Transition state of matter in the fluctuation model of crystal growth
- Authors: Rakin V.I.1
-
Affiliations:
- Institute of Geology FRC Komi SC UB RAS
- Issue: Vol 69, No 5 (2024)
- Pages: 907-916
- Section: CRYSTAL GROWTH
- URL: https://journals.rcsi.science/0023-4761/article/view/267154
- DOI: https://doi.org/10.31857/S0023476124050172
- EDN: https://elibrary.ru/ZBCZGN
- ID: 267154
Cite item
Full Text
Abstract
Two mechanisms of the effect of the transition state of building particles (activated complexes according to S. Arrhenius) on the crystal growth rate within the framework of the fluctuation model of dislocation crystal growth are discussed. Transition state clusters adsorbed on the surface of the growing face perform the function of an impurity that lowers the surface energy of the crystal at the time moments between free energy fluctuations. Thus, the transition state of the crystallizing substance by the first mechanism affects the relaxation rate of the secondary adsorption of impurities and shortens the time period of attachment of building particles to the crystal face. Other clusters formed in solution reduce the number of free particles and under conditions of low concentration of the building substance are able to decrease the crystallization rate. Nevertheless, in a natural multicomponent crystallization environment, at low concentrations of building material, significant thermal effect of crystallization and small deviations from equilibrium, the role of the transition state in crystal growth is generally insignificant.
Full Text
ВВЕДЕНИЕ
Любая плоская поверхность монокристалла обладает упорядоченным строением и высокой степенью однородности. Поэтому явление адсорбции примесей на свободной поверхности растущего кристалла характеризуется узким спектром энергий. Молекулы примеси, адсорбирующиеся на грани и тормозящие рост, обычно не образуют новую конденсированную фазу вещества, но присутствуют в растворе от начала до конца процесса роста. В такой обстановке возможно применение равновесной теории монослойной адсорбции Ленгмюра в предельном случае. Молекулы примеси, связанные с поверхностными атомами кристалла, преобразуют часть свободной энергии поверхности во внутреннюю энергию кристалла, что повышает энтропию квазиравновесной системы [1, 2].
Теория переходного состояния [3, 4] утверждает, что в ходе роста кристалла, представляющего топохимическую реакцию, в среде кристаллизации возможно образование кластеров строительных частиц – активированных комплексов согласно идее С. Аррениуса, высказанной в работе “О скорости реакции инверсии тростникового сахара под действием кислот” [5]. Естественно допустить, что часть таких комплексов адсорбируется на поверхности растущей грани. Конформационная структура кластеров не обязана соответствовать структуре кристаллической решетки, и кроме того, при адсорбции на грани кластер может ориентироваться произвольно, что дополнительно затрудняет встраивание частиц кластера в структуру кристалла. Согласно второму началу термодинамики энергетически выгодна такая конфигурация адсорбата, при которой плотность свободных связей на поверхности грани в конечном состоянии будет понижена. Только в этом случае достигается максимум энтропии гетерогенной термодинамической системы кристалл–среда.
Наличие переходного состояния строительного вещества в неравновесной среде кристаллизации воздействует на скорость химического процесса по двум механизмам. Во-первых, время жизни кластеров, адсорбированных на поверхности растущей грани и укрепленных дополнительными связями с поверхностными атомами, ограничено интервалом между флуктуациями свободной энергии. В этом случае кластеры в полной мере исполняют роль примеси. Заметим, что в особо чистых системах только адсорбированные кластеры переходного состояния строительного вещества могут брать на себя эту функцию, понижая поверхностную энергию грани. Поэтому на практике не наблюдается значительного ускорения роста при повышении чистоты химической системы кристаллизации. Во-вторых, в условиях крайне низкой концентрации строительного вещества кластеры сокращают количество свободных частиц в среде и этим способны понизить скорость кристаллизации.
Существование переходного состояния строительного вещества может быть обосновано принципом Пригожина [6] – минимумом производства энтропии при стационарном росте кристалла. Активированные комплексы, адсорбирующиеся на грани совместно с частицами примеси, дополнительно ограничивают время свободного встраивания строительных частиц в изломы элементарных ступеней, а кластеры переходного состояния, находящиеся в среде кристаллизации, не способны встраиваться в излом единичной ступени и этим исключают часть строительного вещества из участия в химической реакции. Таким образом, фактор переходного состояния оказывает нелинейное воздействие на производство энтропии при стационарном неравновесном процессе, и понижает его.
Обсудим оба механизма воздействия переходного состояния строительного вещества на кинетику роста дислокационной грани кристалла. Заметим, что согласно Аррениусу и традиционным представлениям о переходном состоянии [3, 4, 6] бóльшее внимание уделяется второму механизму влияния активированных комплексов на кинетику химической реакции.
