Структура древостоев сосны на катене от бора до олиготрофного болота
- Авторы: Стороженко В.Г.1, Глухова Т.В.1
-
Учреждения:
- Институт лесоведения РАН
- Выпуск: № 6 (2023)
- Страницы: 577-586
- Раздел: ОРИГИНАЛЬНЫЕ СТАТЬИ
- URL: https://journals.rcsi.science/0024-1148/article/view/148137
- DOI: https://doi.org/10.31857/S0024114823060098
- EDN: https://elibrary.ru/EKBGWZ
- ID: 148137
Цитировать
Полный текст
Аннотация
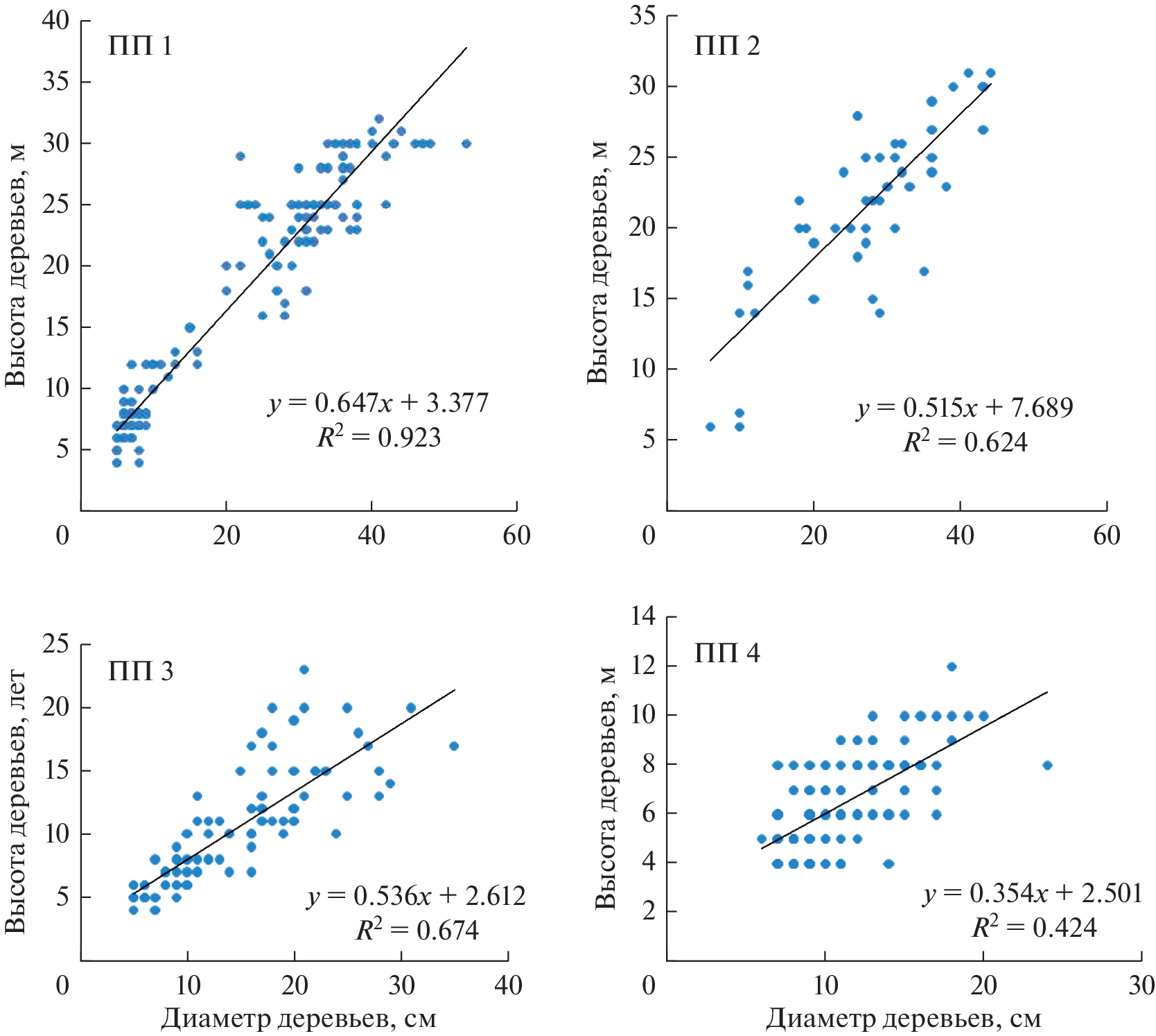
В статье представлены результаты исследований структуры древостоев сосновой катены, заложенной в Западнодвинском лесничестве Тверской обл. (Западнодвинский лесоболотный стационар Института лесоведения РАН, ИЛАН РАН), связывающей биогеоценозы боровой и болотной части олиготрофного болота. Цель исследований – изучить лесоводственные характеристики, морфометрические показатели, происхождение, возрастную структуру, динамические процессы, объемные показатели древостоев сосняков при переходе боровой части катены к олиготрофному верховому болоту. Сосновая катена длиной 110 м и шириной 40 м включает в себя четыре части: верхнюю боровую автономную (ПП 1), склоновую транзитную (ПП 2 и 3) и аккумулятивную (ПП 4) со сменой типов леса от сосняка бруснично-черничного II бонитета до сосняка кустарничково-сфагнового олиготрофного на мощных до 6 м торфах V класса бонитета, подстилаемого озерным сапропелем. Возрастная структура древостоев изменяется от условной одновозрастной восстановительной динамики в боровой части до абсолютно разновозрастной близкой к климаксовой фазе динамики олиготрофного сфагнового болота. Лучшими показателями состояния характеризуется древостой боровой части, худшими – древостой олиготрофного болота. Сосновый биогеоценоз олиготрофного сфагнового болота по динамическим характеристикам близок