Взаимосвязи фенольных соединений, танинов, лигнина, азота и углерода в растениях ельников кустарничково-зеленомошных на Кольском полуострове
- Авторы: Артемкина Н.А.1
-
Учреждения:
- Институт проблем промышленной экологии Севера КНЦ РАН
- Выпуск: № 1 (2023)
- Страницы: 35-43
- Раздел: ОРИГИНАЛЬНЫЕ СТАТЬИ
- URL: https://journals.rcsi.science/0024-1148/article/view/137845
- DOI: https://doi.org/10.31857/S0024114823010047
- EDN: https://elibrary.ru/NGJMDA
- ID: 137845
Цитировать
Полный текст
Аннотация
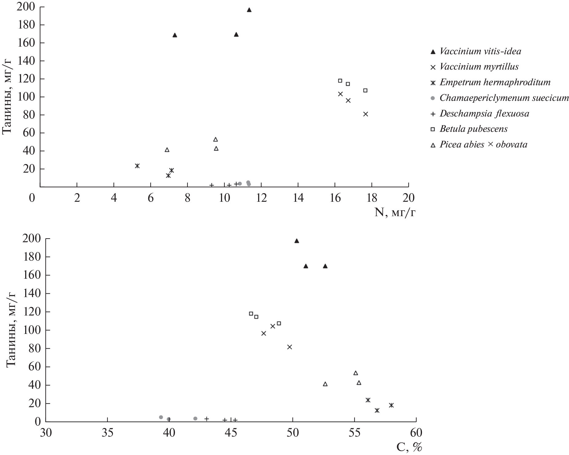
Анализировали стареющие (опадающие) органы (листья/хвоя) следующих растений: ель сибирская (Picea abies ssp. obovata (Ledeb.) Domin), береза пушистая (Betula pubescens Ehrh), брусника обыкновенная (Vaccinium vitis-idaea L.), водяника гермафродитная (Empetrum hermaphroditum Hager.), черника обыкновенная (Vaccinium myrtillus L.), плевроциум Шребера (Pleurozium schreberi (Brid.) Mitt.), политрихум (Polytrichum spp.), дерен шведский (Chamaepericlymenum suecicum (L.) Aschers. & Graebn. (Cornus suecica L.)), овсик извилистый (Deschampsia flexuosa (L.) Trin.). Установили значительное варьирование химического состава (содержание лигнина, фенольных соединений, танинов, азота и углерода, а также стехиометрические отношения “С/N”, “лигнин/N”, “лигнин/целлюлоза”) среди растений северотаежных лесов на межвидовом уровне. Поступление вторичных метаболитов с опадом зависит от видового состава растительных сообществ и вклада различных видов растений в состав растительного покрова. На внутривидовом уровне (для ели сибирской, произрастающей в различных положениях ландшафта ельников кустарничково-зеленомошных (автоморфный, транзитный и аккумулятивный ландшафты)) определили повышение содержания растворимых танинов (p < 0.05) в хвое ели в автоморфной позиции ландшафта. Изучены некоторые взаимосвязи между вторичными метаболитами, азотом и углеродом в составе стареющих фотосинтезирующих органах доминирующих различных видов растений в северотаежных ельниках кустарничково-зеленомошных.
Ключевые слова
Об авторах
Н. А. Артемкина
Институт проблем промышленной экологии Севера КНЦ РАН
Автор, ответственный за переписку.
Email: n.artemkina@ksc.ru
Россия, 184200, Мурманская обл, Апатиты, мкр-н Академгородок, д. 14а
Список литературы
- Артемкина Н.А., Орлова М.А., Лукина Н.В. Микромозаика растительности и вариабельность химического состава L-горизонтов подстилки северотаежных ельников кустарничково-зеленомошных // Лесоведение. 2018а. № 2. С. 97–106. https://doi.org/10.7868/S002411481802002X
- Артемкина Н.А., Лукина Н.В., Орлова М.А. Пространственное варьирование содержания вторичных метаболитов, углерода и азота в подстилках северотаежных ельников // Лесоведение. 2018б. № 1. С. 37–47. https://doi.org/10.7868/S0024114818010035
- Колмогорова Е.Ю., Уфимцев В.И. Некоторые особенности химического состава опада сосны обыкновенной, произрастающей в условиях породного отвала // Успехи современного естествознания. 2018. № 11-2. С. 267–272.
- Ларионова А.А., Квиткина А.К., Быховец С.С., Лопес де Гереню В.О., Колягин Ю.Г., Каганов В.В. Влияние азота на минерализацию и гумификацию лесных опадов в модельном эксперименте // Лесоведение. 2017. № 2. С. 128–139.
- Лебедев В.Г., Шестибратов К.А. Генная инженерия биосинтеза лигнина в деревьях: компромисс между свойствами древесины и жизнеспособностью растений // Физиология растений. 2021. Т. 68. № 4. С. 339–355.
- Лебедев В.М., Лебедев Е.В. Вопросы аллелопатии в лесных фитоценозах – состояние и перспективы // Агрохимия. 2015. № 4. С. 85–91.
