Anomalous hardening of two-component disordered crystals
- Authors: Petukhov B.V.1
-
Affiliations:
- Shubnikov Institute of Crystallography of Kurchatov Complex of Crystallography and Photonics of NRC “Kurchatov Institute”
- Issue: Vol 69, No 5 (2024)
- Pages: 876-884
- Section: НАНОМАТЕРИАЛЫ, КЕРАМИКА
- URL: https://journals.rcsi.science/0023-4761/article/view/267146
- DOI: https://doi.org/10.31857/S0023476124050141
- EDN: https://elibrary.ru/ZBSPKJ
- ID: 267146
Cite item
Full Text
Abstract
The nature of increasing the strength of disordered two-component solid solutions in comparison with materials consisting of atoms of one component is studied. For this purpose, the contribution of extreme fluctuations in the distribution of solution atoms, which create obstacles for the movement of dislocation kinks, is calculated. It is shown that a slow - power - decrease in the probability of large delays on such obstacles leads to anomalous kinetics of kinks. It is accompanied by a slowdown in the movement of dislocations. This may be the reason for the hardening of the material.
Full Text
ВВЕДЕНИЕ
Поиск материалов с нужными для конкретных приложений свойствами требует расширения базы кристаллов, находящихся в круге внимания исследователей. Переход от однокомпонентных кристаллов к многокомпонентным значительно увеличивает возможности подбора материала с оптимальными характеристиками. В плане повышения прочности большой интерес в последние годы привлекают неупорядоченные твердые растворы, в том числе высокоэнтропийные сплавы. Однако описание механических свойств таких материалов начиная от динамики дислокаций требует нетрадиционных подходов с широким привлечением статистических методов и теории случайных процессов. Такое описание далеко от завершения.
Механизмы упрочнения твердых растворов различны для материалов с разной микроструктурой, в которых дислокации движутся в различных энергетических ландшафтах. В настоящей работе рассмотрены материалы с высоким потенциальным рельефом кристаллической решетки, называемым также барьерами Пайерлса [1–3]. К ним относятся полупроводники, металлы с объемно-центрированной кубической (ОЦК) решеткой, интерметаллиды, некоторые щелочно-галоидные кристаллы и другие [2]. Многие из этих материалов образуют непрерывные твердые растворы во всем диапазоне концентраций компонентов: KCl–KBr [4], ОЦК-металлы [5]. В микроэлектронике важную роль играет твердый раствор GeSi [6, 7]. В качестве одной из актуальных тенденций материаловедения можно отметить переход от однокомпонентных материалов как основы к многокомпонентным, в которых каждый компонент играет примерно одинаково важную роль. Количество работ, посвященных так называемым высокоэнтропийным сплавам, поистине неисчислимо в связи с ожиданиями их полезности в разнообразных приложениях. Укажем только несколько обзоров [8–11]. Промежуточной стадией перехода к многокомпонентным материалам, уже позволяющей выявить некоторые важные механизмы, которые приводят к повышению их прочности, является изучение бинарных кристаллических твердых растворов.
Твердые растворы, состоящие из атомов даже с мало различающимися размерами (до 5%), могут заметно превосходить по величине деформирующего напряжения материалы из компонента одного из сортов, что делает их перспективными для высокотемпературных приложений [12]. Исследованию аспектов механизмов подвижности дислокаций, а точнее подвижности элементарных носителей пластической деформации – дислокационных перегибов (кинков), в неупорядоченных двухкомпонентных кристаллах посвящена настоящая работа.
ОПИСАНИЕ МОДЕЛИ
Рассмотрим кристаллический материал, состоящий из атомов двух сортов A и B, сравнительно мало различающихся своими химическими и геометрическими параметрами, что является условием образования непрерывного твердого раствора. Отсутствие тенденции к сегрегации и расслоению позволяет моделировать такие материалы, как хаотические твердые растворы. Также предположим, что однокомпонентные кристаллы, состоящие из атомов одного сорта, обладают высоким собственным потенциальным рельефом решетки, препятствующим перемещению дислокаций. Для перехода дислокации в метастабильном положении из одной долины потенциального рельефа в соседнюю требуются тепловая флуктуация с образованием пары кинков и их расхождение вдоль дислокационной линии [1–3]. В составном кристалле с мало различающимися атомами и потенциальным рельефом решетки, близким к исходным рельефам, естественно принять к рассмотрению тот же кинковый механизм движения дислокаций с учетом описываемого ниже ограничения.
