Rubus caesius (медиана обилия – 2 балла). Страусниковые сообщества занимают более увлажненные почвы со следами аллювиальных отложений ближе к руслу рек. В них доминирует Matteuccia struthiopteris (медиана обили – 4 балла), иногда содоминирует Pachyphragma macrophyllum (медиана обилия – 2 балла). В черноольховых крупнопапоротниквых лесах обычны (с низким баллом обилия) Geum urbanum, Carex sylvatica, Galium aparine, Geranium robertianum, Impatiens noli-tangere, Moehringia trinervia, Matteuchia struteopteris, Ranunculus repens, Galeopsis tetrahit, Geum rivale, Urtica dioica, Valeriana officinalis, Stellaria nemorum и Rumex obtusifolius. Ярус напочвенных мхов почти не выражен, его покрытие не превышает 3-5%, обычно развита синузия эписильных мхов (ОПП от 3 до 5%) на пристволовых повышениях деревьев и упавших стволах; наиболее константны Amblystegium serpens, Anomodon attenuates, Atrichum undulatum, Entodon schleicheri, Haplocladium microphyllum, Hypnum cupressiforme, Sciurohypnum populeum и Thuidium delicatulum.
Проективное покрытие валежа (ольха черная 2-й стадии разложения) составляет 5–10%.
В этих лесах выявлено четыре вида дождевых червей, полиморфный вид D. schmidti представлен двумя формами. Общая численность дождевых червей в почве – 32.3 ± 12.0 экз./м2, биомасса – 8.6 ± 4.0 г/м2. Среди подстилочных видов обнаружен D. octaedra (Вп – 33%). Доля подстилочных червей составляет 23% от общей численности и 17% от общей биомассы. Среди почвенно-подстилочных видов выявлена почвенно-подстилочная форма D. schmidti (Вп – 11%). Доля почвенно-подстилочной группы составляет 33% от общей численности и 19% от общей биомассы. Группу собственно почвенных видов составляют собственно почвенная форма D. schmidti (Вп – 78%), A. jassyensis (Вп – 25%) и Octolasion lacteum (Örley, 1885) – космополит, встречен в 7% почвенных проб. Доля собственно почвенных видов составляет 49% от общей численности и 64% от общей биомассы. Норные черви в черноольшаниках не обнаружены.
В валеже ольхи 2-й стадии разложения численность дождевых червей составляет 6.2 ± 2.4 экз./м2, биомасса – 2.1 ± 0.9 г/м2. Валеж населяют подстилочный вид D. octaedra (Вв – 35%) и собственно почвенная форма D. schmidti (Вв – 15%).
Грабовые неморальнотравные леса распространены преимущественно на северных, северо-восточных и северо-западных склонах реки Уруп и ее притоков (реки Фирсиха, Теплая, Бульварка, Власенчиха и Бахмутка) на пологих и крутых склонах, диапазон высот от 800 до 1200 (1216) метров. Почвы маломощные и средние, бурые лесные, со следами плоскостного смыва, толщина подстилки – 2–3 см. На всех описанных площадках имеются следы выборочной рубки, следов и выпаса пожара не обнаружено. Сомкнутость крон древесного яруса – 70–80%. В ярусе древостоя доминирует Carpinus betulus (медиана обилия – 4 балла), в примеси обычны Fagus orientalis и Fraxinus excelsior, реже встречаются Alnus glutinosa, Populus tremula, Quercus robur, Pyrus caucasica и Ulmus glabra.
Сомкнутость яруса подроста и подлеска варьирует от 20 до 40%. В подросте нередко доминирует Fagus orientalis, обычны Acer campestre, Carpinus betulus, Fraxinus excelsior и Ulmus glabra. В подлеске нередко доминирует Corylus avellana, обычны Euonymus europaea и Sambucus nigra.
ОПП травяного яруса варьирует от 35 до 90(100) %. Наиболее константны – Galium odoratum, Pachyphragma macrophyllum, Acer campestre, Alliaria petiolate, Geranium robertianum, Geum urbanum, Hesperis matronalis, Impatiens noli-tangere, Myosotis amoena и Polygonatum orientale.
Ярус напочвенных мхов отсутствует или же его покрытие не превышает 1–2%. ОПП эпиксильных мхов обычно 5–8%. Наиболее константны – Anomodon attenuatus, Atrichum undulatum, Entodon schleicheri, Leucodon sciuroides и Plagiomnium cuspidatum, реже встречаются Anomodon viticulosus, Brachytheciastrum velutinum, Brachythecium rutabulum, Dicranum montanum, Dicranum tauricum, Orthotrichum pumilum, Porella sp., Pseudoleskeella nervosa и Pylaisia polyantha.
Проективное покрытие валежа (граб 3-й стадии разложения) составляет 5–10%.
В грабовых неморальнотравных лесах выявлено четыре вида дождевых червей, полиморфный вид D. schmidti представлен двумя формами. Общая численность дождевых червей в почве составляет 43.4 ± 13.4 экз./м2, биомасса – 12.6 ± 4.1 г/м2. Среди подстилочных видов обнаружен только D. octaedra (Вп – 50%). Доля подстилочных червей составляет 47% от общей численности и 26% от общей биомассы. Среди почвенно-подстилочных видов обитает почвенно-подстилочная форма D. schmidti (Вп – 13%). Доля почвенно-подстилочных червей составляет 4% от общей численности и 10% от общей биомассы. Группа собственно почвенных видов представлена собственно почвенной формой D. schmidti (Вп – 78%) и A. jassyensis (Вп – 25%). Доля собственно почвенных видов составляет 49% от общей численности и 64% от общей биомассы. Норные черви не обнаружены.
В валеже граба 3-й стадии разложения численность дождевых червей составляет 10.2 ± 4.4 экз./м2, биомасса – 5.1 ± 1.1 г/м2. Валеж граба населяют подстилочный вид D. octaedra (Вв – 55%), собственно почвенные виды D. schmidti (Вв – 35%) и A. jassyensis (Вв – 15%).