ДИСЛОКАЦИОННЫЙ РОСТ ГРАНИ КРИСТАЛЛА
Рост кристалла согласно флуктуационной модели происходит в моменты десорбции примесей с грани кристалла под действием отрицательной флуктуации энтропии. При большом разнообразии флуктуаций энтропии только небольшая часть флуктуаций приводит к актам роста грани. Например, основная часть энергии положительной температурной флуктуации рассеивается в прилегающем к грани растворе и в теле кристалла и компенсируется последующими равновероятными отрицательными флуктуациями температуры. Поэтому эффективного повышения или понижения температуры поверхности грани в локальной области флуктуации не происходит. Однако положительная флуктуация температуры на некотором участке поверхности грани вызывает десорбцию примесей с поверхности и с активных центров роста – изломов элементарных ступеней. В ходе быстрого неравновесного релаксационного процесса происходит присоединение некоторого числа строительных частиц (далее – частиц) и примесей к поверхности и изломам элементарных ступеней пока все изломы не окажутся заблокированными примесями.
В результате десорбции примесей с определенного участка грани кристалла на нем начинает развиваться релаксационный процесс, в ходе которого часть частиц присоединяется к свободным изломам элементарных ступеней и перемещает изломы вдоль ступени. Но динамика явления релаксации описывается через блокирование изломов адсорбированными примесями на открытом участке грани [2]:
, (1)
где Nс – количество свободных изломов ступеней на десорбированном участке поверхности грани, θ – кинетический коэффициент, определяющий темп заселения изломов молекулами примеси и активированными комплексами частиц.
После адсорбции примесей на квазиравновесной поверхности грани при малых пересыщениях наступает этап преобразования искривленных ступеней в прямолинейные по механизму, описанному Л.Д. Ландау [7], а при бóльших отклонениях от равновесия – совершенствование формы макроступени и формирование блочной структуры поверхности. Те и другие преобразования происходят за счет многочисленных низкоэнергетических флуктуаций, не вносящих значимого вклада в кристаллизацию вещества.
Важно также заметить, что сохранение равномерного ступенчатого рельефа стационарно растущей грани по модели Ландау указывает на особый процесс, происходящий на стадии равновесной трансформации. Поскольку средняя величина флуктуации свободной энергии зависит только от температуры термодинамической системы [6] и постоянна во времени, тогда независимо от характера рельефа поверхности число изломов ступеней в пределах среднего участка десорбции можно считать неизменным для данной системы. Постоянное число изломов подразумевает существование равновесного механизма непрерывной генерации новых изломов, компенсирующих аннигиляцию их на ступени в ходе релаксационных событий. Компенсационный механизм, возможно, организуется по тем же правилам взаимного отталкивания изломов, что и отталкивание ступеней в модели Ландау [7] в равновесном состоянии грани, полностью покрытой адсорбатом.
Таким образом, при описании кинетики роста грани становятся важны не столько скорости присоединения строительных частиц или примесей к поверхности грани в краткие моменты релаксации флуктуации, сколько исключительно общий интегральный итог – количество вещества, наросшего на участок грани кристалла в результате действия средней флуктуации. Поэтому уравнение (1), определяющее динамику релаксации флуктуации, описывает только адсорбцию примесей на свободных изломах.
В макроскопическом, феноменологическом масштабе описания дислокационного роста кристалла, сопровождающегося распространением неустранимых элементарных ступеней по поверхности грани, согласно флуктуационной модели, в первом, линейном приближении, нормальная скорость роста грани кристалла описывается формулой [2]:
, (2)
где β – кинетический коэффициент, определяющий темп встраивания частиц в структуру кристалла на десорбированной поверхности грани, h0 – вектор Бюргерса винтовой дислокации, – относительное пересыщение раствора у поверхности грани кристалла вдали от дислокации (поверхностное пересыщение), cf и с0 – концентрация частиц в среде у грани кристалла и концентрация насыщения среды частицами строительного вещества при данных термодинамических условиях. Грань характеризуется относительными параметрами рельефа – и , в которых l1 – среднее расстояние между изломами, расположенными вдоль одной элементарной ступени, l2 – среднее расстояние между ступенями, b – трансляционный параметр решетки (здесь использована тетрагональная симметрия грани). Кинетические коэффициенты β и θ отражают конкурентную борьбу частиц и примесей за свободный излом ступени.
Рост кристалла захватывает интервал масштабов в 10 порядков и представляет собой главным образом макроскопический процесс. Поэтому произведение является фактором макроскопического времени, позволяющим подобрать оптимальное элементарное время стационарного роста τ, соблюсти условия теоремы Хинчина [8] и перейти от микроскопических флуктуационных явлений к стационарному необратимому макроскопическому процессу роста кристалла [1].