В неупорядоченном твердом растворе конкурирующим механизмом торможения дислокаций может быть сетка локальных центров зацепления, создаваемых отдельными атомами раствора. В [3] в качестве критерия преобладания кинкового механизма рассматривали условие, когда напряжение Пайерлса óP превышает независимо вычисленное напряжение продавливания дислокации через сетку локальных препятствий óF (порог перколяции), оцениваемое по порядку величины как óF~ . Здесь u – вносимое атомом раствора возмущение в энергетический рельеф, ê – энергия единицы длины дислокации, a – период решетки вдоль дислокации, óP – напряжение, снимающее барьеры Пайерлса. Критерий óP > óF можно преобразовать к несколько иному виду:
u < Ek4/3/(cêa)1/3, (1)
где Ek – энергия кинка. Это условие легко выполняется для разбавленных твердых растворов с c << 1, но чтобы кинковый механизм преобладал во всей области концентраций вплоть до c ~ 1, локальное возмущение должно быть малым по сравнению с Ek4/3/(êa)1/3. Так как Ek ≤ êa, u может составлять лишь относительно небольшую долю энергии кинка.
В соответствии с подходом, предложенным для описания высокоэнтропийных сплавов [13], примем за отправную точку некоторый гипотетический “средний” материал, обладающий периодическим потенциальным рельефом кристаллической решетки U(y) в расчете на единицу длины дислокации. Здесь y – координата, перпендикулярная выбранной долине кристаллической решетки, координату вдоль дна долины обозначим x. Во всяком случае в большей области изменения концентраций атомов раствора параметры, характеризующие прочность двухкомпонентного материала, намного превосходят разницу между такими параметрами для однокомпонентных материалов, так что последней будем пренебрегать. Также будем пренебрегать нередко встречающимися при низких концентрациях раствора явлениями разупрочнения на стадии зарождения пар кинков [14, 15].
Для описания элементарных актов движения дислокаций достаточно рассматривать две соседние долины в потенциальном рельефе кристалла, различающиеся периодом решетки h. В неупорядоченном твердом растворе с хаотическим распределением составляющих атомов вносимые конкретными атомами искажения накладывают случайный потенциальный рельеф на периодические барьеры Пайерлса. Атомы имеют средние концентрации, обозначаемые как cA = c и cB = 1 – cA = 1 – c и меняющиеся от нуля до единицы.
Расчет удобно проводить в дискретном представлении, как в [16]. Следим за атомами, привязанными либо к первой (нижней на рис. 1) долине, либо ко второй (верхней, отстоящей на h). В каждом узле расположен атом либо сорта A, либо сорта B. При заполнении двух долин кристаллической решетки встречаются четыре варианта конфигураций пар атомов в зависимости от относительного расположения находящихся друг над другом атомов разных сортов (рис. 1).
Рис. 1. Иллюстрация перемещения кинка через хаотически распределенные атомы раствора из начального положения (штриховая линия) в конечное (сплошная линия). Пустые кружки показывают атомы компонента B, закрашенные – компонента A. Отмечены четыре возможные конфигурации атомов в соседних долинах кристаллической решетки, вносящие различные вклады в потенциальный рельеф для перемещения кинка.
Конфигурации с одинаковыми атомами друг над другом в обеих долинах не меняют энергии дислокации при перемещении через них кинка, конфигурации с различными атомами меняют эту энергию. Вообще перемещение через одинаковое число атомов разных сортов, как, например, на рис. 1, приводит к энергетически эквивалентному состоянию дислокации. Это соответствует одинаковому по величине и противоположному по знаку изменению энергии дислокации, связанному с атомами раствора в той или иной из рассматриваемых долин решетки. Эта величина обозначается как u.
Введем случайные величины îi, равные единице, если в узле i первой долины есть атом сорта A, над которым во второй долине атом другого сорта (B, обозначим такую конфигурацию AB), равные минус единице, если расположение атомов противоположное, и равные нулю, если оба атома одного сорта (такие конфигурации обозначим AA и BB). Вероятности того, что îi = 1 или –1 равны c(1 – с), вероятность того, что îi = 0 есть c2 + (1 – c)2.
