Plasmon polaritons of the TE and TM types in a metal film bordering a superlattice I. Properties of impedances of half-infinite media and films
- Authors: Darinskii A.N.1
-
Affiliations:
- Shubnikov Institute of Crystallography of Kurchatov Complex of Crystallography and Photonics of NRC “Kurchatov Institute”
- Issue: Vol 69, No 6 (2024)
- Pages: 1018-1028
- Section: ФИЗИЧЕСКИЕ СВОЙСТВА КРИСТАЛЛОВ
- URL: https://journals.rcsi.science/0023-4761/article/view/272135
- DOI: https://doi.org/10.31857/S0023476124060123
- EDN: https://elibrary.ru/YGWQZT
- ID: 272135
Cite item
Full Text
Abstract
A theoretical investigation is conducted into the behaviour of TE and TM-polarised surface plasmon polaritons in a metal film situated between a periodic superlattice and a homogeneous dielectric, or alternatively, between two periodic superlattices. The dispersion equations are derived in the form of the determinant of a real symmetric matrix equalling zero. The matrix is constituted by the surface impedances of the media and the film. A number of general properties of the impedances and eigenvalues of the matrices entering the dispersion equations are established.
Full Text
ВВЕДЕНИЕ
Поверхностные электромагнитные волны на границе металл–диэлектрик, или поверхностные плазмон-поляритоны (ППП), изучаются теоретически и экспериментально в течение достаточно длительного времени. Результаты многочисленных публикаций систематизированы в серии монографий [1–8]. В связи с постоянно растущим применением ППП во многих областях техники, в частности в телекоммуникационных системах и сенсорах различного предназначения, исследование закономерностей существования и распространения ППП представляет не только научный, но и значительный практический интерес [9–13].
Поверхностные плазмон-поляритоны возникают на границах металл–диэлектрик, в том числе в пленке металла [2, 6, 14, 15]. Путем прямых вычислений было показано, что в пленке, находящейся в изотропной диэлектрической среде, может существовать не более двух ППП с поперечной магнитной поляризацией (ТМ-ППП) [15]. При этом ППП с поперечной электрической поляризацией (ТЕ-ППП) в таких условиях не существуют. Напомним, что электромагнитные волны разделяются на ТЕ- и ТМ-поляризованные в изотропных средах, а также в кристаллах определенной симметрии. В ТЕ-волне электрическое поле перпендикулярно сагиттальной плоскости, т.е. плоскости, задаваемой направлением распространения и нормалью к некоторой поверхности, в частности к границе раздела двух сред, а магнитное поле лежит в этой плоскости. В ТМ-волне, наоборот, магнитное поле перпендикулярно, а электрическое поле параллельно сагиттальной плоскости.
В [16] доказано, что не более двух ППП могут существовать и в случае, когда пленка металла граничит с оптически двуосными диэлектриками. Если один из диэлектриков оказывается магнитооптически активным или бианизотропным, то могут существовать до трех ППП, а если оба диэлектрика будут магнитооптически активными или бианизотропными, то допустимое число ППП увеличивается до четырех [16].
C увеличением толщины металлической пленки число ППП не растет без ограничения в отличие от поведения мод планарных диэлектрических волноводов [17]. Поскольку электромагнитное поле в металле меняется экспоненциально с глубиной, ППП в пределе бесконечной толщины пленки трансформируются в ППП на одиночной границе металл–диэлектрик. Максимально допустимое число ППП на одиночной границе металл–диэлектрик тоже зависит от того, является диэлектрик только оптически анизотропным (в частном случае – изотропным) либо он обладает магнитооптической активностью или бианизотропией [16, 18, 19].
Цель данной работы – установить максимально допустимое число ТЕ- и ТМ-поляризованных ППП в пленке металла, граничащей с диэлектрической периодической сверхрешеткой (СР) и полубесконечным однородным диэлектриком или с двумя СР. Имеются в виду ППП в запрещенных зонах СР, где по определению не существует объемных блоховских волн, а при наличии однородного диэлектрика считается, что в обсуждаемом интервале частот тоже нет объемных волн, поэтому ППП не могут затухать за счет излучения. Предполагается, что диэлектрики не обладают ни магнитооптической активностью, ни бианизотропией. Пленка может состоять из нескольких слоев разных металлов. При этом полагаем, что диэлектрики имеют самую низкую симметрию, допускающую разделение волн на ТЕ- и ТМ-поляризованные. Далее будет видно, что повышение симметрии вплоть до оптической изотропии не упрощает ход рассуждений.