Использование макроскопического времени, теорий Ленгмюра и флуктуаций Гиббса в (2) устраняет недостатки классической теории Бартона–Кабреры–Франка (БКФ) [9]. Во-первых, до настоящего времени не появилось доказательства того, что обратимые во времени уравнения ньютоновской динамики, используемые в теории БКФ для описания движения атомов в многочастичной системе, способны в полной мере привести к уравнениям равновесной термодинамики и, главное, ко второму началу термодинамики в конечном описании роста кристалла. Простая замена обратимого времени необратимым в кинетических уравнениях теории не решает проблемы. Во-вторых, при построении кинетической модели сделан неудачный выбор переменной времени посредством частотного фактора, который описывает равновесные тепловые колебания адсорбированного на поверхности грани атома при фиксированной температуре и несет только энергетический смысл. В-третьих, второе начало термодинамики требует понижения свободной энергии поверхности растущего кристалла до предела, что достигается явлением тотальной адсорбции примесей, компенсирующих свободные химические связи на грани и понижающих плотность поверхностной энергии, что не обсуждается в классической теории. В этих условиях поверхностная диффузия строительных частиц как одно из ключевых явлений кинетической теории роста БКФ становится несущественным процессом, но, в противовес, флуктуации свободной энергии, способные десорбировать примеси, становятся решающим звеном феномена роста кристалла. В-четвертых, кинетика нормального роста грани должна быть представлена через величину пересыщения среды кристаллизации у поверхности грани, но не через значение пересыщения в объеме окружающей среды. Связь между этими пересыщениями нелинейна, зависит от факторов диффузии и гидродинамики среды и сложно контролируется.
Известны механизмы связи поверхностного и объемного пересыщения среды кристаллизации в едином процессе диффузии частиц и встраивания их в изломы ступеней [10, 11]. Однако эти представления не применимы во флуктуационной модели, в которой кажущийся непрерывным процесс с необходимостью разорван на два разномасштабных явления, для описания которых используются разные модели времени. Диффузия частиц описывается уравнениями Фика в макроскопическом масштабе событий, а кинетика встраивания частиц в изломы реализуется в краткие моменты релаксации флуктуационного явления десорбции–адсорбции примесей на небольшом участке поверхности. Оба явления связаны теоремой переноса [1].
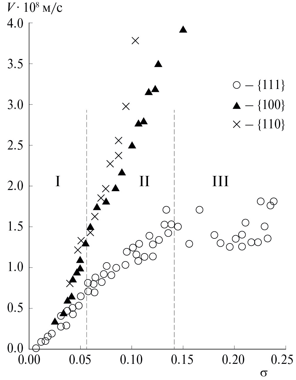
Воспользуемся представлениями флуктуационной модели и разобьем типичную эмпирическую зависимость нормальной скорости роста граней трех простых форм алюмо-калиевых квасцов KAl(SO4)2 × 12H2O от пересыщения условно на три участка (рис. 1).
Рис. 1. Кинетика роста граней кристалла алюмо-калиевых квасцов в водном растворе при температуре 20°С, разделенная условно на участки нелинейной зависимости (I), линейной (II) и постоянного значения (III) скорости роста грани октаэдра.
Кинетические кривые (рис. 1) получены интерференционным методом. Интерферометр Майкельсона настраивается на вертикально ориентированную грань кристалла [12] и в режиме полос конечной ширины проводится регистрация скорости движения интерференционных полос через выбранную точку диаметром не более 10 мкм на увеличенном изображении грани. Дискретность регистрации высоты рельефа грани составляет половину длины волны монохроматического света лазера (316.4 нм), но точность визуальной регистрации составляет не хуже 1/10 от интерференционной полосы (30 нм). Заметим, что при скорости роста 1.5 × 10–8 м/с смена полос происходит с периодом 2 с. При этом инструментальная погрешность измерений в масштабе интервалов 10 с (5 полос) составляет не больше размера символа точки на рис. 1. Макроступени высотой менее 30 нм не препятствуют измерениям, и грань кристалла визуально выглядит плоской. Так, на гранях октаэдра в интервале относительных пересыщений раствора 0 < s < 0.25 высота макроступеней не превышает указанный волновой предел, но на гранях {110} и {100} уже при пересыщениях 0.11 и 0.15 соответственно макроступени нарушают интерференционную картину, поэтому измерения скорости роста с помощью интерферометра становятся невозможными.
