Comparative Assessment of the Functional Efficiency of Arboriflora Species Composition in Urban Green Spaces
- Authors: Shikhova N.S.1
-
Affiliations:
- Federal Scientific Center of the East Asia Terrestrial Biodiversity FEB RAS
- Issue: No 3 (2023)
- Pages: 277-289
- Section: RESEARCH
- URL: https://journals.rcsi.science/0024-1148/article/view/137877
- DOI: https://doi.org/10.31857/S0024114823030105
- EDN: https://elibrary.ru/PXCGHW
- ID: 137877
Cite item
Full Text
Abstract
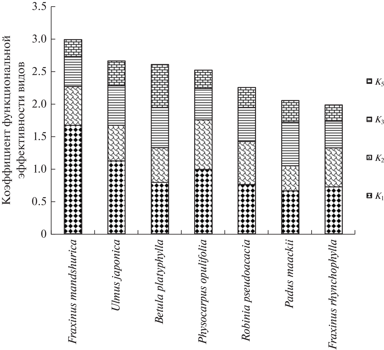
The article discusses the results of a comprehensive analysis of the ecological state and environment-stabilizing functions of the species composition of arboriflora in the urban planting structure. It’s based on a large amount of factual material obtained during the course of a long-term monitoring of Vladivostok’s urban greenery. A methodological substantiation has been developed for a comprehensive qualitative-quantitative assessment of species using the applied qualimetry techniques. An integral indicator, named the coefficient of the functional efficiency of the species (JFEC) was proposed as the main evaluation unit. It is a relative-quantitative magnitude of plants quality that characterises their functional efficiency and significance in urban ecosystems: prevalence in greenery planting, vitality, the ability for accumulation of the priority pollutant metals in the urban environment, their concentration relative to the local ecological background; the capability for accumulating metals from the soil. Comparative analysis of the functional efficiency of 80 species of trees and shrubs forming the urban greenery of Vladivostok on the basis of the proposed coefficient was carried out. Among the compared sample of plants, the JFEC decreases from 3.70 (Crataegus pinnatifida) to 1.13 (Malus mandshurica). This values measure up to 74 and 23% of the quality standard (QS), which corresponds to the ideal plant species. The groups of species of different functional significance in the urban green spaces structure have been identified. The best efficiency in creating the comfortable environmental conditions in the city was demonstrated by species widespread in landscaping: Fraxinus mandshurica, Ulmus japonica, Betula platyphylla, Physocarpus opulifolia et al. They are characterized by the maximum participation in the formation of the urban greenery structure and a high ability to absorb the main pollutants of the urban environment. The JFEC of these species is within 3.26–2.61, which corresponds to 65–52% of the QS. In conclusion, author makes a suggestion on a rational use of species for the formation of a comfortable urban environment and introduction of the results into the practice of managing the urban green fund.
About the authors
N. S. Shikhova
Federal Scientific Center of the East Asia Terrestrial Biodiversity FEB RAS
Author for correspondence.
Email: shikhova@biosoil.ru
Russian, 690022, Vladivostok, Stoletiya Street, 159
References
- Авдеева Е.В., Вагнер Е.А., Надемянов В.Ф., Черникова К.В. Информационно-аналитическая система “Управление качеством городских объектов озеленения”. Модуль I – Мониторинг состояния городских объектов озеленения // Хвойные бореальной зоны. 2015а. Т. XXXIII. № 3–4. С. 89–95.
- Авдеева Е.В., Вагнер Е.А., Надемянов В.Ф., Черникова К.В. Информационно-аналитическая система “Управление качеством городских объектов озеленения”. Модуль II – Оценка качества городских объектов озеленения // Хвойные бореальной зоны. 2015б. Т. XXXIII. № 3–4. С. 96–102.
- Авдеева Е.В., Полетайкин В.Ф., Авдеева Е.А. Оценка уровня качества объектов городского озеленения методами прикладной квалиметрии // Хвойные бореальной зоны. 2008. Т. XXV. № 1–2. С. 93–97.
- Азгальдов Г.Г., Гличев А.В., Панов В.П. Что такое качество? М.: Экономика, 1968. 135 с.
- Азгальдов Г.Г., Райхман Э.П. О квалиметрии. М.: Изд-во стандартов, 1973. 172 с.