В конкретной структуре ППП можно найти численно, но таким способом нельзя решить вопрос о существовании ППП в общем случае. Для этого требуется аналитическое рассмотрение проблемы. В настоящей работе выводы о числе ППП делаются на основании анализа возможного числа корней дисперсионного уравнения, представленного в виде равенства нулю определителя действительной симметричной матрицы, которая строится из импедансов пленки и окружающих ее полубесконечных сред.
Применительно к ТЕ- и ТМ-волнам дисперсионные уравнения, в принципе, можно выписать в явном виде [20]. Однако получить необходимые результаты весьма затруднительно даже для двуслойных СР и вообще вряд ли возможно, если период СР содержит более двух слоев, и пленка будет многослойной. Во всяком случае при использовании дисперсионных уравнений, представленных в явном виде, необходимо разбирать по отдельности все возможные варианты устройства периода СР и состава пленки. Для описанного в настоящей работе подхода этого не требуется.
Работа разделена на три части. В части I выводятся дисперсионные уравнения ППП в нужной форме, затем выясняются свойства импедансов и собственных значений матриц, определяющих дисперсионное уравнение. В части II с помощью результатов, полученных в части I, находится максимально допустимое число ППП в одной и той же запрещенной зоне в разных структурах. В части III обсуждаются некоторые особенности частотной зависимости импедансов двухслойных СР, выводы общей теории иллюстрируются конкретными примерами существования ППП, а также рассматривается роль поглощения электромагнитных волн в пленке.
УРАВНЕНИЯ МАКСВЕЛЛА ДЛЯ ТE- И TM-ВОЛН
Поверхностные плазмон-поляритоны запишутся в виде
, (1)
где функции E(z) и H(z) описывают зависимость электрического и магнитного полей от координаты z системы координат xyz с осями z и x, направленными соответственно перпендикулярно и параллельно границам в среде, r = (x, z)t – радиус-вектор, ω – частота, k – волновое число, символ t в верхнем индексе обозначает транспонирование.
Предполагается, что тангенциальные компоненты E и H непрерывны на всех границах:
, (2)
где верхние индексы (+) и (–) отмечают компоненты x и y полей соответственно выше и ниже границы z = const.
Считаем, что материалы не обладают магнитооптической активностью. Кроме того, пренебрегаем поглощением, но не исключаем частотную зависимость материальных констант, и это позволяет убедиться в том, что частотная дисперсия не влияет на допустимый максимум числа ППП. Таким образом, диэлектрики и металлы будут характеризоваться вещественными симметричными тензорами диэлектрической и магнитной проницаемости . Положительность энергии электромагнитного поля приводит к условию
(3)
т.е. производные должны быть положительно определенными тензорами [21].
Электромагнитные волны (1) становятся TE- и TM-поляризованными, когда плоскость xz ориентирована таким образом, что компоненты yx и yz тензоров и равны нулю. В этом случае, подставляя (1) в уравнения Максвелла и исключая электрическую индукцию D, магнитную индукцию B, а также z-компоненты полей E и H, с помощью уравнений связи и приходим к уравнениям для ТЕ- и ТМ-мод [19]:
(4)
где
(5)
, (6)
, (7)
и .
ДИСПЕРСИОННЫЕ УРАВНЕНИЯ
Рассмотрим ППП в пленке металла, помещенной между СР и однородной средой или между двумя СР, и представим дисперсионные уравнения в виде условия на импедансы сред, образующих исследуемые структуры. Соответственно, в дисперсионные уравнения войдут импедансы полубесконечной однородной среды, полубесконечной СР и пленки металла.
Предполагая, что однородная среда находится выше пленки, определим поверхностные импедансы и однородной среды соотношениями
(8)
на внешней границе.