к устойчивым климаксовым лесным сообществам с максимальным возрастом деревьев первых поколений 240–280 лет. Состояние древостоев по профилю катены изменяется от здорового в боровой части до ослабленного с деградационной динамикой развития в аккумулятивной части сфагнового болота.
Ключевые слова
Об авторах
В. Г. Стороженко
Институт лесоведения РАН
Автор, ответственный за переписку.
Email: lesoved@mail.ru
Россия, 143030, Одинцовский р-н, Московская обл., с. Успенское
Т. В. Глухова
Институт лесоведения РАН
Email: lesoved@mail.ru
Россия, 143030, Одинцовский р-н, Московская обл., с. Успенское
Список литературы
- Александрова В.В., Цыганова В.И., Иванова А.В. Оценка состояния Pinus sylvestris L. в олиготрофных экосистемах Среднего Приобъя // Сборник избранных статей по материалам науч. конференций ГНИИ “Нацразвитие”. Санкт-Перербург, 2021. С. 8–12.
- Аринушкина Е.В. Руководство по химическому анализу почв. М.: МГУ, 1970. 487 с.
- Базин Е.Т., Копенкин В.Д. Технический анализ торфа. М.: Недра, 1992. 430 с.
- Биогеоценологическое изучение болотных лесов в связи с опытной гидролесомелиорацией. М.: Наука, 1982. 207 с.
- Глебов Ф.З., Торейко Л.С. О биологической продуктивности болотных лесов в лесообразовательном и болотообразовательном процессах // Ботанический журнал. 1975. Т. 60. № 9. С. 1336–1349.
- Головацкая Е.А. Биомасса и продукция древесного яруса сосново-кустарничково-сфагновых болот южной тайги Западной Сибири // Лесоведение. 2017. № 2. С. 102–110.
- Дыренков С.А. Структура и динамика таежных ельников. Л.: Наука, 1984. 176 с.
- Дворецкий М.Л. Пособие по вариационной статистике. М.: Лесная пром-сть, 1971. 104 с.
- Иванов А.И. Структура и первичная продуктивность сосняков болотного ряда: автореф. дис… канд. биол. наук: 03.00.05. М.: МГУ, 1979. 20 с.