- Манаков К.Н., Никонов В.В. Биологический круговорот минеральных элементов и почвообразование в ельниках Крайнего Севера. Л.: Наука, 1981. 196 с.
- Шевченко Н.Е., Кузнецова А.И., Тебенькова Д.Н., Смирнов В.Э., Гераськина А.П., Горнов А.В., Грабенко Е.А., Тихонова Е.В., Лукина Н.В. Сукцессионная динамика растительности и запасы почвенного углерода в хвойно-широколиственных лесах Северо-Западного Кавказa // Лесоведение. 2019. № 3. С. 163–176. https://doi.org/10.1134/S0024114819030082
- Aerts R., van Bodegom P.M., Cornelissen J.H.C. Litter stoichiometric traits of plant species of high-latitude ecosystems show high responsiveness to global change without causing strong variation in litter decomposition // New Phytologist. 2012. V. 196. P. 181–188. https://doi.org/10.1111/j.1469-8137.2012.04256.x
- Berg B. Foliar Litter Decomposition: A Conceptual Model with Focus on Pine (Pinus) Litter – A Genus with Global Distribution // ISRN Forestry. 2014. V. 2014. P. 1–22. https://doi.org/10.1155/2014/838169
- Berg B. Litter decomposition and organic matter turnover in northern forest soils // Forest Ecology and Management. 2000. V. 133. P. 13–22.
- Cheynier V., Comte G., Davies K.M., Lattanzio V., Martens S. Plant phenolics: Recent advances on their biosynthesis, genetics, and ecophysiology // Plant Physiology and Biochemistry. 2013. V. 72. P. 1–20.
- Cornwell W.K., Cornelissen J.H.C., Amatangelo K., Dorrepaal E., Eviner V.T., Godoy O., Hobbie S.E., Hoorens B., Kurokawa H., Perez–Harguindeguy N. et al. 2008. Plant species traits are the predominant control on litter decomposition rates within biomes worldwide // Ecology Letters. 2008. V. 11. № 10. P. 1065–1071.
- Fortunel C., Garnier E., Joffre R., Kazakou E., Quested H., Grigulis K., Lavorel S., Ansquer P., Castro H., Cruz P., Doleżal J., Eriksson O., Freitas H., Golodets C., Jouany C., Kigel J., Kleyer M., Lehsten V., Lepš J., Meier T., Pakeman R., Papadimitriou M., Papanastasis V. P., Quetier F., Robson M., Sternberg M., Theau J.-P., Thebault A., Zarovali M. Leaf traits capture the effects of land use changes and climate on litter decomposability of grasslands across Europe // Ecology. 2009. V. 90. № 3. P. 598–611.
- He M., Zhao R., Tian Q., Huang L., Wang X., Liu F. Predominant effects of litter chemistry on lignin degradation in the early stage of leaf litter decomposition // Plant and Soil. 2019. V. 442. P. 453–469. https://doi.org/10.1007/s11104-019-04207-6
- Kanerva S., Kitunen V., Loponen J., Smolander A. Phenolic compounds and terpenes in soil organic horizon layers under silver birch, Norway spruce and Scots pine // Biology and Fertility of Soils. 2008. V. 44. P. 547–556.
- Kivimäenpää M., Riikonen J., Sutinen S., Holopainen T. Cell structural changes in the mesophyll of Norway spruce needles by elevated ozone and elevated temperature in open-field exposure during cold acclimation // Tree Physiology. 2014. V. 34. № 4. P. 389–403.
- Osono T., Takeda H. Accumulation and release of nitrogen and phosphorus in relation to lignin decomposition in leaf litter of 14 tree species // Ecological Research. 2004. V. 19. № 6. P. 593–602.
- Ossipova S., Ossipov V., Haukioja E., Loponen J., Pihlaja K. Proanthocyanidins of mountain birch leaves: quantification and properties // Phytochemical Analysis. 2001. V. 12. № 2. P. 128–133.
- Parton W., Silver W.L., Burke I.C., Grassens L., Harmon M.E., Currie W.S., King J.Y., Adair E.C., Brandt L.A., Hart S.C., et al. Global-scale similarities in nitrogen release patterns during long-term decomposition // Science. 2007. V. 315. P. 361–364. https://www.jstor.org/stable/20035252
- Rosenfield M.V., Keller J.K., Clausen C., Cyphers K., Funk J.L. Leaf traits can be used to predict rates of litter decomposition // Oikos. 2020. V. 129. P. 1589–1596. https://doi.org/10.1111/oik.06470
- Rowland A.P., Roberts J.D. Lignin and cellulose fractionation in decomposition studies using acid-detergent fibre methods // Communications in Soil Science and Plant Analysis. 1994. V. 25. № 3–4. P. 269–277.
- Wardle D.A., Nilsson M.-C., Zackrisson O., Gallet C. Determinants of litter mixing effects in a Swedish boreal forest // Soil Biology and Biochemistry. 2003. V. 35. P. 827–835.
Дополнительные файлы