Поверхностные импедансы полубесконечной СР, находящейся выше пленки, и полубесконечной СР, находящейся ниже пленки, вводим посредством следующих соотношений на внешних границах СР:
, (9)
. (10)
В [22] предложено записывать дисперсионное уравнение для акустических волн в пластине с помощью некоторой эрмитовой матрицы, которая связывает вектор, построенный из компонент механических смещений на обеих гранях пластины, и вектор, построенный из компонент механических напряжений также на обеих гранях пластины. Аналогичный прием применим к электромагнитным волнам в пленках [16, 23]. Введем 2 × 2 матрицы импедансов пленки и так, чтобы
, (11)
, (12)
где компоненты, помеченные индексами (0) и (h), относились к граням пленки z = 0 и z = h соответственно.
Записав условия (2) на гранях пленки z = 0 и z = h, с использованием импедансов (8)– (12) получаем равенства
, (13)
где
(14)
в структуре СР–пленка металла–однородная среда, и
(15)
в структуре СР–пленка металла–СР. Дополнительные индексы 1 и 2 у импедансов в (15) указывают на то, что СР по обеим сторонам пленки отличаются друг от друга.
В результате дисперсионные уравнения для TE-ППП и TM-ППП сводятся к равенству нулю определителей матриц . Анализ этих уравнений будет основан на использовании свойств собственных значений матриц . В свою очередь, эти свойства устанавливаются исходя из свойств импедансов и , которые обсуждаются в следующих трех разделах.
ОДНОРОДНЫЙ ДИЭЛЕКТРИК
В однородной среде решениями уравнений (4) являются , где – постоянный вектор,
, (16)
. (17)
Предполагается, что в диэлектриках и являются положительно определенными тензорами, поэтому τxx, mxx, εii и , положительны. В этом случае будут комплексными в интервалах , где
. (18)
Следовательно, мода убывает до нуля при , так что
(19)
. (20)
В интервалах
, (21)
. (22)
Справедливость (22) непосредственно видна из (19) и (20), если и не зависят от частоты. Для доказательства (22) при наличии частотной дисперсии можно воспользоваться равенствами
, (23)
где W = W(z) – усредненная по времени локальная плотность энергии,
, (24)
символ † обозначает эрмитовое сопряжение. Первое равенство в (23) следует из (4) ввиду того, что
, (25)
а второе равенство было доказано в [19]. Заменив на в (23), проинтегрировав (23) по z от 0 до +∞ и учтя то, что при z → +∞, заключаем, что неравенство (22) выполняется, поскольку W > 0.
Неравенство (22) также можно проверить, вычислив производную и приняв во внимание (3).
СВЕРХРЕШЕТКА
Пусть трансфер-матрица слоя связывает векторы и , относящиеся к граням слоя z = h и z = 0, а именно , причем (4) позволяет представить в виде . Соответственно, если период CP состоит из n слоев толщиной , то в силу (2) трансфер-матрица периода равна произведению
, (26)
где – N(g)-матрица (6) или (7) j-го слоя. Матрица (26) связывает векторы на границах периода z = 0 и z = H, где , (0).
В матрицах (6) и (7) выделим диагональные части, , где , – 2 × 2 единичная матрица. Тогда
(27)
где . В силу (25)
. (28)
Кроме того, определитель матрицы , поскольку диагональные элементы равны нулю, и поэтому , где символ Tr обозначает след матрицы. Из (28) и следует, что
, (29)
где принимают вещественные значения.
Матрица имеет два собственных значения , где – собственные значения матрицы :
(30)
и .
Собственные значения можно записать в виде , где k± – блоховские волновые числа. Значения k± будут вещественными в тех областях плоскости (k, ω), где (разрешенные зоны блоховского спектра), и комплексными там, где (запрещенные зоны). В частности, примеры зонной структуры оптических CP можно найти в [24]. Ниже рассматриваются только запрещенные зоны и считается, что всегда
. (31)
В бесконечной СР в качестве границ периода можно выбрать любые две плоскости z = const, разделенные расстоянием H. Матрица и ее собственные векторы меняются в зависимости от выбора границ периода, а собственные значения не меняются. В полубесконечных CP целесообразно выбирать внешнюю поверхность в качестве одной из границ периода.