- Вомперский С.Э., Иванов А.И. Вертикально-фракционная структура и первичная продуктивность сосняков болотного ряда // Лесоведение. 1978. № 6. С. 13–24.
- Комин Г.Е. Некоторые особенности строения разновозрастных древостоев заболоченных сосняков // Разновозрастные леса Сибири, Дальнего Востока и Урала и ведение хозяйства в них. Красноярск: Вост. Сиб. кн. изд-во, 1967. С.19–26.
- Комин Г.Е., Семечкин И.В. Возрастная структура древостоев и принципы ее типизации // Лесоведение. 1970. № 2. С. 24–33.
- Коронатова Н.Г. Продуктивность древесного яруса на выпуклых олиготрофных болотах западной Сибири: Материалы IV Междунар. конф. “Биогеоценология и ландшафтная экология: итоги и перспективы”. 2012. С. 76–80.
- Коронатова Н.Г., Миляева Е.В. Определение продуктивности сосновых древостоев в разных типах северотаежных болот // Интерэкспо Гео-Сибирь. 2014. Т. 4. № 2. С. 79–83.
- Кочубей А.А., Санникова Н.С. Динамика поселения, выживания и численности подроста сосны на гарях в сосняках багульниково-кассандрово-сфагновых: Матер. XV Междунар. конф. молодых ученых “Леса Евразии – большой Алтай”. 2015. С. 60–63.
- Плейстоценовые оледенения Восточно-Европейской равнины / Под ред. А.А. Величко, М.А. Фаустовой. М.: Наука, 1981. 203 с.
- Правила санитарной безопасности в лесах (утв. приказом М-ва природных ресурсов и экологии РФ от 24 декабря 2013 г. № 613). М., 2013. 23 с.
- Правдин Л.Ф. Сосна обыкновенная. М.: Наука, 1964. 161 с.
- Рысин Л.П., Савельева Л.И. Сосновые леса России. М.: Товарищество научных изданий КМК, 2008. 288 с.
- Семенский Е.П. Технический анализ торфа. М.: Недра, 1966. 231 с.
- Солоневич Н.Г. Структура и продуктивность некоторых болотных растительных сообществ // Труды БИН РАН. 1963. Сер. 3. Вып. 15. С. 3–93.
- Стороженко В.Г. Устойчивые лесные сообщества. М.: Гриф и К, 2007. 190 с.
- Стороженко В.Г. Древесный отпад в коренных лесах Русской равнины. М.: Товарищество научных изданий КМК, 2011. 122 с.
- Стороженко В.Г., Крутов В.И., Руоколайнен А.В., Коткова В.М., Бондарцева М.А. Атлас-определитель дереворазрушающих грибов лесов Русской равнины. М.: Гриф и К, 2014. 198 с.
- Сукачев В.Н. О болотной сосне // Лесной журнал. 1905. Т. 35. № 3. С. 354–372.
- Третьяков Н.В, Горский П.В., Самойлович Г.Г. Справочник таксатора. М-Л.: Гослесбумиздат, 1952. 853 с.
- Шварцман Ю.Г., Болотов И.Н. Пространственно-временная неоднородность таежного биома в области плейстоценовых материковых оледенений. Екатеринбург: УрО РАН, 2008. 263 с.
- Цветков В.Ф., Семенов Б.А. Сосняки Крайнего Севера. М.: Агропромиздат, 1985. 116 с.
- Chaddock R.E. Principles and methods of statistics. Boston, New York, 1925. 471 p.
- Prieditis N. Pine-birch forest communities on nondrained peatlands in Latvia // Feddes Repertorium. 1993. V. 104. № 3–4.
- Eckstein J., Leuschner H.H., Bauerochse A. Mid-Holocene pine woodland phases and mire development – significance of dendroecological data from subfossil trees from northwest Germany // Journal of Vegetation Science. 2011.V. 22. № 5.
Дополнительные файлы