Грабово-буковые неморальнотравные леса распространены преимущественно на северных, северо-восточных и северо-западных склонах долины реки Уруп и ее притоков (реки Власенчиха, Теплая и Бахмутка), представляют собой послерубочный сукцессионный ряд восстановления буковых лесов. Диапазон высот варьирует от 900 до (1294) 1300 метров. Почвы мощные и средние бурые лесные, с хорошо развитой постилкой (до 5–8 см). Во всех обследованных сообществах отмечены следы выборочной рубки, следы пожара не выявлены. Сомкнутость крон яруса древостоя варьирует от 80 до 90%. В ярусе древостоя содоминирует Fagus orientalis (медиана обилия – 4 балла) и Carpinus betulus (медиана обилия – 3 балла), в примеси обычны Alnus glutinosa, Betula pubescens, Fraxinus excelsior и Populus tremula. Сомкнутость яруса подроста и подлеска широко варьирует от 20 до 50% (в местах выпадения старых деревьев Carpinus betulus). В подросте доминирует Fagus orientalis (медиана обилия – 2 балла), обычны Carpinus betulus и Acer platanoides.
В травяном ярусе (ОПП варьирует от 40 до 70%) наиболее константны Athyrium filix-femina, Rubus caucasicus, Galium odoratum, Geranium robertianum, Geum urbanum, Impatiens noli-tangere, Myosotis amoena, Paris incompleta, Polygonatum orientale, Polystichum braunii, Pulmonaria mollis, Solidago virgaurea, Carex sylvatica, Dentaria bulbifera, Galium aparine и Stellaria holostea, мелкие экземпляры древесных видов Carpinus betulus и Fraxinus excelsior.
Ярус напочвенных мхов часто отсутствует или его покрытие не превышает 1%, довольно хорошо развит покров эпиксильных мхов (ОПП варьирует от 4 до 8%); разнообразен набор константных видов Sciurohypnum populeum, Plagiomnium cuspidatum, Amblystegium serpens, Anomodon rugelii, Anomodon viticulosus, Atrichum undulatum, Dicranum tauricum, Entodon schleicheri, Isothecium alopecuroides, Leucodon sciuroides, Porella sp., Pseudoleskeella nervosa и Stereodon pallescens.
Проективное покрытие валежа (граб 3-й стадии разложения) составляет 5–15%.
В грабово-буковых неморальнотравных лесах выявлено пять видов дождевых червей. Общая численность дождевых червей в почве составляет 20.9 ± 9.8 экз./м2, биомасса – 9.6 ± 6.7 г/м2. Среди подстилочных видов в почве обнаружен только D. octaedra (Вп – 20%). Доля подстилочных червей составляет 14% от общей численности и 3% от общей биомассы. Почвенно-подстилочная форма D. schmidti встречена в 25% почвенных проб. Доля почвенно-подстилочных червей составляет 40% от общей численности и 31% от общей биомассы. Собственно почвенная форма D. schmidti встречена во всех почвенных пробах (Вп – 100%). Доля собственно почвенной группы составляет 46% от общей численности и 66% от общей биомассы. Норные черви не обнаружены.
В валеже граба 3-й стадии разложения численность дождевых червей составляет 10.2 ± 4.4 экз./м2, биомасса – 5.1 ± 1.1 г/м2. Валеж граба населяют подстилочный D. octaedra (Вв – 50%) и Bimastus rubidus (Eisen, 1874) (Вв – 20%) – вид, не обнаруженный в почвенных пробах.
Буковые горноовсянницевые леса широко распространены по юго-западным и юго-восточным склонам верховьев долины реки Уруп и ее притоков (реки Бульварка, Фирсиха, Черемуховая и Власенчиха), представляют собой наиболее сохранившийся и доминирующий тип леса, не подверженный сплошным вырубкам. Диапазон варьирования высот от (1077) 1100 до (1297) 1300 метров. На большинстве описанных площадок следы рубок и пожаров отсутствуют. Почвы средние и маломощные, бурые лесные, без следов плоскостной эрозии, с хорошо развитой подстилкой до 8 см. Сомкнутость яруса древостоя варьирует от 80 до 95%. В ярусе древостоя доминирует Fagus orientalis (медиана обилия – 5 баллов), в примеси в нижнем подъярусе обычен Carpinus betulus, редко в старых лесных окнах – Cerasus avium, Quercus robur, Acer campestre и Alnus glutinosa. Сомкнутость яруса подроста и подлеска варьирует от 10(15) до (35)40 %. В подросте содоминируют Fagus orientalis и Carpinus betulus, обычен Acer platanoides, в подлеске иногда встречаются Corylus avellana, Ribes biebersteinii и Sambucus nigra.
ОПП травяного яруса варьирует от 35 до (90)100 %. Доминирует Festuca drymeja (медиана обилия – 4 балла), наиболее константны – Dryopteris filix-mas, Polystichum braunii, Rubus caucasicus, Galium odoratum, Carex sylvatica, Carpinus betulus, Dentaria bulbifera, Lamium album, Fragaria vesca, Solidago virgaurea и Paris incompleta, реже встречаются Impatiens noli-tangere, Luzula pilosa, Myosotis amoena, Polygonatum orientale и Viola alba. Ярус напочвенных мхов почти не выражен, его покрытие не превышает 1–2%, обычно развита синузия эписильных мхов (ОПП от 5 до 10%) на пристволовых повышениях деревьев и упавших стволах; наиболее константны Anomodon viticulosus, Brachythecium rutabulum, Entodon schleicheri, Plagiomnium cuspidatum и Pterigynandrum filiforme.
Проективное покрытие валежа (бук 3-й стадии разложения) составляет 5–10%.
В этих лесах выявлено четыре вида дождевых червей. Общая численность дождевых червей в почве составляет 14.8 ± 7.8 экз./м2, биомасса – 4.6 ± 2.0 г/м2. Среди подстилочных видов в почве обнаружены D. octaedra (Вп – 23%) и D. attemsi (Вп – 7%). Доля подстилочных видов составляет 47% от общей численности и 26% от общей биомассы. Почвенно-подстилочные виды не выявлены. Из группы собственно почвенных видов обнаружена только D. schmidti (В п – 88%). Доля собственно почвенных видов составляет 50% от общей численности и 59% от общей биомассы. Норный вид D. nassonovi встречен в 6% почвенных проб и составляет 3% от общей численности и 15% от общей биомассы.
В валеже бука 3-й стадии разложения численность дождевых червей составляет 8.2 ± 2.1 экз./м2, биомасса – 4.1 ± 1.5 г/м2. Валеж населяют подстилочные виды: D. octaedra (Вв – 25%) и D. attemsi (Вв – 10%).