Из определения (26) видно, что будет трансфер-матрицей периода сверхрешетки А (СР-А), занимающей полупространство z > 0 (рис. 1a), поэтому согласно (31) волна, убывающая до нуля при z → +∞, характеризуется собственным значением . Пусть сверхрешетка В (СР-B) занимает полупространство z < 0 (рис. 1б) и образована из тех же слоев, что и СР-А. Слои следуют в том же порядке, что и в СР-А, если считать их от поверхности z = 0 вниз. При этом толщина внешнего слоя может отличаться от толщины внешнего слоя СР-А, но сумма толщин внешних слоев обеих СР равна толщине внутреннего слоя того же материала. Соединив СР-A и СР-B, получим бесконечную периодическую СР, поэтому СР-A и СР-B можно назвать взаимодополняющими СР.
Рис. 1. Полубесконечные взаимодополняющие СР-A (а) и СР-B (б). Изображены СР с периодом из двух слоев. Слои одного цвета – из одинакового материала и имеют одинаковую толщину, кроме внешних слоев, толщина которых меньше толщины внутренних слоев того же материала.
Принимая во внимание выражение (26) для матрицы и строение СР-В, находим выражение для трансфер-матрицы периода СР-В: , т.е. . Следовательно, собственными векторами и собственными значениями матрицы будут и . Соответственно, со спадающей модой в CP-В связано собственное значение , так как при n → ∞.
В итоге, используя соотношения , (9) и (10), находим импедансы и для СР-А и СР-В:
(32)
. (33)
Обозначим нижний и верхний края запрещенных зон через и соответственно. Одна из частот равна нулю. Зону будем называть нижней, остальные зоны – верхними. Значения и определяются условием . Необходимо различать нижнюю и верхнюю зоны, поскольку импедансы в них обладают разными свойствами. Перечисленные ниже свойства импедансов касаются их частотной зависимости при фиксированном значении волнового числа k в (1).
Поскольку и вещественны,
. (34)
В силу того что связаны с энергией статического электрического поля и магнитного [18, 19], получим
. (35)
Проинтегрируем равенство (23) в запрещенной зоне по периоду от z = 0 до z = H в СР-A и от z = 0 до z = –H в СР-B и положим, что в соответствии с (9) и (10) на границе z = 0 вектор в СР-А и СР-В равен
(36)
где верхние знаки относятся к g = TE. Ввиду непрерывности ξ(g) и ∂ξ(g)/∂ω внутри СР, а также учитывая, что , получаем
(37)
где – энергия электромагнитного поля, проинтегрированная по периоду. Поскольку и ,
. (38)
Кроме того, при частоте, стремящейся к краям зоны, так как в этом случае , а остаются конечными.
Далее из (32) и (33) следует, что
, (39)
поскольку там , но
(40)
поскольку при .
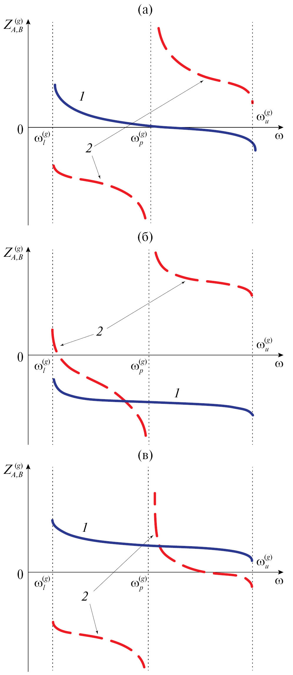
Комбинируя свойства (35), (38)–(40), заключаем, что в нижней запрещенной зоне и непрерывно убывают так, как показано на рис. 2. Вследствие (35) и (40) либо , либо обязательно проходит через ноль. Ни , ни не могут иметь полюс, поскольку в противном случае внутри зоны было бы , в чем можно убедиться, построив зависимости и .
Напротив, в силу (38)–(40) в верхней запрещенной зоне либо , либо обязательно имеет один полюс (рис. 3). Большее число полюсов, а также отсутствие полюса несовместимо ни с (39), ни с (40). Кроме того, либо , либо обязательно обращается в ноль. Если бы оба и обратились в ноль, или ни один из них не обратился в ноль, то равенство (40) не могло бы выполняться. Данные утверждения проверяются построением кривых и .