Полагая началом дислокационного сегмента x = 0, что допустимо в силу статистической однородности задачи, имеем в дискретном представлении x ≈ jа, L = Na. Запишем энергию сегмента при случайном расположении атомов раствора без учета внешней движущей силы как
Er(x) = = u(n1 – n2), (2)
где n1 и n2 – случайные числа на рассматриваемом дислокационном сегменте от нуля до x конфигураций AB и BA соответственно. Задачей является изучение статистических свойств динамики кинков в хаотическом потенциальном рельефе (2).
СРЕДНЕЕ ВРЕМЯ ПРЕОДОЛЕНИЯ ПРЕПЯТСТВИЙ, СОЗДАВАЕМЫХ СЛУЧАЙНЫМИ СКОПЛЕНИЯМИ В РАСПРЕДЕЛЕНИИ АТОМОВ РАСТВОРА
Время задержки на препятствии чаще всего описывают формулой Аррениуса τ = τ0exp(Umax/kT), где Umax – высота максимума потенциала барьера, отсчитанная от предшествующего минимума, k – постоянная Больцмана, T – температура, τ0 – не слишком важный для дальнейшего полуколичественного-полукачественного анализа предэкспоненциальный фактор. В неупорядоченном материале высоты барьеров представляют собой спектр случайных значений энергии, для изучения статистических свойств которого будем использовать общее выражение [17]:
τ = С∫L 0 exp[E(x)/kT]dx, (3)
где C – нормировочная постоянная, о которой речь будет ниже.
В рассматриваемом случае E(x) = Er(x) – Fx. За среднее время преодоления препятствия <τ> = <С∫L 0 exp[E(x)/kT]dx>, если пренебречь второстепенным влиянием фактора C, случайный потенциал Er(x) входит под интеграл в виде <exp(Er(x)/kT)> = <exp{}>. Проводя усреднение с учетом независимости величин îi в разных узлах хаотического раствора, получаем
<exp{}> =≈
≈ {1 + [exp()+exp(–) – 2]c(1 – c)}x/a.
Для сходимости интеграла в <τ> при L → ∞, чтобы среднее время преодоления препятствия было конечным, требуется
F > Fc = (kT/a)ln{1 + [exp() +
+ exp(–) – 2]c(1 – c)}. (4)
При F < Fc и L → ∞ среднее время задержки на флуктуациях плотности атомов раствора неограниченно возрастает, что свидетельствует об изменении характера миграции кинков. Определяемые соотношением (4) границы своеобразного кинетического фазового перехода по движущей силе и температуре иллюстрирует рис. 2. Чтобы полнее представить причины и характер этой более медленной миграции, нужно изучить поведение функции распределения больших времен задержек кинков на вариациях потенциального рельефа неупорядоченного твердого раствора.
Рис. 2. Пороговое напряжение (а) в зависимости от температуры Tu = kT/u при различных концентрациях атомов раствора c: 0.1 (1), 0.2 (2), 0.3 (3), 0.4 (4). Пороговая температура (б) в зависимости от концентрации атомов раствора при различных значениях безразмерной движущей силы Fa/u: 0.1 (1), 0.15 (2), 0.2 (3), 0.3 (4), 0.4 (5), 0.5 (6). Расчет с помощью соотношения (4) (сплошные линии) и альтернативный расчет (кружки), приводящий к условию δ = 1, как и зависимость порогового напряжения от концентрации атомов раствора.
ФУНКЦИЯ РАСПРЕДЕЛЕНИЯ БОЛЬШИХ ВРЕМЕН ЗАДЕРЖЕК КИНКОВ НА СЛУЧАЙНЫХ ПРЕПЯТСТВИЯХ, ОБРАЗОВАННЫХ ФЛУКТУАЦИЯМИ КОНЦЕНТРАЦИИ АТОМОВ РАСТВОРА
Вариация энергии Er(x) при перемещении кинка вдоль линии дислокации представляет собой случайное блуждание по шкале энергии, подобное броуновскому движению [18]. Закономерностям случайных процессов такого типа и более общих в последнее время уделяют большое внимание, соответствующая теория хорошо разработана [18–23]. Аналогия с процессом Винера с дрейфом использована в [24, 25] и неявно в [26]. Более общий случайный процесс рассматривали в [27–29]. В [27] в частном случае значений параметров, сводящемся к процессу Винера с дрейфом, полностью была рассчитана функция распределения времен задержек. Хаотический рельеф Пайерлса для многокомпонентных сплавов изучали в [30, 31].
