Study of Pb0.5Cd0.25Lu0.25F2.25 fluorite solid solution with congruent melting nature
- Authors: Buchinskaya I.I.1, Koldaeva М.V.1, Sorokin N.I.1, Kulikov A.G.1, Karimov D.N.1
-
Affiliations:
- Shubnikov Institute of Crystallography of Kurchatov Complex of Crystallography and Photonics of NRC “Kurchatov Institute”
- Issue: Vol 70, No 1 (2025)
- Pages: 73-83
- Section: ФИЗИЧЕСКИЕ СВОЙСТВА КРИСТАЛЛОВ
- URL: https://journals.rcsi.science/0023-4761/article/view/286251
- DOI: https://doi.org/10.7868/S3034551025010105
- EDN: https://elibrary.ru/ISQRBO
- ID: 286251
Cite item
Abstract
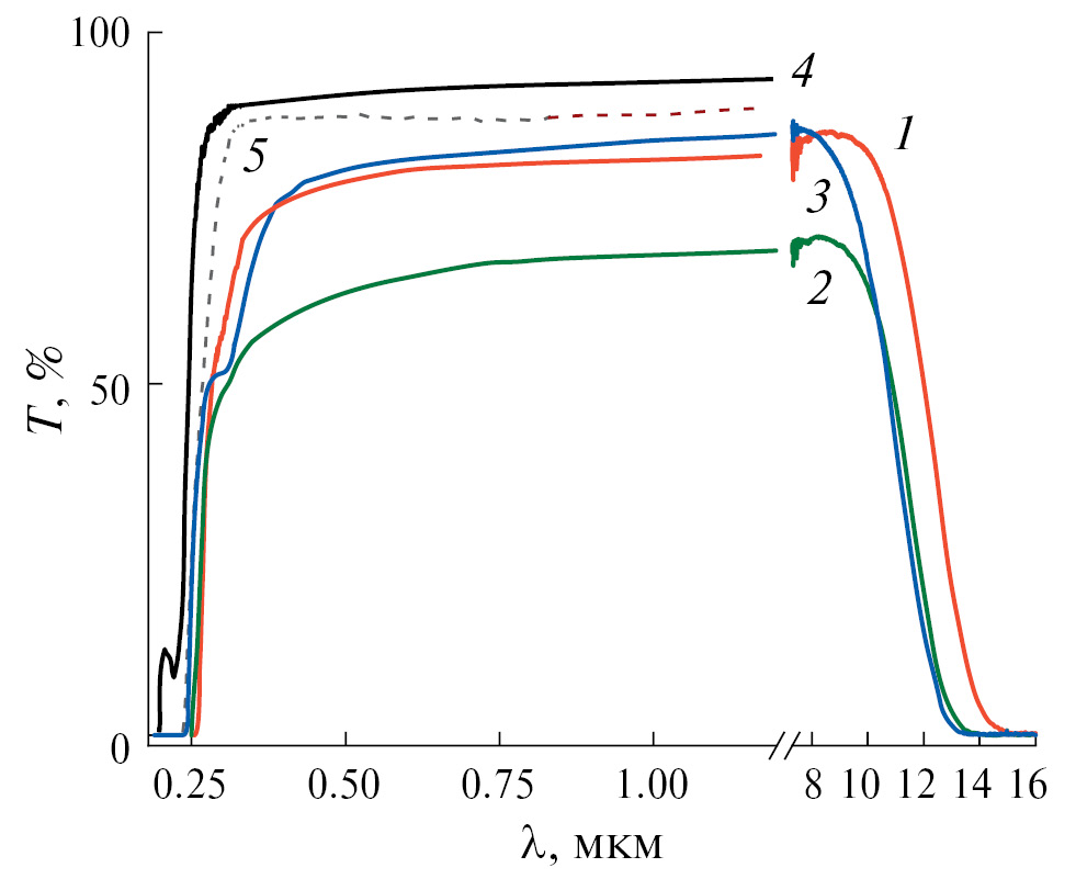
For the first time, the optical, mechanical and conductive properties of the Pb0.5Cd0.25Lu0.25F2.25 crystalline matrix were studied in comparison with the crystals of the initial single-component fluorides. The short-wavelength transparency boundary of the three-component mixed crystal is determined by the presence of PbF2 in its composition, the IR boundary is naturally shifted up to 15 μm due to the presence of LuF3 in the composition. The refractive index of the studied solid solution n = 1.6889 on the λ = 0.6328 μm wavelength is lower than that of the PbF2 crystal due to the introduction of less polarizable components CdF2 and LuF3. For the three-component crystal, significant strengthening is observed, the microhardness HV = 2.5 GPa, which exceeds the hardness values of PbF2 and CdF2 by almost 40%. The electrical conductivity of Pb0.5Cd0.25Lu0.25F2.25 sdc at 500 K is 5.5 × 10−5 S/cm, which corresponds to the conductivity level of solid solutions M1−xLuxF2+x (M = Ca, Sr, Ba). The studied multicomponent fluoride material can be a promising crystalline medium for various photonic applications.