Участок I. При крайне малых пересыщениях, на этапе квазиравновесной трансформации рельефа за счет флуктуаций свободной энергии, любые искривления элементарных ступеней преобразуются согласно явлению двумерного зародышеобразования [13]. Кроме того, в результате взаимного отталкивания ступеней на грани кристалла [7] формируется дислокационная пирамида. Тогда один из макроскопических параметров рельефа неизбежно содержит зависимость от поверхностного пересыщения среды [2]:
, (3)
где радиус равновесного двумерного зародыша –
, (4)
E – энергия связи двух соседних частиц в структуре кристалла, kB – постоянная Больцмана. Вывод (4) основывается на решении вариационной задачи, в которой энергия, связанная со случайным образованием зародыша, достигает экстремума [14]. Более точное решение задачи вращения дислокационной ступени [15] в случае активной роли флуктуаций свободной энергии можно считать излишним, поскольку в данной модели уже использована упрощающая замена активностей частиц концентрациями, а логарифм ограничен линейным членом разложения в ряд Маклорена.
Заметим, что фактор равновесного двумерного зародыша, определяющий частоту ступеней на поверхности грани, реализуется не в моменты релаксации флуктуаций роста, а на более долгой стадии квазиравновесного преобразования рельефа поверхности по механизму взаимного отталкивания ступеней. Именно по этой причине скорость роста кристалла демонстрирует хорошо известную из опыта [16] квадратичную зависимость от поверхностного пересыщения:
. (5)
Остальные параметры уравнения (5) сохраняют устойчивые постоянные значения в данном интервале пересыщений (рис. 1). Важно также подчеркнуть, что квадратичная зависимость нормальной скорости роста от поверхностного пересыщения (5) не противоречит линейному режиму Онзагера, реализующемуся при приближении системы к равновесию [13].
Однако связь поверхностного пересыщения с общим пересыщением среды σ, легко контролируемым в эксперименте, имеет непростую зависимость и в условиях ламинарного обтекания плоской грани кристалла подвижной средой выражается уравнением [13]:
, (6)
где – безразмерный параметр, – толщина линейного пограничного слоя. При малых ω рост грани тяготеет к кинетическому режиму (), а при больших – к диффузионному ().
Участок II. С ростом пересыщения механизм квазиравновесной трансформации элементарных ступеней, описанный Л.Д. Ландау [7], перестает эффективно работать. На поверхности грани не разрушаются удвоенные, утроенные и т.д. ступени, образованные за счет дислокации, а немного позже формируются макроступени [16, 17]. Такие условия на участках активного присоединения частиц характеризуются стремлением μ1 → 1, μ2 → 1, в результате исходная формула (2) преобразуется в линейную зависимость:
. (7)
В данной области неравновесности (рис. 1) зависимость между пересыщениями , где – коэффициент, медленно меняющийся с пересыщением (описано ниже), также линейна.
Участок III. В условиях естественной гравитационной конвекции среды кристаллизации рост пересыщения приводит к значительным флуктуациям скорости роста и исчезает ее зависимость от пересыщения (рис. 1). Использование модельных кинетических уравнений в этой области неравновесности теряет смысл по ряду причин. Обсудим эти обстоятельства флуктуационной модели более детально.
ПОКАЗАТЕЛЬ СКОРОСТИ АДСОРБЦИИ ПРИМЕСЕЙ
Рассмотрим изменчивость коэффициента адсорбции примеси θ с ростом пересыщения. Эмпирические данные подтверждают, что в первых двух областях кинетической кривой I и II (рис. 1) при относительно малых пересыщениях скорость адсорбции примесей практически не меняется. Однако здесь скрываются помимо основного, связанного с наличием инертной примеси в растворе, два дополнительных фактора, частично компенсирующих друг друга.
Фактор 1. Заметим, что с ростом поверхностного пересыщения радиус равновесного двумерного зародыша (4), эффективно влияющий на характер рельефа грани на стадии его квазиравновесной трансформации, уменьшается, что влечет за собой рост максимальной плотности изломов на поверхности грани, которая увеличивается пропорционально равновесной кривизне ступени 1/r. Возрастание плотности центров адсорбции с пересыщением критически важно для релаксационных процессов. Чем выше плотность изломов, тем большая доля энергии флуктуации затрачивается на десорбцию примесей с них, соответственно, в ходе релаксации чаще происходит адсорбция примесей на изломы. В результате коэффициент θ будет иметь слагаемое, пропорциональное кривизне равновесного двумерного зародыша.
Фактор 2. Адсорбция на грани кластеров переходного состояния. Теория переходного состояния вещества является развитием идеи Аррениуса и, несмотря на то что объекты, описываемые теорией, по размерам не превышают единиц нанометров, описана в конечном счете на феноменологическом уровне [3, 4]. В теории нашли отражение три аспекта: термодинамический (равновесно-статистический), квантовый и кинетический. Сочетание разных подходов обладает той же уязвимостью, которая отмечена для теории БКФ [9]. Во флуктуационной модели роста кристалла, реализованной на термодинамическом, феноменологическом уровне, важной составной частью является квазиравновесный этап развития поверхности грани, находящейся в состоянии минимальной свободной поверхностной энергии в результате тотальной адсорбции примесей на свободных связях. Поэтому, обсуждая активированные комплексы строительных частиц, будем исходить только из канонического распределения Гиббса по энергиям, использованного в теории переходного состояния [3], и не выйдем за рамки макроскопического термодинамического масштаба описания.