Полюсу импедансов отвечает , при этом и или и . Согласно (32) и (33) в первом случае имеет полюс, а во втором – .
В результате получаются три варианта зависимости импедансов и от частоты в верхней запрещенной зоне (рис. 3).
Рис. 2. Частотная зависимость импедансов и в нижней запрещенной зоне: 1 – , 2 –
Рис. 3. Частотные зависимости импедансов и в верхней запрещенной зоне: 1 – , 2 -
На рис. 3б и 3в кривые и пересекаются. Из (32) и (33) следует, что при , а это накладывает дополнительное условие на волновое число k и частоту ω. Например, в части III будет показано, что вариант рис. 3б не реализуется в двухслойных СР, если толщина внешнего слоя равна толщине внутреннего слоя того же материала. В то же время частотная зависимость рис. 3a не связана с дополнительными условиями.
На границе зоны может быть так, что при или при . Согласно (32) и (33) это происходит в случае на граничной частоте, тогда в силу равенств , получается . Сдвигая полюс импеданса к краю зоны на рис. 3, можно проследить переход от равенства (40) к .
Ввиду (9) и (10) обращение импедансов или в бесконечность означает, что в бесконечной СР на границах периода отсчитываемых от поверхности z = 0 полубесконечной СР (рис. 1), в объемной блоховской волне на краю зоны Ey = 0 при Hx ≠ 0 или Hy = 0 при Еx ≠ 0 соответственно. Но если на краю зоны или , то на границах периода у объемной блоховской волны на этой частоте будет Hx = 0 при Ey ≠ 0 или Ex = 0 при Hy ≠ 0 соответственно.
Импедансы (32) и (33) характеризуют СР, в которой порядок слоев произволен в пределах периода. Такой период будем называть асимметричным. Пусть теперь период симметричен относительно своей средней плоскости, т.е. число n слоев на период нечетно, n = 2m + 1, а слой j ≤ m идентичен слою n + 1 – j. Трансфер-матрица симметричного периода удовлетворяет равенствам [18]:
(41)
откуда следует, что в (29). Тогда ,
(42)
В силу свойств (35), (38)–(40):
, (43)
. (44)
Из (42) следует, что на краях запрещенной зоны либо при и при , либо при и при . В силу (38) не может обращаться в ноль на обоих краях зоны, а неравенство (39) исключает ситуацию, когда при и при . В итоге кривая 1 на рис. 4 показывает допустимую частотную зависимость в нижней запрещенной зоне, а в верхних запрещенных зонах возможны два типа поведения (кривые 1 и 2).
Рис. 4. Частотная зависимость импеданса в нижней запрещенной зоне (1) и верхней запрещенной зоне (1 и 2).
ПЛЕНКА МЕТАЛЛА
Будем считать, что в металле можно пренебречь поглощением электромагнитных волн в интервале частот , диэлектрическая проницаемость εm изотропна и отрицательна, магнитная проницаемость μm изотропна и положительна. Частотная зависимость εm и μm может быть произвольной, но при этом, естественно, должны быть выполнены условия (3).
Выпишем в явном виде трансфер-матрицы однородной пленки толщиной h:
(45)
, (46)
где . Диагональные элементы матриц оказываются положительными вещественными величинами. Недиагональные элементы – чисто мнимые, причем и , тогда как и . Перемножив две матрицы и , обнаруживаем, что элементы получившейся матрицы обладают теми же свойствами. Следовательно, если пленка состоит из нескольких слоев разных металлов, то трансфер-матрицы многослойной пленки задаются выражениями
(47)
, (48)
где .
Используя (11), (12), (47), (48) и равенство , выразим импедансы через элементы матриц :
, (49)
. (50)
Согласно (49) и (50)
– вещественные симметричные матрицы. (51)
Поскольку ,
, (52)
– положительно определенная матрица, (53)
– отрицательно определенная матрица. (54)
Проинтегрировав соотношение (23) по толщине пленки и воспользовавшись выражениями (11) и (12), получаем, что
– отрицательно определенные матрицы. (55)
СОБСТВЕННЫЕ ЗНАЧЕНИЯ МАТРИЦ
Согласно (13)–(15) зависимость частоты ППП от волнового числа k находится из уравнения
, (56)
где
(57)
Z1 и Z2 – импедансы полубесконечных сред по обе стороны пленки.