Full Text
About the authors
I. I. Buchinskaya
Shubnikov Institute of Crystallography of Kurchatov Complex of Crystallography and Photonics of NRC “Kurchatov Institute”
Author for correspondence.
Email: buchinskayii@gmail.com
Russian Federation, Moscow
М. V. Koldaeva
Shubnikov Institute of Crystallography of Kurchatov Complex of Crystallography and Photonics of NRC “Kurchatov Institute”
Email: buchinskayii@gmail.com
Russian Federation, Moscow
N. I. Sorokin
Shubnikov Institute of Crystallography of Kurchatov Complex of Crystallography and Photonics of NRC “Kurchatov Institute”
Email: buchinskayii@gmail.com
Russian Federation, Moscow
A. G. Kulikov
Shubnikov Institute of Crystallography of Kurchatov Complex of Crystallography and Photonics of NRC “Kurchatov Institute”
Email: buchinskayii@gmail.com
Russian Federation, Moscow
D. N. Karimov
Shubnikov Institute of Crystallography of Kurchatov Complex of Crystallography and Photonics of NRC “Kurchatov Institute”
Email: buchinskayii@gmail.com
Russian Federation, Moscow
References
- Mouchovski J.T., Temelkov K.A., Vuchkov N.K. // Prog. Cryst. Growth Characteriz. Mater. 2011. V. 57. Р. 1. https://doi.org/10.1016/J.PCRYSGROW.2010.09.003
- Fedorov P.P., Osiko V.V. // Bulk Crystal Growth of Electronic, Optical and Optoelectronic Materials / Eds. Capper P. Hoboken; NJ; USA: John Wiley Sons, Ltd. 2005. P. 339. https://doi.org/10.1002/9780470012086.ch11
- Каримов Д.Н., Комарькова О.Н., Сорокин Н.И. и др. // Кристаллография. 2010. Т. 55. № 3. С. 556. https://doi.org/10.1134/S1063774510030247
- Федоров П.П., Бучинская И.И. // Успехи химии. 2012. Т. 81. № 1. С. 1. https://doi.org/10.1070/RC2012v081n01ABEH004207
- Bordj S., Satha H., Barros A. et al. // Opt. Mater. 2021. V. 118. P. 111249. https://doi.org/10.1016/j.optmat.2021.111249
- Boubekri H., Fartas R., Diaf M. et al. // Luminescence. 2024. V. 39. № 4. P. e4719. https://doi.org/10.1002/bio.4719
- Cheddadi A., Fartas R., Diaf M., Boubekri H. // J. Luminescence. 2024. V. 265. P. 120237. https://doi.org/10.1016/j.jlumin.2023.120237
- Tan J., Zhang P., Li Z., Chen Z. // Infrared Phys. Technol. 2024. V. 140. Р. 105391. https://doi.org/10.1016/j.infrared.2024.105391
- Wang Y., Jiang C., Zhang P. et al. // J. Luminescence. 2019. V. 212. P. 160. https://doi.org/10.1016/j.jlumin.2019.04.038
- Huang X., Wang Y., Peixiong Z. et al. // J. Alloys Compd. 2019. V. 811. P. 152027. https://doi.org/10.1016/j.jallcom.2019.152027
- Кавун В.Я., Слободюк А.В., Гончарук В.К., Лукиянчук Г.Д. // Вестн. ДВО РАН. 2009. № 2. С. 117.
- Сорокин Н.И. // ФТТ. 2015. Т. 57. № 7. С. 1325.
- Trnovcova V., Fedorov P.P., Ozvoldova M. et al. // J. Optoelectron. Adv. Mater. 2003. V. 5. P. 627.
- Бучинская И.И., Федоров П.П. // Кристаллография. 2024. Т. 69. № 2. С. 353. https://doi.org/10.31857/S0023476124020194
- Le Bail A. // Powder Diffraction. 2005. V. 20. P. 316. https://doi.org/10.1154/1.2135315
- Petříček V., Dušek M., Palatinus L. // Z. Kristallogr. Cryst. Mater. 2014. B. 229. № 5. S. 345. https://doi.org/10.1515/zkri-2014-1737
- Senguttuvan N., Aoshima M., Sumiya K., Ishibashil H. // J. Cryst. Growth. 2005. V. 280. P. 462. https://doi.org/10.1016/j.jcrysgro.2005.03.085
- Mott B.W. Micro-Indentation Hardness Testing. London, UK: Butterworths Scientific Publications, 1956.
- Oliver W.C., Pharr G.M. // J. Mater. Res. 2004. V. 19. № 1. P. 3.
- Anstis G.R., Chantikul Р., Lawn B.R., Marshall D.B. // J. Am. Ceram. Soc. 1981. V. 64. Р. 533.
- Ladison J.L., Price J.J., Helfinstine J.D., Rosch W.R. // Proc. SPIE. Optical Microlithography XVIII. 2005. V. 5754. P. 1329.