В [27] было также обнаружено, что характеризовать перемещение кинков локальной скоростью в случайном рельефе можно лишь в ограниченной области параметров. Имеется в виду, что вне этой области торможение кинков определяется не типичными барьерами, образованными флуктуациями рельефа в массе, а наиболее сильным – экстремальным – барьером, встречающимся на всей длине пробега. То есть перемещение кинков имеет ярко выраженный гетерогенный характер, сопровождающийся неограниченным ростом среднего времени задержки на случайных препятствиях с увеличением интервала движения. Подобное поведение можно ожидать и в рассматриваемой ситуации при соответствующих значениях параметров, определяемых ниже.
Так как главный интерес представляет вероятность больших времен задержек, расчет нагляднее всего проводить методом “оптимальной флуктуации”. Этот метод, разработанный в теории энергетических спектров неупорядоченных систем [32], эффективен при расчетах вероятностей больших отклонений случайных величин и заключается в нахождении наиболее вероятных флуктуаций неупорядоченности, приводящих к требуемой величине интересующего параметра. Рассмотрим некоторую флуктуацию концентрации атомов раствора, повышающую энергию дислокации и, следовательно, создающую барьер для перемещения кинка с заданным временем задержки t. В соответствии с законом Аррениуса время задержки связано с высотой барьера E соотношением t = t1exp(E/kT), где t1 – некоторый малосущественный предэкспоненциальный фактор, оцениваемый ниже. Такая высота барьера может быть обеспечена при различных параметрах флуктуации: протяженности l = aN и содержании n1 конфигураций атомов типа AB и n2 конфигураций типа BA с остальными конфигурациями типа AA и BB. Распределение этих конфигураций в пределах оптимальной флуктуации однородно, так что параметров всего три. Так как высоту барьера, как и время задержки, считают заданной, эти параметры подчинены условию E = un1 – un2 – FaN, но в остальном два из трех можно выбирать произвольно. Задачей является поиск флуктуаций, встречающихся наиболее часто, т.е. с максимальной вероятностью.
Вероятность флуктуации, содержащей на длине l = aN n1 конфигураций атомов типа AB и n2 конфигураций типа BA с остальными конфигурациями типа AA и BB, есть
P = exp(S) = ×
×[c(1 – c)]n1+n2[с2 + (1 – c)2]N–n1+n2, (5)
где S – энтропия. Будем искать флуктуацию с соотношением параметров, отвечающих максимальной энтропии. Флуктуации, создающие большие времена задержек, содержат много атомов, поэтому выражение для S может быть записано с использованием формулы Стирлинга:
S = S1 + S2, (6)
S1 = NlnN/e – n1lnn1/e – n2lnn2/e – – (N – n1 – n2)ln[(N – n1 – n2)/e],
S2 = (n1 + n2)ln[c(1 – c)] + + (N – n1 – n2)ln[c2 + (1 – c)2],
где e ≈ 2.71828… – число Эйлера.
Учтем в выражении для энтропии условие фиксированности высоты барьера E = un1 – un2 – FaN, заменив переменные n1 = Ny, n2 = Nz и исключив N = [un1 – un2 – kTln(t/t1)]/Fa = (kT/u)ln(t/t1)/(y – z– – Fa/u). Получаем
S = (kT/u)ln(t/t1)F(y,z), (7)
где
F(y,z) = [f1(y,z) + f2(y,z)]/(y – z – Fa/u). (8)
f1(y,z) = –ylny – zlnz – (1 – y – z)ln(1 – y – z),
f2(y,z) = (y + z)ln[c(1 – c)] + + (1 – y – z)ln[c2 + (1 – c)2].
Максимум энтропии соответствует максимуму функции F(y,z) по y и z, определяемому условиями экстремальности
= = 0. (9)
Из этих условий получаем соотношения, фактически сводящие систему двух уравнений к одному с одним неизвестным
z = 1 – y + y/(2Z02) –
– (y1/2/Z0)[y/(4Z02) + 1 – y]1/2, (10)
Fa/u = [ln(c(1 – c)) – (1/2)lny – ln{[y/(4Z02) +
+1 – y]1/2 – (1/2)y1/2/Z0}]/[(1/2)lny –
– ln{[y/(4Z02) + 1 – y]1/2 – 1/2y1/2/Z0}], (11)
где Z0 = c(1 – c)/[c2 + (1 – c)2].