Буковые крупнопапоротниковые леса занимают преимущественно северные и северо-восточные склоны долины реки Уруп и ее притоков (реки Бульварка, Фирсиха и Власенчиха) на пологих и некрутых склонах. Диапазон высот варьирует от 1000 (1068) до 1400 (1417) метров. Почвы маломощные и средние бурые лесные, с хорошо развитой постилкой (до 5–8 см). Во всех обследованных сообществах отмечены следы выборочной рубки, следы пожаров не выявлены. Сомкнутость крон яруса древостоя варьирует от 80 до 95%. В ярусе древостоя содоминирует Fagus orientalis (медиана обилия – 5 баллов), в нижнем подъярусе обычен Carpinus betulus, иногда встречается Quercus robur. Сомкнутость крон яруса подроста и подлеска варьирует от 10 до 40%. В подросте константны Carpinus betulus, Acer platanoides, Fagus orientalis и Ulmus glabra, в подлеске обычны Sambucus nigra, Corylus avellana, Euonymus europaea и Ribes biebersteinii.
ОПП травяного яруса варьирует от 20 до 90(100)%. В ярусе доминирует Dryopteris filix-mas (медиана обилия – 3 балла), константны Athyrium filix-femina, Aruncus vulgaris, Rubus caucasicus, Galium odoratum, Pachyphragma macrophyllum, Dentaria bulbifera, Fagus orientalis, Fragaria vesca, Geranium robertianum, Equisetum pratense, Impatiens noli-tangere, Myosotis amoena, Paris incompleta и Polygonatum orientale. Ярус напочвенных мхов часто отсутствует или его покрытие не превышает 3%, довольно хорошо развит покров эпиксильных мхов (ОПП варьирует от 5 до 10%); разнообразен набор константных видов Anomodon attenuatus, Pseudoleskeella nervosa, реже встречаются Anomodon viticulosus, Atrichum undulatum, Brachythecium rutabulum, Brachythecium sp., Dicarnum scoparium, Entodon schleicheri, Homalia trichomanoides, Hypnum cupressiforme, Isothecium alopecuroides, Leucodon sciuroides, Plagiomnium cuspidatum, Plagiomnium rostratum, Plagiothecium denticulatum, Platygyrium repens, Pterigynandrum filiforme и Sciurohypnum populeum.
Проективное покрытие валежа (бук 3-й стадии разложения) составляет 5–10%.
В этих лесах выявлено пять видов дождевых червей, общая численность которых в почве составляет 9.3 ± 5.8 экз./м2, биомасса – 3.3 ± 1.0 г/м2. Среди подстилочных видов в горизонте подстилки обнаружены D. octaedra (Вп – 10%) и B. rubidus (Вп – 3%). Доля подстилочных видов составляет 28% от общей численности и 6% от общей биомассы. Почвенно-подстилочные виды не обнаружены. Из группы собственно почвенных видов встречен только D. schmidti (Вп – 70%). Доля собственно почвенных видов составляет 60% от общей численности и 52% от общей биомассы. Норный вид D. nassonovi встречен в 20% почвенных проб и составляет 12% от общей численности и 42% от общей биомассы.
В валеже бука 3-й стадии разложения, имеющегося в этих лесах, численность дождевых червей составляет 10.1 ± 3.8 экз./м2, биомасса – 4.1 ± 1.5 г/м2. Валеж населяют подстилочные виды D. octaedra (Вв – 30%) и B. rubidus (Вв – 10%), а также собственно почвенная форма D. schmidti (Вв – 6%). Единично встречен норник D. nassonovi.
Буковые ежевичные леса занимают малонарушенные прирусловые надпойменные террасы в верховьях реки Уруп и ее притоков (реки Бульварка, Власенчиха и Фирсиха) на слаборасчлененных пологих склонах. Диапазон высот варьирует от 1000 (1060) до (1354) 1360 метров. Почвы средние бурые лесные, с хорошо развитой подстилкой (до 7–8 см). На всех описанных площадках имеются следы выборочной рубки, следы пожара отсутствуют. Сомкнутость крон древесного полога – 90–95%. В ярусе древостоя доминирует Fagus orientalis (медиана обилия – 5 баллов), в нижнем подъярусе обычны Carpinus betulus, Quercus robur, иногда встречается Alnus glutinosa, Cerasus avium и Fraxinus excelsior. Сомкнутость яруса подроста и подлеска варьирует от 10 до 30%, в подросте доминирует Fagus orientalis (медиана обилия – 2 балла), константны Acer campestre, Acer platanoides, Carpinus betulus и Pyrus caucasica, в подлеске константны Corylus avellana и Sambucus nigra.
В травяном ярусе (ОПП варьирует от 10 до 60%), доминирует Rubus caucasicus (медиана обилия – 3 балла), наиболее константны Dentaria bulbifera, Fagus orientalis, Paris incompleta, Polygonatum orientale, Lamium album, Polystichum braunii, Solidago virgaurea, Sambucus nigra, Festuca drymeja, Dryopteris filix-mas, Galium odoratum и Pachyphragma macrophyllum. Ярус напочвенных мхов часто отсутствует или его покрытие не превышает 1%, довольно хорошо развит покров эпиксильных мхов (ОПП варьирует от 3 до 8%); разнообразен набор константных видов Anomodon attenuatus, Anomodon viticulosus, Atrichum undulatum, Homalia trichomanoides, Leucodon sciuroides и Pseudoleskeella nervosa.
Проективное покрытие валежа (бук 2-й стадии разложения) составляет 5–10%.
Население дождевых червей представлено четырьмя видами. Общая численность люмбрицид в почве составляет 19.1 ± 9.1 экз./м2, биомасса – 7.2 ± 3.8 г/м2. Подстилочная группа представлена одним видом – D. octaedra (Вп – 22%). Доля подстилочных видов от общей численности дождевых червей в этом типе леса – 40%, биомасса – 22% от общей биомассы. Группу собственно почвенных видов составляют собственно почвенная форма D. schmidti (Вп – 78%) и Aporrectodea jassyensis (Вп – 11%). Доля собственно почвенных видов – 60% от общей численности и 78% от общей биомассы. Почвенно-подстилочная и норная группы не обнаружены.