В состоянии термодинамического равновесия всевозможные кластеры частиц непрерывно образуются и разрушаются, что не влияет на состояние системы. Но при отклонении от равновесия появляется движущая сила неравновесного процесса – разность химических потенциалов строительного вещества в среде и кристалле. Тогда переходное состояние строительного вещества как особая виртуальная фаза начинает влиять на скорость роста кристалла по двум упомянутым выше механизмам.
По теории гомогенного зародышеобразования [14, 16] кластеры, обладающие наиболее упорядоченной, предкристаллической структурой, для которой химический потенциал кристаллизующегося вещества оказывается предельно низким и ниже потенциала строительного вещества в среде кристаллизации, а размер их превышает некий геометрический предел, послужат затравками новой кристаллической фазы. Однако флуктуации числа молей строительного вещества и принцип локального равновесия позволяют допустить, что в многокомпонентной среде могут кратковременно образовываться и другие соединения частиц, для которых химический потенциал не достигает предельного значения, свойственного кристаллу, и более того, превышает средний химпотенциал частиц в среде. Заметим, что флуктуации температуры и числа молей какого-либо из химических компонентов в среде кристаллизации, как и иные типы флуктуаций (давления, поляризации, намагниченности), независимы, редки и не обладают эффектом памяти. На основании трех перечисленных свойств флуктуаций доля частиц, находящихся в состоянии активированного комплекса в расчете на моль строительного вещества в квазиравновесной среде, может быть записана в форме канонического распределения Гиббса [3, 4]:
, (8)
где – энергия Гиббса образования активированного комплекса частиц, R – газовая постоянная, T – температура, Z – нормирующий коэффициент. Здесь энергия Гиббса отражает разность химических потенциалов свободных частиц в среде кристаллизации и активированном комплексе.
Известно, что рост кристалла возможен в том случае, если средняя активность молекул строительного вещества в среде кристаллизации a превышает таковую в среде a0, находящейся в термодинамическом равновесии с кристаллом при данных термодинамических переменных. Допустим, что ансамбли молекулярных кластеров разного сорта, образованных из строительных частиц, также представляют собой некие фазы переходного состояния вещества, для которых соответствующие равновесные среды характеризуются значениями активности .
Используя представления Г.Н. Льюиса [6], энергию Гиббса кластера выразим в виде
. (9)
В момент образования кластера при положительной флуктуации числа молей частиц в локальной области среды у поверхности грани кристалла энергия Гиббса положительна, поскольку кратковременно реализуется условие: . Допустим, что кластер адсорбируется на поверхности грани. Тогда частицы кластера образуют дополнительные связи с поверхностными атомами кристалла, а активности частиц после релаксации флуктуации переходят к пределам: , (индекс f обозначает в данном случае адсорбированное состояние). Обратим внимание, что энергии Гиббса адсорбированного кластера и находящегося в среде кристаллизации различаются, поскольку обязано выполняться строгое неравенство .
Тогда при небольших значениях концентрации строительных частиц в среде кристаллизации осуществляя переход от активностей к концентрациям без учета солевых эффектов, как и при выводе выражения (4) [2], можем записать
, (10)
где можно назвать конформационным индексом адсорбированного на грани кластера, допускающим существование отрицательного значения энергии Гиббса. Последнее обстоятельство не может рассматриваться как препятствие для возникновения короткоживущих кластеров, поскольку флуктуации энтропии в виде числа молей частиц в единице объема среды согласно теории Гиббса [6] не ограничены по величине, хотя большие флуктуации маловероятны. Кластер частиц, будучи адсорбированным на открытой грани кристалла, покрывает ее в произвольном месте вне зависимости от плотности изломов и, как было замечено выше, после релаксационных событий способен выполнять функцию примеси, экранируя участок поверхности от частиц строительного вещества до следующей флуктуации. Однако с ростом отклонения от равновесия число таких кластеров согласно уравнениям (8) и (10) уменьшается.
Заметим, что кластеры частиц, оказавшиеся на поверхности грани, на квазиравновесном этапе развития поверхности составляют конкуренцию инертной примеси, поскольку площадь десорбированной поверхности в результате средней флуктуации свободной энергии в стационарном процессе роста остается постоянной.