Определитель матрицы равен произведению ее собственных значений, поэтому анализ числа корней уравнения (56) эквивалентен исследованию обращения в ноль собственных значений матрицы :
, (58)
где
. (59)
Из свойств импедансов , , и следует, что – вещественная симметричная матрица в запрещенных зонах СР и интервалах однородных сред, поэтому – вещественные функции частоты. В силу (22), (28), (44) и (48) матрица будет отрицательно определенной, и можно доказать, что (заметим, что не являются собственными значениями матрицы ).
Если, например, Z1 имеет полюс при , то испытывают разрыв второго рода. Ввиду (22), (38) и (44) при , а тогда, согласно (58), , при , но , при , где на частоте .
Интерес представляют нули одного из собственных значений, а не конкретно или , поэтому, помечая далее собственные значения матрицы индексами i = 1, 2 и считая, что один из импедансов Z1, 2 имеет полюс в точке , полагаем
(60)
(61)
Если один из импедансов имеет полюс в точке , а другой – в точке , то
(62)
(63)
В обоих случаях одно из собственных значений имеет полюс на тех же частотах, что и Z1, 2, а другое при этом непрерывно.
Таким образом,
, (64)
, (65)
(66)
В соответствии с (60)–(63),
(67)
(68)
Из (65) следует, что
собственное значение может дважды обращаться в нуль, если оно имеет полюс. (69)
Согласно (49) и (50) , поэтому
, (70)
так что кривые и не пересекаются.
Матрица будет положительно определенной при всех частотах. Следовательно,
(71)
(72)
В самом деле, если и , то свертка должна быть отрицательной для произвольного вектора e, но если, например, Z1 < 0 и Z2 > 0, то при e = (0 1)t
, (73)
так как ввиду (53). Аналогично можно доказать, что
(74)
поскольку – отрицательно определенная матрица. По той же причине
(75)
В силу (65) максимальное число нулей собственных значений и, соответственно, максимальное число ППП возникает, когда на нижнем краю зоны и на верхнем краю . Эти условия подразумевают, что матрица должна быть положительно определенной при и отрицательно определенной при , поэтому необходимо, чтобы
, (76)
, (77)
Кроме того, если собственные значения имеют одинаковые знаки, то
. (78)
В этом случае в (58), так что , если , и , если .
Ввиду свойств (38) и (40) импедансов СР неравенства (76)–(78) могут повлечь за собой весьма жесткие требования к параметрам пленки. Например, пусть Z1(ω) и Z2(ω) описываются кривой 2 на рис. 3в. Применительно к TE-волнам неравенства (76) и (77) сводятся к и соответственно. Несмотря на то что в силу (38) и (40) , неравенства (76) и (77) могут выполняться, поскольку убывает с увеличением частоты. Однако значения и могут различаться в несколько раз из-за наличия полюсов, а то и в несколько десятков раз, если полюс оказывается вблизи края зоны. В то же время из (45) и (49) видно, что достаточно медленно убывает в пределах запрещенной зоны, если только диэлектрическая проницаемость пленки не меняется аномально сильно в этом интервале частот, поэтому может оказаться, что невозможно одновременно выполнить условия (76) и (77).
Из (71), (72), (74) и (75) следует, что
(79)
(80)
Одно собственное значение матрицы будет положительным, а другое – отрицательным, если
. (81)
В этом случае в (58), поэтому собственные значения имеют разные знаки при любом знаке .
ЗАКЛЮЧЕНИЕ
Записав условия (2) на границах пленка–полубесконечная среда через импедансы полубесконечных сред и пленки, можно представить дисперсионные уравнения для ППП в виде равенств нулю определителей действительных симметричных матриц . В результате анализ существования решений дисперсионных уравнений сводится к анализу обращения в ноль собственных значений матриц . Используя установленные в данной части работы свойства этих собственных значений, а также принимая во внимание возможные частотные зависимости импедансов полубесконечных СР (рис. 2–4) и полубесконечной однородной среды, в части II работы будут найдены допустимые числа ТЕ-ППП и ТМ-ППП в пленке металла в зависимости от типа запрещенной зоны при различном окружении пленки.