- Алексеев В.А. Диагностика жизненного состояния деревьев и древостоев // Лесоведение. 1989. № 4. С. 51–57.
- Перельман А.И. Геохимия: учебное пособие. М.: Высшая школа. 1979. 423 с.
- Сает Ю.Е. Геохимическая оценка техногенной нагрузки на окружающую среду // Геохимия ландшафтов и география почв. М.: МГУ, 1982. С. 84–100.
- Скачкова М.Е., Копалова К.М. Методическое обеспечение оценки уровня комфортности зеленых насаждений общего пользования // Природообустройство. 2018. № 2. С. 125–131.
- Уфимцева М.Д., Терехина Н.В. Фитоиндикация экологического состояния урбогеосистем Санкт-Петербурга. СПб.: Наука, 2005. 339 с.
- Федорова Н.Б. Определение качества и ценности зеленых насаждений на территории Санкт-Петербурга // Лесной вестник. 2011. № 4. С. 144–151.
- Шихова Н.С. Комплексная оценка состояния лесов зеленой зоны Владивостока // Лесоведение. 2015. № 6. С. 436–446.
- Шихова Н.С. Оценка функционального состояния зеленых насаждений и аккумуляции ими тяжелых металлов на городских озелененных территориях различного назначения // Сибирский экологический журн. 2019. № 5. С. 612–626.
- Шихова Н.С. Трансформация дальневосточной арборифлорой техногенных загрязнений среды // Аграрный вестник Приморья. 2016. № 1. С. 29–32.
- Шихова Н.С. Экологическое состояние почв и зеленых насаждений Владивостока // Экология урбанизированных территорий. 2013. № 1. С. 97–102.
- Шихова Н.С. Эколого-геохимические особенности растительности Южного Приморья и видоспецифичность арборифлоры в накоплении тяжелых металлов // Сибирский лесной журн. 2017. № 6. С. 76–88.
- Шихова Н.С., Полякова Е.В. Деревья и кустарники в озеленении города Владивостока. Владивосток: Дальнаука, 2006. 236 с.
- Шихова Н.С., Полякова Е.В. Оценка жизненного состояния и устойчивости видов в озеленении г. Владивостока // Бюллетень ГБС. 2003. Вып. 185. С. 14–27.
- Aliman M., Yustisia A., Barlian E., Syah N. Spatial Analysis of the Needs of Green Open Space at Universitas Negeri Padang // Sumatra Journal of Disaster, Geography and Geography Education. 2017. V. 1. № 2. P. 140–146.
- Daniels B., Zaunbrecher B.S., Paas B., Ottermanns R., Ziefle M., Roß-Nickoll M. Assessment of urban green space structures and their quality from a multidimensional perspective // Science of The Total Environment. 2018. V. 615. P. 1364–1378.
- Dennis M., James P. Considerations in the valuation of urban green space: accounting for user participation // Ecosystem Services. 2016. V. 21 (Part A). P. 120–129.
- Ives C., Oke C., Cooke B., Gordon A., Bekessy S. Planning for green open space in urbanising landscapes: Final report for Australian Government Department of Environment. 2014. 94 p.
- James P., Tzoulas K., Adams M.D., Barber A., Box J., Breuste J., Elmqvist T., Frith M., Gordon C., Greening K.L., Handley J., Haworth S., Kazmierczak A.E., Johnston M., Korpela K., Moretti M., Niemelä J., Pauleit S., Roe M.H., Sadler J.P. Towards an integrated understanding of green space in the European built environment // Urban Forestry and Urban Greening. 2009. V. 8. Issue 2. P. 65–75.
- Jankevica M. Assessment of landscape ecological aesthetics in urban areas: Example of Jelgava // Research for Rural Development. 2012. № 2. P. 134–140.
- Niemelä J. Ecology of urban green spaces: The way forward in answering major research questions // Landscape and Urban Planning. 2014. V. 125. P. 298–303.
- Ridder K. De., Adamec V., Bañuelos A., Bruse M., Bürger M., Damsgaard O., Dufek J., Hirsch J., Lefebre F., Pérez–Lacorzana J.M., Thierry A., Weber C. An integrated methodology to assess the benefits of urban green space // Science of The Total Environment. 2004. V. 334–335. P. 489–497.
Supplementary files