Оба описанных дополнительных фактора являются независимыми и действуют одновременно с основным фактором, обусловленным наличием примесных частиц в среде – θ0. Тогда скорости адсорбции суммируются:
Здесь подразумевается, что конкуренция молекул примеси с кластерами строительных частиц не влияет на скорость их адсорбции, но сокращает время релаксации флуктуации. Среди множества адсорбированных на грани активированных комплексов частиц выделим средний кластер строительного вещества, эффективно представляющий всю совокупность кластеров:
. (11)
Полученное выражение при условии
(12)
обеспечивает постоянство коэффициента заселения изломов примесями при небольших пересыщениях на участках I и II (рис. 1), что характерно для роста кристалла из раствора при нормальных условиях (формулы (5) и (7)).
Поскольку кластеры частиц, адсорбированные на грани, приобретают свойства инертной примеси и не обладают “внутренними” часами, их время жизни должно быть ограничено интервалом между флуктуациями свободной энергии, приводящими к эффективным актам роста ступеней:
. (13)
Заметим, что другие кластеры переходного состояния, находящиеся в среде кристаллизации, распадаются гораздо быстрее . Очевидно, для них конформационный индекс при отсутствии укрепляющих связей с атомами кристалла достигает бóльших значений (), и энергия Гиббса после релаксации флуктуации числа молей частиц наиболее вероятно становится отрицательной, что приводит к быстрому разрушению кластера. Для сравнения при росте органических кристаллов из водного раствора [2, 13] интервал между флуктуациями составляет около 0.1 с (τ = 90 с, q = 0.999). Тогда время жизни активированного комплекса в растворе не превышает 0.01 с.
Заметим, что приведенные расчеты, строго говоря, должны содержать зависимости от активности, а не от концентрации частиц. Но это обстоятельство не меняет общих выводов в отношении коэффициента скорости заселения изломов.
ПОКАЗАТЕЛЬ СКОРОСТИ ПРИСОЕДИНЕНИЯ ЧАСТИЦ
При значениях конформационного индекса φi кластера, превышающих единицу, и энергии Гиббса (10), близкой к нулю, наибольшее влияние на процесс роста оказывают активированные комплексы, адсорбированные на поверхность грани. Но при росте пересыщения, когда энергия Гиббса различных конформационных разновидностей переходного состояния перемещается в область положительных значений (10), а кластеры в объеме среды могут существовать некоторый отрезок времени и в пострелаксационный период, число таких комплексов быстро понижается с ростом пересыщения (8) и все избыточное строительное вещество в среде кристаллизации, за исключением адсорбированных кластеров, становится доступно для процесса роста.
Постулат Хэммонда [18] гласит, что при экзотермической химической реакции, характерной для роста кристалла, переходное состояние напоминает исходное вещество, а при эндотермической – конечный продукт. Тогда согласно постулату Хэммонда кластер переходного состояния, зарождающийся в кристаллообразующей среде, представляет собой небольшую молекулу, состоящую, вероятно, из нескольких строительных частиц.
Но в гетерогенной системе можно выделить явление адсорбции как самостоятельную химическую реакцию с собственным экзотермическим тепловым эффектом. Размеры кластера переходного состояния в этом случае будут крупнее, а конечный продукт реакции адсорбции гипотетически можно представить как деформированный на поверхности грани кластер. Таким образом, при росте грани выделяются два независимых химических процесса с участием строительных частиц: взаимодействие частиц со свободными изломами элементарных ступеней (собственно рост кристалла) и образование долгоживущего кластера на поверхности грани, препятствующего присоединению частиц к изломам элементарной ступени. Для роста также важен особый экзотермический процесс – адсорбция молекул примеси на свободных связях грани кристалла в ходе релаксации флуктуации свободной энергии.
Напомним, что с ростом пересыщения число кластеров переходного состояния первого и второго типа в растворе падает (8). Важно заметить, что показатель скорости присоединения частиц к свободным изломам β на десорбированном участке поверхности грани зависит от концентрации свободных частиц в прилегающей к грани среде кристаллизации, а не от того избыточного количества, составляющего малую добавку, по которой рассчитывается пересыщение. Учитывая также постулат Хэммонда, параметр скорости β присоединения частиц к изломам ступеней в рамках линейного подхода (2) можно принять за константу во всем обсуждаемом диапазоне пересыщений, характерном для условий роста кристалла из раствора (рис. 1).
МАКРОСТУПЕНИ НА ГРАНИ КРИСТАЛЛА
Агрегация элементарных ступеней в макроступень, как было отмечено, начинается при небольших пересыщениях, на границе областей I и II на кинетической кривой (рис. 1), когда равновесный механизм взаимного отталкивания единичных ступеней в периоды между крупными флуктуациями свободной энергии [7] перестает действовать. Образование макроступеней начинается с того момента, когда площадь кристаллического слоя единичной высоты, образовавшегося за один средний релаксационный процесс, становится сравнимой с площадью десорбции. В таких обстоятельствах единичные ступени на некоторых участках поверхности сближаются, и отталкивание ступеней сменяется на притяжение. Эффект притяжения элементарных ступеней легко объяснить упорядоченной трехмерной структурой кристалла.