Отметим, что свойства 2 × 2 трансфер-матрицы и импедансов оптических СР аналогичны свойствам трансфер-матрицы и импеданса сдвиговых акустических волн в СР без пьезоэффекта [25–27]. В акустике материальные константы не зависят от частоты, но, несмотря на то что материальные константы в оптике зависят от частоты и на то что явная зависимость матриц (5) и (6) от частоты, а также волнового числа существенно отличается от зависимости их акустического аналога от этих параметров, почти все свойства импеданса полубесконечных акустических СР сохраняются в оптических СР. Разница возникает в поведении импедансов при ω → 0. Акустический импеданс остается конечным, а → +∞ в силу того, что при ω → 0 электромагнитное поле становится потенциальным, поэтому Ey → 0, Hy → 0, в то время как Ex и Hx остаются конечными [18, 19].
Независимость свойств импедансов и матриц от конкретной реализации структуры и природы волн обусловлена, в частности, тем, что эти свойства либо вытекают из закона сохранения энергии, либо из связи импеданса с энергией волнового поля, либо следуют из общефизических соображений, хотя при доказательстве ряда свойств использовался для краткости явный вид тех или иных величин.
Например, неравенство (39) следует из того, что согласно (9) и (10) внутри зоны означало бы существование локализованной волны в однородно периодической бесконечной СР. Такая волна не может существовать, поскольку нет выделенной границы, где она могла бы появиться. В свою очередь, равенство (40) отражает тот факт, что в бесконечной СР при и существует объемная блоховская волна с групповой скоростью, параллельной границам между слоями. Соотношение (25) следует из уравнения (4) и закона сохранения энергии применительно к волне (1), согласно которому dPz/dz = 0, где Pz – z-компонента усредненного по времени потока энергии, причем ввиду (5) . Подставив (4) в dPz/dz = 0, приходим к (25). Аналогично можно получить тождество (28) для трансфер-матрицы.
При учете диссипации импедансы становятся неэрмитовыми матрицами или комплексными числами, утрачивая указанные выше свойства. Однако можно заметить, что при малой мнимой добавке в диэлектрической проницаемости поправка к действительной части импеданса будет порядка , поэтому поведение будет мало отличаться от Z(ω) при . Кроме того, во многих диэлектриках интервал полной прозрачности попадает в видимый и ближний ИК-диапазоны [28, 29]. В металлах электромагнитные волны поглощаются заметно сильнее, но, с одной стороны, в некоторых металлах, например в серебре, поглощение все же достаточно мало для видимого и ближнего ИК-излучения [28, 29], а с другой – вклад поглощения в пленке может оказаться весьма незначительным даже при большой величине из-за малости толщины пленки по сравнению с глубиной проникновения волнового поля в диэлектрики. Роль поглощения обсуждается на конкретных примерах в части III.
Автор выражает благодарность В.И. Альшицу за полезные обсуждения результатов и ценные замечания.
Работа выполнена в рамках государственного задания НИЦ “Курчатовский институт”.
About the authors
A. N. Darinskii
Shubnikov Institute of Crystallography of Kurchatov Complex of Crystallography and Photonics of NRC “Kurchatov Institute”
Author for correspondence.
Email: Alexandre_Dar@mail.ru
Russian Federation, Moscow
References
- Raether H. Surface-Plasmons on Smooth and Rough Surfaces and on Gratings. Berlin, Heidelberg: Springer, 1988. 117 p.
- Майер С.А. Плазмоника. Теория и приложения. М.; Ижевск: НИЦ “Регулярная и хаотическая динамика”, 2011. 226 с.
- Plasmonic Nanoguides and Circuits / Ed. Bozhevolnyi S.I. Singappore: Pan Stanford Publishing Pte. Ltd, 2009. 441 p.