Численное (или графическое) решение уравнения (11) дает оптимальное значение параметра y = yopt, подстановка которого в (10) дает zopt, завершая поиск значений параметров оптимальной флуктуации. Вычисление вторых производных F(y,z) по y и z, доказывающее, что найденное решение дает действительно максимум энтропии, опустим ввиду громоздкости получаемых выражений.
Зависимость параметров yopt и zopt от движущей силы и средней концентрации атомов раствора иллюстрируют рис. 3, 4. Отметим, что при изменении, например, движущей силы меняются и контролирующие подвижность кинков флуктуации распределения атомов раствора даже внутри одного и того же материала. Форма барьера, создаваемого оптимальной флуктуацией, показана на вставке к рис. 4.
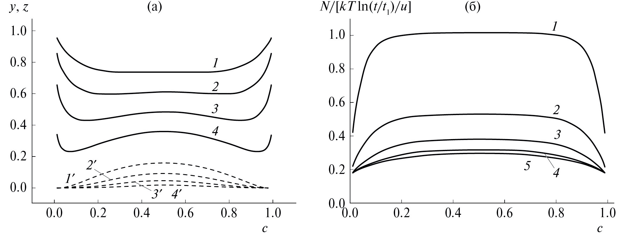
Рис. 3. Параметры оптимальной флуктуации, характеризующие числа конфигураций атомов сортов AB y = n1/N (сплошные кривые) и BA z = n2/N (штриховые кривые) (а), для значений движущей силы Fa/u: 0.1 (1, 1′), 0.2 (2, 2′), 0.3 (3, 3′), 0.4 (4, 4′). Полное число конфигураций в барьере N в зависимости от средней концентрации раствора при различных значениях безразмерной движущей силы Fa/u: 0.1 (1), 0.2 (2), 0.3 (3), 0.4 (4), 0.5 (5).
Рис. 4. Зависимость от движущей силы Fa/u параметров оптимальной флуктуации – концентраций y атомов сорта A и z атомов сорта B внутри флуктуации – при средней концентрации атомов раствора A в объеме материала (штриховая линия) с = 0.2. На вставке – форма барьера, создаваемого оптимальной флуктуацией, при с = 0.3, Fa/u = 0.1.
Зная устройство контролирующего движение кинков препятствия, можно оценить и соответствующий ему предэкспоненциальный фактор, используя в явном виде формулу Крамерса [17] для времени преодоления барьера:
τ = ∫Ùmexp[–E(x)/kT]dx ∫ÙMexp[E(x)/kT]dx. (12)
Здесь Ωm и ΩM – окрестности минимума xm и максимума xM потенциала соответственно, D – коэффициент диффузии кинка. Для линейно меняющегося потенциала барьера в трех областях: E(x) = [u(cA – cB) – Fa]x/a при x < xm и x > xM, [u(yopt – zopt) – Fa]x/a при xM > x > xm вычисление интегралов в (12) дает
τ = τ1exp(UM/kT), (13)
где τ1 = [–]2.
С использованием соотношений (10), (11) выражения для F(y,z) и энтропии приводятся к виду
F(y,z) = –ln[yopt/c(1 – c)]/(1 – Fa/u),
S = (kT/u)ln(t/τ1)F(y,z) =
= –[kT/(u – Fa)]ln[yopt/c(1 – c)]ln(t/τ1). (14)
Таким образом, вероятность больших времен задержки на флуктуациях концентрации атомов раствора убывает степенным образом:
P = exp(S) ≈ (t/τ1)–ä (15)
с показателем степени
ä = [kT/(u – Fa)]ln[yopt/c(1 – c)]. (16)
При малой концентрации раствора c << 1 приближенное решение уравнения (11) есть
yopt ≈ 1 – cFa/(u – Fa). (17)
Показатель степени ä в этом случае мало отличается от получающегося в континуальном расчете [33] ä ≈ [kT/(u – Fa)]ln(1/ρa), что естественно, так как дискретность решетки при низкой плотности раствора ρ = c/a малосущественна.