Заметим, что в условиях, когда растущая грань кристалла основное время полностью покрыта примесями, реализуется равновесный термодинамический механизм трансформации рельефа, и кинетические модели [19] не применимы. Торец равномерного агрегата элементарных ступеней представляет собой участок новой кристаллографической грани [16], которая будет обладать малой поверхностной энергией (с учетом действия адсорбата), и этот процесс становится выгодным. Если ширина новообразованной грани превысит радиус соответственного равновесного двумерного зародыша (4), то это обстоятельство послужит началом формирования макроскопического трехмерного рельефа на растущей грани кристалла. Тогда удельная площадь растущей поверхности на первичной грани кристалла η начнет превышать единицу, что в свою очередь вызовет дополнительный приток вещества к растущей грани и ускорит переход к диффузионному режиму роста грани. Описанный феномен макроскопической перестройки грани активизируется постепенно.
Покажем, что с ростом пересыщения диффузионный режим приводит к уменьшению поверхностного пересыщения и поэтому скорость роста обязана выходить на плато (рис. 1, участок III).
Закон сохранения вещества в приближении ламинарного обтекания и линейного пограничного слоя можно записать в виде
, (14)
где D – коэффициент диффузии частиц, – градиент концентрации строительного вещества у поверхности грани, ρ – плотность кристалла. С учетом (7) и (14) получим
.
При переходе в область III (рис. 1) коэффициент KII увеличивается весьма значительно, поскольку под параметром h0 здесь следует понимать не вектор Бюргерса, а среднюю высоту макроступени на данном макроскопическом участке грани. Тогда последнее уравнение преобразуется к виду
. (15)
В простейшем случае можно допустить линейный рост высоты макроступени с пересыщением. Тогда поверхностное пересыщение перестает зависеть от общего пересыщения среды, а скорость роста выходит на плато (рис. 1).
Кроме морфологической в некоторых ростовых системах появляется вторая, гидродинамическая причина, приводящая к диффузионному режиму роста грани кристалла (рис. 2). С ростом пересыщения разность плотностей раствора у поверхности кристалла и вдали от него повышается до критической, и ламинарный режим обтекания растущей грани (рис. 2а) нарушается. Происходит срыв пограничного слоя (рис. 2б) и впоследствии формируются вихри. В неустойчивом турбулентном режиме обтекания эффективная толщина пограничного слоя ä значительно увеличивается [12], что также приводит к уменьшению поверхностного пересыщения.
Рис. 2. Интерферограммы роста кристалла квасцов при пересыщении раствора 0.07 (а) и 0.12 (б). Ширина поля изображения – 2 см.
Однако колебания скорости роста обусловлены стандартной методикой измерения. Время прохождения фиксированного числа полос (пяти полос) через точку наблюдения при большой скорости роста (рис. 1, участок III) становится существенно меньше элементарного стационарного интервала τ, составляющего от десятка секунд до нескольких минут [2]. Тогда экспоненциальный закон распределения флуктуаций Гиббса, характеризующий последовательность актов роста кристалла, начинает влиять на результат единичного измерения скорости. Заметим, что стандартное отклонение интервала времени между флуктуациями при экспоненциальном законе распределения равно математическом ожиданию. При этом на участках I и II время единичного измерения скорости роста существенно больше, а колебания скорости роста оказываются малы в результате суммирования многих единичных актов роста.
ЗАКЛЮЧЕНИЕ
Таким образом, можно утверждать, что долгоживущее переходное состояние вещества, ингибирующее скорость роста кристалла в рамках флуктуационной модели дислокационного роста кристалла, может проявлять себя в двух формах: адсорбированных на грани кластеров строительных частиц различного строения, активно исполняющих роль примеси, и короткоживущих небольших кластеров, мобилизующих часть строительных частиц и препятствующих их присоединению к изломам ступеней роста. Особый характер воздействия поверхностных кластеров на скорость роста грани наиболее ярко проявляется при небольшом пересыщении и постепенно гаснет с его ростом. В особо чистых химических системах только адсорбированные на грани кластеры строительных частиц способны понизить свободную энергию гетерогенной системы кристалл–среда и выполнить функцию примеси, тормозящей скорость роста кристалла.
Важно отметить, что переходное состояние в обеих разновидностях не вносит существенных корректив в линейное кинетическое уравнение флуктуационной теории (2) и, соответственно, в (5) и (7), кроме того факта, что адсорбированные кластеры воздействуют на зависимость коэффициента адсорбции примеси от пересыщения раствора при возрастании чистоты гетерогенной термодинамической системы кристалл–среда. Активированные комплексы, образующиеся в среде кристаллизации, оказывают меньшее воздействие на рост по сравнению с адсорбированными кластерами частиц и могут быть учтены в кинетическом коэффициенте β.