- Metamaterials and Plasmonics: Fundamentals, Modelling, Applications / Eds. Zouhdi S. et al. Springer Science + Business Media B.V., 2009. 305 p.
- Климов В.В. Наноплазмоника. М.: Наука, 2010. 480 с.
- Polo J., Mackay T., Lakhtakia A. Electromagnetic Surface Waves: A Modern Perspective. Amsterdam: Elsevier, 2013. 293 p.
- Quantum Plasmonics / Eds. Bozhevolnyi S.I. et al. Switzerland: Springer International Publishing, 2017. 327 p.
- Moradi A. Canonical Problems in the Theory of Plasmonics. Springer Nature Switzerland AG, 2020. 349 p.
- Gupta B.D., Shrivastav A.M., Usha S.P. Optical Sensors for Biomedical Diagnostics and Environmental Monitoring. London: CRC Press, 2018. 250 p.
- Oliveira L.C., Lima A.M.N., Thirstrup C. et al. Surface Plasmon Resonance Sensors, 2nd ed. Springer Series in Surface Sciences. New York: Springer, 2019. 326 p.
- Raghuwanshi S.K., Kumar S., Singh Y. 2D Materials for Surface Plasmon Resonance-based Sensors. CRC Press, 2022. 315 p.
- Geng J., Ren Ch., Wang R. et al. Spoof Surface Plasmon Polaritons Antenna. Springer Nature Singapore Pte Ltd, 2022. 172 p.
- Gupta B.D., Sharma A.K., Li J. Plasmonics-Based Optical Sensors and Detectors. Singapore: Jenny Stanford Publishing Pte Ltd, 2023. 509 p.
- Economou E.N. // Phys. Rev. 1969. V. 182. P. 539. https://doi.org/10.1103/PhysRev.182.539
- Burke J.J., Stegeman G.I., Tamir T. // Phys. Rev. B. 1986. V. 33. P. 5186. https://doi.org/10.1103/PhysRevB.33.5186
- Darinskii A.N. // Phys. Rev. A. 2021. V. 104. P. 023507. https://doi.org/10.1103/PhysRevA.104.023507
- Гончаренко А.М., Карпенко В.А., Гончаренко И.А. Основы теории оптических волноводов. Минск: Беларуская навука, 2009. 296 с.
- Darinskii A.N., Shuvalov A.L. // Phys. Rev. A. 2020. V. 102. P. 033515. https://doi.org/10.1103/PhysRevA.102.033515
- Darinskii A.N. // Phys. Rev. A. 2021. V. 103. P. 033501. https://doi.org/10.1103/PhysRevA.103.033501
- Konopsky V.N. // New J. Phys. 2010. V. 12. P. 093006. http://dx.doi.org/10.1088/1367-2630/12/9/093006
- Ландау Л.Д., Лифшиц Е.М. Теоретическая физика. Электродинамика сплошных сред. 2-е изд. М.: Наука, 1982. 621 с.
- Shuvalov A.L. // Proc. R. Soc. A. 2020. V. 456. P. 2197. https://doi.org/10.1098/rspa.2000.0609
- Darinskii A.N. // Phys. Rev. A. 2022. V. 106. P. 033513. https://doi.org/10.1103/PhysRevA.102.033515
- Yariv А., Yeh P. Photonics: Optical Electronics in Modern Communications. 6th ed. Oxford University Press, 2007. 850 p.
- Shuvalov A.L., Poncelet O., Golkin S.V. // Proc. R. Soc. A. 2009. V. 465. P. 1489. http://dx.doi.org/ doi: 10.1098/rspa.2008.0457
- Kutsenko A.A., Shuvalov A.L., Poncelet O., Norris A.N. // Math. Mech. Solids. 2012. V. 18. P. 677. https://doi.org/10.1177/1081286512444750
- Shuvalov A.L., Kutsenko A.A., Korotyaeva M.E., Poncelet O. // Wave Motion. 2013. V. 50. P. 809. http://dx.doi.org/10.1016/j.wavemoti.2013.02.005
- https://refractiveindex.info
- Handbook of Optical Constants of Solids / Ed. Palik E. San Diego: Academic Press, 1998. 800 p.
Supplementary files