В валеже бука 2-й стадии разложения численность дождевых червей составляет 8.0 ± 3.2 экз./м2, биомасса – 1.1 ± 1.4 г/м2. Валеж населяют как подстилочные виды: B. rubidus (Вв – 5%, не обнаружен в почвенных пробах), D. octaedra (Вв – 15%), так и собственно почвенные: D. schmidti (Вв – 5%) и A. jassyensis (Вв – 5%).
Видовое богатство и видовая насыщенность широколиственных лесов реки Уруп и ее притоков
Самые высокие значения флористического разнообразия (рис. 2) и видовой насыщенности (рис. 3) сосудистых растений широколиственных лесов долины реки Уруп отмечены в черноольшаниках крупнопапоротниковых (117 видов) и грабовых неморальнотравных (116) типах леса. Оба типа леса занимают хорошо увлаженные участки рельефа: черноольховые крупнопапоротниковые сообщества приурочены к прирусловым участкам поймы реки Уруп и ее притоков, а грабовые неморальнотравные – к северным экспозициям надпойменных террас. Почвы в обоих типах леса имеют хорошо развитый профиль, мощный гумусовый горизонт и быстро разлагаемую, богатую элементами питания лесную подстилку. Черноольховые крупнопапоротниковые и грабовый неморальнотравный типы леса представляют собой начальную стадию послерубочной восстановительной сукцессии: первые формируются на вырубках букового крупнопапоротникового типа леса, а вторые произрастают на вырубках буковых горноовсянницевых и буковых крупнопапоротниковых лесов. В обоих типах леса ярус древостоя имеет низкую сомкнутость крон – 70–80%. Все вышеперечисленное создает наиболее благоприятные условия для произрастания большого числа светолюбивых и влаголюбивых лугово-лесных и опушечных видов растений.
Рис. 2. Видовое богатство растительности широколиственных лесов реки Уруп.
Примечание. По оси абцисс – типы леса (1 – дубравы неморальнотравные; 2 – осинники неморальнотравные; 3 – черноольшаники крупнопапоротниковые; 4 – грабовые неморальнотравные; 5 – грабово-буковые неморальнотравные; 6 – буковые горноовсянницевые; 7 – буковые крупнопапоротниковые леса; 8 – буковые ежевичные); по оси ординат – число видов; Всего – общее число видов в типе леса; A – число видов в ярусе древостоя, B – подлеска и подроста, C – травяно-кустарничковом, D – мохово-лишайниковом.
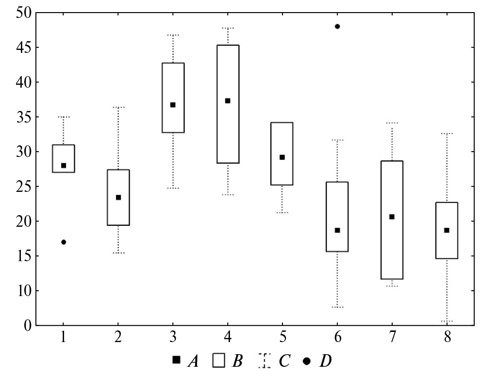
Рис. 3. Видовая насыщенность растительности широколиственных лесов реки Уруп.
Примечание. По оси абцисс – типы леса (1 – дубравы неморальнотравные; 2 – осинники неморальнотравные; 3 – черноольшаники крупнопапоротниковые; 4 – грабовые неморальнотравные; 5 – грабово-буковые неморальнотравные; 6 – буковые горноовсянницевые; 7 – буковые крупнопапоротниковые леса; 8 – буковые ежевичные); по оси ординат – число видов: A – медианы, В – диапазоны между квартилями, С – диапазоны между минимумом и максимумом, D – выбросы.
Самый низкий показатель флористического разнообразия (рис. 2) и видовой насыщенности (рис. 3) был отмечен для буковых типов леса: грабово-буковых неморальнотравных (81 вид), буковых крупнопапопоротниковых (83) и буковых ежевичных (84). Буковые типы леса в среднегорной и низкогорной частях долины реки Уруп и ее притоков представляют собой заключительную стадию демутационной сукцессии. Для буковых типов леса отмечена высокая сомкнутость крон в ярусе древостоя (80–95%) и низкое качество опада Fagus orientalis, что подавляет произрастание светолюбивых лугово-опушечных видов в травяном ярусе и ярусе подроста и подлеска. Исключение представляют буковые горноовсянницевые леса, они характеризуются более высоким показателем флористического разнообразия и видовой насыщенности, чем описанные выше типы буковых лесов, поскольку занимают хорошо освещенные южные экспозиции склонов.
Эколого-ценотическая структура широколиственных лесов реки Уруп и ее притоков
В эколого-ценотической структуре (рис. 4) широколиственных лесов долины реки Уруп и ее притоков основное флористическое ядро формируют неморальные, лугово-опушечные и бореальные виды, на их долю приходится от 70 до 80% флоры. Для буковых типов леса (грабово-буковые неморальнотравные, буковые горноовсянницевые, буковые крупнопапоротниковые и буковые ежевичные) отмечена значительно более высокая доля бореальных видов (15–25%) по сравнению с другими типами леса (3–5%), в условиях сильного затенения травяного яруса в буковых лесах бореальные теневыносливые виды представлены большим числом видов. В этих типах леса, часто выступают содоминантами напочвенного покрова такие бореальные виды как Athyrium filix-femina, Aruncus vulgaris, Equisetum pratense, Lamium album, Polystichum braunii, Solidago virgaurea и др. Следует отметить, что только во флоре буковых типов были отмечены скальные виды растений, такие как Asplenium trichomanes, Cystopteris fragilis, Phyllitis scolopendrium, Polypodium vulgare, Sedum caucasicum и Sedum stoloniferum.
Рис. 4. Эколого-ценотическая структура широколиственных лесов реки Уруп.
Примечание. По оси абцисс – типы леса (1 – дубравы неморальнотравные; 2 – осинники неморальнотравные; 3 – черноольшаники крупнопапоротниковые; 4 – грабовые неморальнотравные; 5 – грабово-буковые неморальнотравные; 6 – буковые горноовсянницевые; 7 – буковые крупнопапоротниковые леса; 8 – буковые ежевичные); по оси ординат – доля видов в %: Br – бореальные виды, Md – лугово-опушечные, Nm – неморальные, Nt – нитрофильные, Rocs – скальные виды, Wt – околоводные.