- Chen M., Jiang W., Cheng J., Chu X. // Solid State Phenomena. 2011. V. 175. P. 77.
- Akchurin M.Sh., Basiev T.T., Demidenko A.A. et al. // Opt. Mater. 2013. V. 35. № 3. P. 444.
- Ляпин А.А. // Спектрально-люминесцентные свойства монокристаллов и керамики CaF2:Tm, CaF2:Ho и их применение в лазерной физике. Дис. … канд. физ.-мат. наук. Саранск: ФГБОУ ВПО Мордовский государственный университет им. Н.П. Огарёва, 2014. 142с.
- Грязнов М.Ю., Шотин С.В., Чувильдеев В.Н. и др. // Кристаллография. 2012. Т. 57. № 1. С. 151.
- Кузнецов С.В. // Синтез монокристаллов и нанопорошков твердых растворов фторидов щелочноземельных и редкоземельных металлов для фотоники. Дис. … канд. хим. наук. М.: МИТХТ, 2007. 206 с.
- Каримов Д.Н., Бучинская И.И., Сорокин Н.И. и др. // Кристаллография. 2019. Т. 64. № 5. С. 831. https://doi.org/10.1134/S0023476119050102
- Kishan Rao K., Sirdeshmukh D.B. // Bull. Mater. Sci. 1983. V. 5. P. 449.
- Buchinskaya I.I., Fedorov P.P., Sobolev B.P. // Proc. SPIE 3178, Solid State Crystals: Growth and Characterization. 1997. V. 3178. P. 59. https://doi.org/10.1117/12.280705
- Sobolev B.P. // Crystallography Reports. 2012. V. 57. № 3. Р. 434. https://doi.org/10.1134/S1063774512030194
- Buchinskaya I.I., Goryachuk I.O., Sorokin N.I. et al. // Condens. Matter. 2023. V. 8. P. 73. https://doi.org/10.3390/condmat8030073
- Krukowska-Fulde В., Niemyski T. // J. Cryst. Growth. 1967. V. 1. № 4. P. 183. https://doi.org/10.1016/0022-0248(67)90051-6
- Guo-Hao Ren, Dingzhong Shen, Shaohua Wang, Zhiwen Yin // J. Cryst. Growth. 2002. V. 243. P. 539. http://dx.doi.org/10.1016/S0022-0248(02)01579-8
- Guo-Hao Ren, Ding-Zhong Shen, Shao-Hua Wang, Zhi-Wen Yin // Chinese Phys. Lett. 2001. V. 18. № 7. Р. 976. http://dx.doi.org/10.1088/0256-307X/18/7/344
- Ren G., Qun D., Li Z., Shen D. // J. Cryst. Growth. 2003. V. 247. № 1–2. Р. 141. http://dx.doi.org/10.1016/s0022-0248(02)01952-8B
- Воронкова Е.М., Гречушников Б.Н., Дистлер Г.И., Петров И.П. Оптические материалы для инфракрасной техники: Справочник. М.: Наука, 1965. 336 с.
- Kosacki I., Langer J.M. // Phys. Rev. B. 1986. V. 33. P. 5972(R). https://link.aps.org/doi/10.1103/PhysRevB.33.5972
- Сорокин Н.И., Каримов Д.Н., Бучинская И.И. // Электрохимия. 2021. Т. 57. № 8. С. 465. https://doi.org/10.31857/S0424857021070136
- Kroger F.A., Vink H.J. // Solid State Physics / Eds. Seitz F., Turnbull D. N.Y.: Academic Press, 1956. V. 3. P. 307.
- Bonne R.W., Schoonman J. // Solid State Commun. 1976. V. 18. P. 1005.
- Сорокин Н.И., Федоров П.П., Соболев Б.П. // Неорган. матер. 1997. Т. 33. № 1. С. 5.
- Popov P.A., Sidorov A.A., Kul’chenkov E.A. et al. // Ionics. 2016. V. 23. № 1. P. 223. https://doi.org/10.1007/s11581-016-1802-2
- Мурин И.В., Глумов А.В., Глумов О.В. // Электрохимия. 1979. Т. 15. № 8. С. 1119.
- Bonne R.W., Schoonman J. // J. Electrochem. Soc. 1977. V. 124. P. 28.
- Сорокин Н.И., Федоров П.П., Иванов-Шиц А.К., Соболев Б.П. // ФТТ. 1988. Т. 30. № 5. С. 1537.
- Ivanov-Shits A.K., Sorokin N.I., Fedorov P.P., Sobolev B.P. // Solid State Ionics. 1990. V. 37. P. 125.
- Ivanov-Shits A.K., Sorokin N.I., Fedorov P.P., Sobolev B.P. // Solid State Ionics. 1989. V. 31. P. 253.
- Ivanov-Shits A.K., Sorokin N.I., Fedorov P.P., Sobolev B.P. // Solid State Ionics. 1989. V. 31. P. 269.
Supplementary files
Note
In the print version, the article was published under the DOI: 10.31857/S0023476125010105