По тем же причинами, которые не позволяют наблюдать в сканирующем атомно-силовом микроскопе строительную частицу в момент присоединения ее к элементарной ступени [20], кластеры переходного состояния сложно обнаружить. Это обстоятельство ограничивает возможность экспериментальных исследований структуры активированных комплексов имеющимися высокоразрешающими методами.
В диапазоне пересыщений, не приводящих к массовому зародышеобразованию, активированные комплексы не образуют новые фазы в термодинамической системе, поскольку химический потенциал строительного вещества в кристалле остается наименьшим по сравнению с таковым для всех возможных мимолетных новообразованных “фаз”, представленных кластерами переходного состояния. Представления о переходном состоянии [3–6] не противоречат эмпирическим данным в том, что при малых отклонениях от равновесия в сторону пересыщения среды строительными частицами термодинамическая гетерогенная система кристалл–среда всегда развивается по пути роста кристалла.
Таким образом, плодотворная идея Аррениуса об активированном комплексе предоставляет удобную форму для интерпретации малых скоростей роста кристалла в чистых кристаллообразующих системах. Термодинамическое описание подчеркивает переходное состояние как феноменологическую теоретическую концепцию, подходящую для обоснования ряда наблюдаемых макроскопических явлений роста кристалла.
Работа выполнена в рамках государственного задания Института геологии ФИЦ Коми НЦ УрО РАН.
About the authors
V. I. Rakin
Institute of Geology FRC Komi SC UB RAS
Author for correspondence.
Email: rakin@geo.komisc.ru
Russian Federation, 167982 Syktyvkar
References
- Ракин В.И. // Кристаллография. 2016. Т. 61. № 3. С. 488. https://doi.org/10.7868/S0023476116020168
- Rakin V.I. // Crystallography Reports. 2022. V. 67. № 7. P. 1259. https://doi.org/10.1134/S1063774522070252
- Эйринг Г., Лин С.Г., Лин С.М. Основы химической кинетики. Пер. с англ. М.: Мир,1983. 528 с.
- Штиллер В. Уравнение Аррениуса и неравновесная кинетика. Пер с англ. М.: Мир, 2000. 176 с.
- Arrenius S.A. // Zeitschrift fur Physikalishe Chemie. 1889. B. 4. S. 226.
- Пригожин И., Кондепуди Д. Современная термодинамика. От тепловых двигателей до диссипативных структур. М.: Мир, 2002. 461 с.
- Ландау Л.Д. // О равновесной форме кристаллов: Сборник, посвященный семидесятилетию академика А.Ф. Иоффе. М.: Наука, 1950. С. 44.
- Хинчин А.Я. Предельные теоремы для сумм независимых случайных величин. М.; Л.: ОНТИ НКТП СССР, 1938. 116 с.
- Burton W.K., Cabrera N., Frank F.C. // Philos. Trans. Royal Soc. A. 1951. V. 243 (866). P. 299. https://doi.org/10.1098/rsta.1951.0006
- Gilmer G.H., Ghez R., Cabrera N. // J. Cryst. Growth. 1971. V. 15. P. 79. https://doi.org/10.1016/0022-0248(71)90027-3
- Van Der Eerden J.P. // J. Cryst. Growth. 1982. V. 56. P. 174. https://doi.org/10.1016/0022-0248(82)90027-6
- Ракин В.И. Пространственные неоднородности в кристаллообразующей системе. Екатеринбург: Изд-во УрО РАН, 2003. 370 с.
- Ракин В.И. // Кристаллография. 2024. Т. 69. № 4. С. 705. https://doi.org/10.31857/S0023476124040188
- Frank F.C. // Acta Cryst. 1951. V. 4. P. 497.
- Cabrera N., Levine M.M. // Philos. Mag. 1956. V. 1. (5). P. 450. https://doi.org/10.1080/14786435608238124
- Чернов А.А., Гиваргизов Е.И., Багдасаров Х.С. и др. Современная кристаллография (в 4 томах). Образование кристаллов. М.: Наука, 1980. Т. 3. 408 с.
- Рашкович Л.Н., Петрова Е.В., Шустин О.А., Черневич Т.Г. // ФТТ. 2003. Т. 45. Вып. 2. С. 377.
- Hammond G.S. // J. Am. Chem. Soc. 1955. V. 77. P. 334.
- Schwoebel R.L. // J. Appl. Phys. 1969. V. 40. № 2. P. 614.
- Ракин В.И. // Кристаллография. 2023. Т. 68. № 2. С. 319. https://doi.org/10.31857/S0023476123020133
Supplementary files