АНОМАЛЬНАЯ КИНЕТИКА КИНКОВ
Величина показателя степени δ имеет важное значение для кинетики кинков, так как определяет, будет ли среднее время задержки <t> = ∫∞ 0 P(t)dt ограниченным или нет. Согласно (15) вклад больших времен в среднее время задержки <t> = = ∫∞ 0 P(t)dt дает при ä > 1 сходящийся результат, так что это время конечно и существует усредненная скорость движения кинков. Иная ситуация при ä ≤ 1, когда из-за медленного убывания вероятности больших задержек интеграл ∫∞ 0 P(t)dt расходится и среднее время неограниченно возрастает с ростом длины преодолеваемого дислокационного сегмента. В этом случае типичная длина пробега кинка за время t не может превышать среднего расстояния x ~ 1/P(t) между препятствиями со временем преодоления порядка или большем t. Следовательно, согласно (15) длина пробега растет со временем по сублинейному закону:
x ~ tä, (ä < 1). (18)
Таким образом, при ä = 1 имеет место своеобразный фазовый переход с изменением характера кинетики кинков и линейный в среднем дрейф кинков сменяется аномальным нелинейным дрейфом. Аномальность, в частности, проявляется в том, что скорость кинков не может быть оценена дифференцированием соотношения (18), имеющего статистическую интерпретацию. Кинетический закон типа (18) известен также как движение в фазе крипа, или гетерогенная динамика. Более полно свойства такой кинетики можно представить с помощью функций Леви [20], описывающих и смещение, и расползание распределения задержек со временем движения.
Температура перехода Tc, определяемая условием ä = 1, составляет согласно (16) Tc = [(u – Fa)/k]ln[yopt/c(1 – c)]. Ранее путем непосредственного вычисления было выведено условие расходимости среднего времени задержки, представленное соотношением (4). Естественно ожидать, что полученное другим способом и имеющее другой вид условие ä = 1 или T = Tc = [(u – Fa)/k]ln[yopt/c(1 – c)] должно совпадать с прежним, что и демонстрируют на рис. 2 кружки, наложенные на сплошную линию (показан один случай, чтобы не загромождать рисунок). Такое соответствие может также свидетельствовать об эффективности метода оптимальной флуктуации.
Рисунок 5 иллюстрирует зависимость критической движущей силы, представляющей собой границу перехода к аномальной кинетике, от средней концентрации атомов раствора при различающихся в 2 раза температурах T = u/k (верхняя кривая) и T = 2u/k (нижняя кривая). На вставке для качественного сравнения приведен пример экспериментальных зависимостей деформирующего напряжения твердого раствора KCl–KBr при 77 и 293 К по данным [4]. Высокая симметрия экспериментальных кривых свидетельствует о близости материальных параметров компонентов твердого раствора KCl и KBr, что, предположительно, делает его подходящим объектом для применения излагаемой теории. Количественной мерой близости материальных параметров может служить, например, относительная разность напряжений Пайерлса (óP = 29.8 МПа в KCl и 29.4 МПа в KBr [34]), равная ~0.0135, что удовлетворяет требуемым условиям.
Рис. 5. Зависимость пороговой движущей силы от средней концентрации атомов раствора при 77 (1) и 293 К (2) (в безразмерных единицах Fa/u и kT/u соответственно). На вставке для качественного сравнения показано деформирующее напряжение твердого раствора KCl–KBr при тех же температурах по данным [4].
ЗАКЛЮЧЕНИЕ
В экспериментальных данных обращает на себя внимание сильное различие параметров, характеризующих механические свойства материала в твердом растворе и в случае однокомпонентных составляющих. Многие параметры составного материала, например постоянную решетки, можно получить линейной интерполяцией между однокомпонентными материалами. В то же время механические характеристики имеют ярко выраженную колоколообразную концентрационную зависимость. Так, прочность по Виккерсу многих металлических ОЦК-сплавов при сравнимых значениях концентраций компонентов в разы превосходит прочность однокомпонентных материалов. Аналогично ведет себя деформирующее напряжение в щелочно-галоидных кристаллах (рис. 4, вставка). Исключение, по данным [4], составляет небольшая область концентраций при температуре 4.2 K, где наблюдается тенденция к разупрочнению раствора, обусловленная влиянием флуктуаций распределения компонентов раствора на зарождение кинков [15]. Качественно различие статических свойств твердых растворов, определяемых динамикой дислокаций и кинков, объяснено в настоящей работе путем расчета границы существования линейного дрейфа кинков, имеющей колоколообразную зависимость от состава. Расходимость среднего времени преодоления кинками барьеров хаотического потенциального рельефа, приводящего к обращению в нуль скорости кинков, называемому также квазилокализацией, вызвано тем обстоятельством, что в динамическом случае важны не средние характеристики композиций, а экстремальные флуктуации распределения атомов раствора, создающие труднопреодолимые барьеры. Это соответствует тому, что вероятность P(τ) больших времен задержек τ на таких препятствиях убывает медленнее, чем 1/τä, ä ≤ 1, и интеграл, дающий среднее время задержки <τ> = ∫∞ 0 P(τ)dτ, расходится. Для таких медленно убывающих асимптотик вероятности больших значений случайных величин P(τ) ~ 1/τä, играющих важную роль в различных приложениях теории вероятности, существует специальный термин “тяжелые хвосты” [35].