Наибольшая доля лугово-опушечных видов (рис. 4) по сравнению с другими типами леса была отмечена в неморальных типах леса без доминирования или при полном отсутствии Fagus orientalis (дубравы неморальнотравные; осинники неморальнотравные; черноольшанники крупнопапоротниковые и грабовые неморальнотравные), что обусловлено низкой сомкнутостью крон древостоя (70–80%) и хорошим освещением напочвенного покрова. Обычны такие лугово-опушечные виды как Delphinium schmalhausenii, Epilobium montanum, Ficaria verna, Galium aparine, Glechoma hederacea, Stachys sylvatica, Prunella vulgaris, Lathyrus pratensis и др.
Доля нитрофильных видов (рис. 4) значительно выше по сравнению с другими типами леса в осинниках неморальнотравных (до 15%) и черноольшанниках крупнопапоротниковых (до 20%). Как известно, Populus tremula и Alnus glutinosa являются мощными азотофиксаторами, поэтому почвы под ними отличаются богатством азота и развитым гумусовым горизонтом, что создает благоприятные условия для развития нитрофильной флоры, обычны такие нитрофильные виды как Urtica dioica, Stellaria nemorum, Matteuccia struthiopteris, Lysimachia vulgaris, Impatiens noli-tangere, Valeriana officinalis и др. Кроме высокой доли нитрофильных видов, во флоре осинников неморальнотравных и черноольшанниках крупнопапоротниковых по сравнению с другими типами леса значительно выше доля водно-болотных видов (от 10 до 15%, соответственно) (рис. 4). Данные типы леса занимают хорошо увлажненные прирусловые участки и надпойменные террасы долины реки Уруп и ее притоков, часто встречаются такие влаголюбивые виды как Galeopsis tetrahit, Geum rivale, Luzula pilosa, Ranunculus repens, Tussilago farfara и др.
DCA-ординация широколиственных лесов Уруп по сходству флористического состава и экологическим шкалам Э. Ландольта
На диаграмме DCA-ординации (рис. 5) приведены векторы экологических факторов по экологическим шкалам Э. Ландольта, длина и направление которых отражают степень корреляции факторов с осями, но не являются регрессионными прямыми в строгом смысле. Наибольший коэффициент корреляции Пирсона с первой осью DCA (p < 0.005) имеют показатели освещенности (0.89), богатства почвы азотом (0.83), увлажнения почвы (0.83), континентальности (0.68), теплообеспеченности (0.59) и кислотности/щелочности почвы (0.51), со второй осью значимая корреляция имеется у показателя гумусированности почвы (–0.50), с третьей осью значимой корреляции не отмечено.
Рис. 5. DCA-ординация широколиственных лесов реки Уруп по сходству флористического состава и экологическим шкалам Э. Ландольта.
Примечание. 1 – дубравы неморальнотравные; 2 – осинники неморальнотравные; 3 – черноольшаники крупнопапоротниковые; 4 – грабовые неморальнотравные; 5 – грабово-буковые неморальнотравные; 6 – буковые горноовсянницевые; 7 – буковые крупнопапоротниковые леса; 8 – буковые ежевичные.
Многомерная ординация по шкале Э. Ландольта (рис. 5) показала, что осинники неморальнотравные и черноольшаники крупнопапоротниковые по флористическому составу приурочены к наиболее увлажненным гумусированным и богатым азотом почвам. По экологическим шкалам эти типы леса характеризуются значительным сходством.
Самые бедные и сухие почвы в долине реки Уруп и ее притоков (по результатам ординации по шкале Э. Ландольта) – дубовые неморальнотравные леса и бучины горноовсянницевые, эти леса приурочены к крутым и пологим южным экспозициям склонов, почвы под данными типами леса маломощные смытые и малогумусированные.
Бучины крупнопапоротниковые и ежевичные имеют самый высокий показатель гумусированности почвы, что объясняется мощной подстилкой под данными типами по сравнению с другими типами леса.
Наибольшая доля светолюбивых и термофильных видов отмечена в дубравах неморальнотравных, осинниках неморальнотравных, черноольшаниках крупнопапоротниковых и грабовых неморальнотравных типах леса, что обусловлено низкой сомкнутостью крон яруса древостоя (70–80%) по сравнению с бучинами (85–95%).
Биотопическая приуроченность морфо-экологических групп дождевых червей к типам леса
Всего в широколиственных лесах долины реки Уруп выявлено 8 видов дождевых червей сем. Lumbricidae, принадлежащих к четырем морфо-экологическим группам: подстилочным, почвенно-подстилочным, собственно почвенным, норным – и трем хорологическим группам: крымско-кавказским субэндемикам, средиземноморским видам и космополитам. Выявленное видовое разнообразие в широколиственных лесах более низкое, чем в хвойно-широколиственных лесах Северо-Западного Кавказа (Рапопорт, Цепкова, 2015; Гераськина, Шевченко, 2021), в которых смешанный опад лиственных и хвойных видов создает благоприятные трофические и топические условия для большего числа видов дождевых червей (Шевченко, Гераськина, 2023).
Наибольшее разнообразие видов и групп дождевых червей, а также значения численности и биомассы выявлены в дубравах неморальнотравных. Кроме того, для люмбрикофауны этого типа леса рассчитан самый высокий индекс разнообразия Шеннона (табл. 1). Несмотря на то, что опад дуба относится к опаду низкого качества (как трофический ресурс для почвенных сапрофагов (Kooch et al., 2017)) и дубравы неморальнотравные более сухие, чем, например, черноольшаники крупнопапоротниковые, именно в этих лесах выявлены самые высокие количественные показатели, характеризирующие население дождевых червей долины реки Уруп. Это может быть связано с разнообразием в ярусе подроста других лиственных видов: клена, граба, ясеня, легкоразлагаемый опад которых благоприятен для дождевых червей. Кроме того, в этих лесах разнообразие дождевых червей поддерживает валеж дуба, граба и березы, в котором обитают 4 из 7 видов люмбрицид, включая подстилочные и собственно почвенные виды.
Наименьшее разнообразие видов и групп люмбрицид выявлено в осинниках неморальнотравных. Поскольку опад осины также относится к трудноразлагаемому, и, кроме того, осинники представляют собой молодые послерубочные леса, в которых практически отсутствует валеж, эти факторы отрицательно сказываются на разнообразии люмбрицид.
Наименьшие значения численности и биомассы дождевых червей отмечены в буковых крупнопапоротниковых лесах (табл. 1), однако разнообразие видов и групп в этих лесах выше, чем в большинстве изученных типов леса (кроме дубрав неморальнотравных). Более высокие (относительно других типов леса) показатели разнообразия, вероятно, связаны с позднесукцессионным статусом этих лесов, наличием валежа, а низкие значения численности и биомассы – с неблагоприятным в трофическом отношении качеством опада, преобладающего в этих лесах: опад бука и вайи папоротника Dryopteris filix-mas. Также и в черноольшанниках крупнопапоротниковых в связи с доминированием в травяном покрове папоротников Dryopteris filix-mas и Matteuccia struthiopteris и отсутствием валежа поздних стадий разложения выявлены более низкие, чем ожидались показатели разнообразия дождевых червей.
Самый низкий индекс доминирования Симпсона, а также более высокий относительно большинства обследованных типов леса индекс разнообразия Шеннона (табл. 1) выявлены в буковых горноовсянницевых лесах – доминирующем и наиболее сохранившемся типе леса, не подверженном сплошным рубкам, с присутствием валежа поздних стадий разложения и наличием лесных окон, которые за счет большего поступления осадков способствуют поддержанию разнообразия люмбрикофауны (Kooch, Haghverdi, 2014; Shevchenko et al., 2021).
Группа подстилочных дождевых червей приурочена в первую очередь к лесам с преобладанием граба (грабовые неморальнотравные леса), в этом типе леса численность и биомасса подстилочных видов значимо выше в сравнении с другими типами (табл. 1). Основным фактором, способствующим поддержанию высокой численности и биомассы червей, населяющих горизонт подстилки, в этих лесах можно считать легкоразлагаемый опад граба.
Среди подстилочных видов чаще встречается космополит D. оctaedra, обитает как в подстилке, так и валеже во всех типах леса. Космополит B. rubidus единично встречен только в трех типах леса: грабово-буковых неморальнотравных, буковых крупнопапоротниковых и буковых ежевичных лесах, при этом зачастую только в валеже. Из-за отсутствия валежа хвойных видов деревьев, в которых B. rubidus чаще обитает (Шевченко, Гераськина, 2023), вероятно, выявлена такая низкая встречаемость этого вида. В широколиственных лесах Центрального Кавказа также была отмечена низкая встречаемость «бореальных» подстилочных видов: D. оctaedra отмечен только в грабовых лесах, B. rubidus отсутствовал (Рапопорт и др., 2017). Средиземноморский вид D. attemsi обитает в двух типах леса: дубравах неморальнотравных и буковых горноовсянницевых лесах – и чаще населяет валеж, чем подстилку, самые высокие значения численности этого вида выявлены в валеже дуба. Приуроченность данного вида к валежу дуба была отмечена и ранее на Северо-Западном Кавказе (Шевченко, Гераськина, 2023).
Группа почвенно-подстилочных видов населяет дубравы неморальнотравные, черноольшаники крупнопапоротниковые, грабовые неморальнотравные и грабово-буковые неморальнотравные. Так же, как и подстилочные виды, почвенно-подстилочные приурочены к высокому качеству опада и умеренной влажности почвы. Во всех указанных типах леса обитает почвенно-подстилочная форма крымско-кавказского субэндемика D. schmidti, в дубравах неморальнотравных, помимо D. schmidti, большой вклад в биомассу вносит космополит L. rubellus. Наибольшая численность почвенно-подстилочных видов выявлена в хорошо увлажненных черноольховых лесах (табл. 1), в дубравах высокие значения численности почвенно-подстилочных червей могут быть связаны с опадом подроста: клена, граба, ясеня, а также присутствием в подлеске лещины – благоприятного трофического ресурса для этой группы червей (Гераськина, 2020).
Группа собственно почвенных видов населяет все обследованные типы леса, во всех лесах численность и биомасса червей этой группы превышает численность и биомассу других групп (табл. 1). Качество опада, влажность почвы, а также присутствие валежа в меньшей степени имеют значение для поддержания разнообразия собственно почвенных видов дождевых червей, чем для подстилочных и почвенно-подстилочных. Лишь в небольшом числе проб в валеже встречены собственно почвенные виды. Среди группы собственно почвенных червей во всех типах исследуемых лесов наибольший вклад в биомассу вносит крымско-кавказский субэндемик D. schmidti. Средиземноморский A. jassyensis встречен значительно реже: в дубравах неморальнотравных, грабовых неморальнотравных и буковых ежевичных лесах. Космополит O. lacteum – индикатор переувлажненных почв (Всеволодова-Перель, 1997; Ермолов, 2020) – обнаружен только в черноольшаниках крупнопапоротниковых.
Норная группа представлена только крымско-кавказским субэндемиком D. nassonovi, который встречен в четырех типах леса: дубравах и осинниках неморальнотравных, буковых горноовсянницевых и крупнопапоротниковых лесах. Наибольшая численность и биомасса норных червей отмечена в осинниках неморальнотравных (табл. 1), приуроченных к наиболее увлажненным, гумусированным и богатым азотом почвам (рис. 5). Известно, что норник D. nassonovi обитает в лесах, которые характеризуются богатыми и хорошо дренированными почвами (Рапопорт, Цепкова, 2015).
ЗАКЛЮЧЕНИЕ
Для широколиственных лесов долины реки Уруп и ее притоков по эколого-фитоценотической классификации выделено 8 типов леса: дубравы неморальнотравные, осинники неморальнотравные, черноольшаники крупнопапоротниковые, грабовые неморальнотравные, грабово-буковые неморальнотравные, буковые горноовсянницевые, буковые крупнопапоротниковые леса и буковые ежевичные.
Флористическое разнообразие широколиственных лесов реки Уруп и ее притоков насчитывает 198 видов, из них – 156 видов сосудистых растений и 42 вида мхов. Наибольшее флористическое разнообразие отмечено для черноольшаников крупнопапоротниковых (117 видов) и грабовых неморальнотравных (116) типов леса. Флористическое разнообразие широколиственных лесов реки Уруп и ее притоков зависит от увлажненности почвы, экспозиции склонов и сомкнутости крон яруса древостоя. Установлено, что видовая насыщенность широколиственных типов леса полностью соответствует общему флористическому разнообразию.
Эколого-ценотическое ядро флоры широколиственных типов леса представлено неморальными, лугово-опушечными и бореальными видами растений. Эколого-ценотическая структура флоры долины реки Уруп зависит от положения относительно русла реки и доли Fagus orientalis в древостое. В прирусловых участках долины выше доля нитрофильных и околоводных видов по сравнению с типами леса, расположенными выше по склону. С увеличением доли Fagus orientalis увеличивается доля бореальных видов, появляются скальные виды, уменьшается доля лугово-опушечных видов.
В широколиственных лесах долины реки Уруп и ее притоков выявлено 8 видов дождевых червей, принадлежащих к четырем морфо-экологическим и трем хорологическим группам. Во всех типах леса по численности и биомассе преобладают собственно почвенные виды. Наибольший вклад в биомассу вносит крымско-кавказский субэндемик D. schmidti. Подстилочные, почвенно-подстилочные и норные виды часто малочисленны, за исключением грабовых неморальнотравных лесов. Из группы подстилочных видов космополит D. octaedra встречен повсеместно; космополит B. rubidus и средиземноморский вид D. attemsi обитают преимущественно в валеже. Космополиты из групп почвенно-подстилочных червей (L. rubellus) и собственно почвенных (O. lacteum) населяют только прирусловые участки долины. С продвижением вверх по склону усиливается роль крымско-кавказских субэндемиков (D. schmidti и D. nassonovi).
Разнообразие дождевых червей в широколиственных лесах поддерживается высоким качеством опада (леса с участием граба; дубовые леса с подростом клена, граба, ясеня, подлеском из лещины; неморальнотравные сообщества) и наличием валежа разных видов деревьев, присутствие которого частично компенсирует условия сухих местообитаний, например, в дубравах неморальнотравных и буковых горноовсянницевых лесах.
Sobre autores
N. Shevchenko
Center for Forest Ecology and Productivity of the Russian Academy of Sciences
Autor responsável pela correspondência
Email: angersgma@gmail.com
Rússia, Bldg. 14, 84/32, Profsoyuznaya St., Moscow, 117997
A. Geraskina
Center for Forest Ecology and Productivity of the Russian Academy of Sciences
Email: angersgma@gmail.com
Rússia, Bldg. 14, 84/32, Profsoyuznaya St., Moscow, 117997
Bibliografia
- Agroklimaticheskii spravochnik po Krasnodarskomu krayu (Agroclimatic guide to the Krasnodar Territory), Krasnodar 1961, 466 p.
- Belik V.P., Letnyaya ornitofauna predgornykh raionov Severnogo Kavkaza v mezhdurech’e Laby i Kubani (Summer avifauna in the foothill areas of the North Caucasus between the Laba and Kuban rivers), Russkii ornitologicheskii zhurnal, 2019, Vol. 28, No. 1799, pp. 3333–3407.
- Cherepanov S.K., Vascular plants of Russia and adjacent states (the former USSR), Cambridge: Cambridge university press, 1995, 516 p.
- Dinnik N.Y., Gory i ushchel’ya Kubanskoi oblasti (Mountains and gorges of the Kuban region), Zapiski Kavkazskogo otdeleniya IRGO, 1884, Vol. XIII, No. 1, pp. 307–363.
- Dyshekov M.M., Landshafty Karachaevo-Cherkesii v usloviyakh sovremennykh izmenenii klimata: diss. kand. geogr. nauk (Landscapes of Karachay-Cherkessia in the context of modern climate change. Candidate’s geogr. sci. thesis), Stavropol, 2008, 145 p.
- Ermolov S.A., Soobshchestva dozhdevykh chervei (Oligochaeta, Lumbricidae) khvoinykh i melkolistvennykh lesov lesostepnogo Priob’ya (Earthworm communities (Oligochaeta, Lumbricidae) of pine forests and small foliage forests in the forest-steppe Ob region), Voprosy lesnoi nauki, 2020, Vol. 3, No. 2, pp. 1–24.
- Geras’kina A.P., Shevchenko N.E., Otsenka priurochennosti morfo-ekologicheskikh grupp dozhdevykh chervei (Oligochaeta, Lumbricidae) k osnovnym tipam lesa basseina reki Bol’shaya Laba (Severo-Zapadnyi Kavkaz) (Assessment of the restrictions of morpho-ecological groups of earthworms (Oligochaeta, Lumbricidae) to the basic types of forest in the basin of Big Laba River, Northwestern Caucasus), Zoologicheskii zhurnal, 2021, Vol. 100, No. 1, pp. 3–16.
- Geras’kina A.P., Vliyanie dozhdevykh chervei raznykh morfo-ekologicheskikh grupp na akkumulyatsiyu ugleroda v lesnykh pochvakh (Impact of earthworms of different morpho-ecological groups on carbon accumulation in forest soils), Voprosy lesnoi nauki, 2020, Vol. 3, No. 2, pp. 1–20.
- Gvozdetskii N.A., Kavkaz. Ocherk prirody (Caucasus: a sketch of environment), Moscow: Geografgiz, 1963, 262 p.
- Ignatov M.S., Afonina O.M., Ignatova E.A., Abolina A., Akatova T.V., Baisheva E.Z., Bardunov L.V., Baryakina E.A., Belkina O.A., Bezgodov A.G., Boychuk M.A., Cherdantseva V.Ya., Czernyadjeva I.V., Doroshina G.Ya., Dyachenko A.P., Fedosov V.E., Goldberg I.L., Ivano-va E.I., Jukoniene I., Kannukene L., Kazanovsky S.G., Kharzinov Z.Kh., Kurbatova L.E., Maksimov A.I., Mamatkulov U.K., Manakyan V.A., Maslovsky O.M., Napreenko M.G., Otnyukova T.N., Partyka L.Ya., Pisarenko O.Yu., Popova N.N., Rykovsky G.F., Tubanova D.Ya., Zheleznova G.V., Zolotov V.I., The checklist of mosses of East Europe and North Asia, Arctoa. 2006, Vol. 15, pp. 1–130.
- Khe V.K., K istorii prirodookhrannykh meropriyatii po sokhraneniyu i vosstanovleniyu chislennosti redkikh vidov mlekopitayushchikh Kavkaza (To history of nature protection actions for preservation and restoration of number of rare species of mammals of Caucasus), Fundamental’nye issledovaniya, 2010, No. 10, pp. 25–33.
- Kooch Y., Haghverdi K., Earthworms-good indicators for forest disturbance, Journal of BioScience and Biotechnology, 2014, Vol. 3, No. 2, pp. 155–162.
- Kooch Y., Samadzadeh B., Hosseini S.M., The effects of broad-leaved tree species on litter quality and soil properties in a plain forest stand, Catena, 2017, Vol. 150, pp. 223–229.
- Landolt E., Bäumler B., Erhardt A., Hegg O., Klöt-zli F., Lämmler W., Nobis M., Rudmann-Maurer K., Schweingruber F.H., Theurillat J.-P., Urmi E., Vust M., Wohlgemuth T., Flora indicative. Ökologische Zeigerwerte und biologische Kennzeichen zur Flora der Schweiz und der Alpen, Bern: Haupt-Verlag, 2010, 376 p.
- McCune B., Mefford M.J., PC-ORD. Multivariate Analysis of Ecological Data, Version 5.10. MjM Software. 2006. Gleneden Beach, Oregon.
- Metodicheskie podkhody k ekologicheskoi otsenke lesnogo pokrova v basseine maloi reki (Methodical approaches to environmental assessment of forest cover in a small catchment), Moscow: Tovarishchestvo nauchnykh izdanii KMK, 2010, 383 p.
- Metody pochvenno-zoologicheskikh issledovanii (Methods of soil-zoological research), Moscow: Nauka, 1975, 304 p.
- Otsenka i sokhranenie bioraznoobraziya lesnogo pokrova v zapovednikakh Evropeiskoi Rossii (Evaluation and conservation of biodiversity of the forest cover in nature reserves of European part of Russia), Moscow: Nauchnyi mir, 2000, 186 p.
- Peet R.K., Roberts D.W., Classification of natural and semi-natural vegetation, Vegetation Ecology, New York: Oxford university Press, 2013, pp. 28–70.
- Rapoport I., Tsepkova N., Struktura naseleniya i topicheskie preferendumy dozhdevykh chervei (Oligochaeta, Lumbricidae) v pochvakh etalonnykh lesnykh formatsii basseinov rek Teberda i Bol’shoi Zelenchuk (Teberdinskii zapovednik, Severo-Zapadnyi Kavkaz) (Population structure and topical preferendum of earthworms (Oligochaeta, Lumbricidae) in the soils of normal forest formations of the Teberda and Bolshoi Zelenchuk river basins (Teberda Nature Reserve, North-western Caucasus)), Izvestiya Samarskogo nauchnogo tsentra Rossiiskoi Akademii nauk, 2015, Vol. 17, No. 6-1, pp. 33–39.
- Rapoport I.B., Zenkova I.V., Tsepkova N.L., Earthworm (Oligochaeta, Lumbricidae) populations of the Karasu River basin (Central Caucasus), Biology Bulletin, 2017, Vol. 44, No. 8, pp. 941–951.
- Rastitel’nost’ evropeiskoi chasti SSSR (The vegetation of the European part of the USSR), Leningrad: Nauka, 1980, 429 p.
- Shekhovtsov S.V., Rapoport I.B., Poluboyarova T.V., Geras’kina A.P., Golovanova E.V., Pel’tek S.E., Morfotipy i geneticheskaya izmenchivost’ Dendrobaena schmidti (Lumbricidae, Annelida) (Morphotypes and genetic diversity of Dendrobaena schmidti (Lumbricidae, Annelida)), Vavilovskii zhurnal genetiki i selektsii, 2020, Vol. 24, No. 1, pp. 48–54.
- Shevchenko N., Geraskina A., Kuprin A., Grabenko E., The role of canopy gaps in maintaining biodiversity of plants and soil macrofauna in the forests of the northwestern Caucasus, Ecological Questions, 2021, Vol. 32, No. 2, pp. 93–110.
- Shevchenko N.E., Braslavskaya T.Y., Shirokolistvennye lesa Severo-Zapadnogo Kavkaza. I. Poryadok Carpinetalia betuli P. Fukerek 1968 (Broad-leaved forests in the north-Western CauCasus. I. Order Carpinetalia betuli P. fukarek 1968), Rastitel’nost’ Rossii, 2021, No. 42, pp. 118–145.
- Shevchenko N.E., Geras’kina A.P., Vidovoe i strukturnoe raznoobrazie khvoino-shirokolistvennykh lesov basseina reki Pshekhi na Severo-Zapadnom Kavkaze (Species and structural diversity of coniferous-broadleaved mixed forests of the Pshekha River, North-Western Caucasus), Lesovedenie., 2023, No. 6, pp. 637–654.
- Smirnova O.V., Zaugol’nova L.B., Khanina L.G., Bobrovskii M.V., Toropova N.A., Populyatsionnye i fitotsenoticheskie metody analiza bioraznoobraziya rastitel’nogo pokrova (Population and fitocoenotic methods of estimation of biodiversity of plant cover), In: Sokhranenie i vosstanovlenie bioraznoobraziya (Conservation and reclamation of biodiversity), Moscow: Izd-vo NUMTs, 2002, pp. 145–194.
- Spirin V.A., Shirokov A.I., Osobennosti gumifikatsii valezha v nenarushennykh pikhtovo-elovykh lesakh Nizhegorodskoi oblasti (The features of the wood-decay in the virgin abies-fir forests from Nizhny Novgorod Region), Mikologiya i fitopatologiya, 2002, Vol. 36, No. 3, pp. 25–31.
- Spravochnik lesotaksatsionnykh normativov dlya Severnogo Kavkaza (Handbook of forest taxation standards for the North Caucasus), January 19, 1995, Moscow, 90 p.
- Vsevolodova-Perel’ T.S., Dozhdevye chervi fauny Rossii: Kadastr i opredelitel’ (Earthworms of Russian fauna: inventory and key), Moscow: Nauka, 1997, 101 p.
- Zaugolnova L.B., Martynenko V.B., Opredelitel' tipov lesa Evropejskoj Rossii (Determinant of forest types in European Russia), www.cepl.rssi.ru/bio/forest/index.htm (February 27, 2023).
- Zernov A.S., Onipchenko V.G., Sosudistye rasteniya Karachaevo-Cherkesskoi Respubliki (Vascular plants of the Karachay-Cherkess Republic), Moscow: Maks Press, 2011, 237 p.
Arquivos suplementares