Проведенный в настоящей работе расчет кинетики кинков в неупорядоченном двухкомпонентном кристалле качественно проиллюстрировал возможную причину сильного упрочнения многокомпонентных твердых растворов, заключающуюся в определяющей роли экстремальных флуктуаций в распределении атомов раствора. Высоким значениям силовых параметров в области сравнимых концентраций компонентов неупорядоченных растворов соответствует сильное смешивание атомов различных типов, наблюдаемое в бинарных кристаллах. Это моделирует повышенные значения энтропии, еще большие в многокомпонентных сплавах, что и дало название этому классу материалов как высокоэнтропийных материалов. Возможно, стоит отметить, что некоторая корреляция в расположении атомов раствора, понижающая энтропию по сравнению с полностью хаотическим распределением, но повышающая тенденцию к образованию скоплений, может усиливать торможение кинков [28] и тем самым способствовать большему упрочнению материала.
Таким образом, вследствие двухкомпонентности в неупорядоченных бинарных кристаллах реализуется сложный энергетический рельеф для носителей пластического течения. Флуктуации распределения атомов в хаотическом растворе компонентов создают широкий спектр барьеров для движения кинков и дислокаций. При условиях, изученных в работе, это движение определяется экстремально сильными барьерами и приобретает аномальный характер. Соответствующее замедление пластического течения является причиной упрочнения двухкомпонентных кристаллов по сравнению с однокомпонентными.
Работа выполнена в рамках государственного задания НИЦ “Курчатовский институт”.
About the authors
B. V. Petukhov
Shubnikov Institute of Crystallography of Kurchatov Complex of Crystallography and Photonics of NRC “Kurchatov Institute”
Author for correspondence.
Email: petukhov@crys.ras.ru
Russian Federation, Moscow
References
- Хирт Дж., Лоте И. Теория дислокаций. М.: Атомиздат, 1972. 598 с.
- Messerschmidt U. Dislocation Dynamics during Plastic Deformation / Ed. Hull R. Berlin; Heidelberg, Springer Science and Business Media, 2010.
- Петухов Б.В. Динамика дислокаций в кристаллическом рельефе. Дислокационные кинки и пластичность кристаллических материалов. Saarbrücken: Lambert Academic Publishing, 2016. 385 с.
- Kataoka T., Uematsu T., Yamada T. // Jpn. J. Appl. Phys. 1978. V. 17. № 2. P. 271.
- Kim I.H., Oh H.S., Kim S.J., Park E.S. // J. Alloys Compd. 2021. V. 886. P. 161320. https://doi.org/10.1016/j.jallcom.2021.161320
- Yonenaga I. // J. Phys.: Conf. Ser. 2013. V. 471. P. 012002. https://doi.org/10.1088/1742-6596/471/1/012002
- Иунин Ю.Л., Никитенко В.И., Орлов В.И. и др. // ЖЭТФ. 2002. Т. 121. С. 129.
- George E.P., Raabe D., Ritchie R.O. // Nat. Rev. Mater. 2019. V. 4. P. 515. https://doi.org/10.1038/s41578-019-0121-4
- Tang Y., Wang R., Xiao B. et al. // Progr. Mater. Sci. 2023. P. 101090. https://doi.org/10.1016/j.pmatsci.2023.101090
- Zhou X., Wang X., Fey L. et al. // MRS Bull. V. 48. P. 777. https://doi.org/10.1557/s43577-023-0057-y
- Рогачев А.С. // Физика металлов и металловедение. 2020. Т. 121. С. 807.
- Pink E., Eck R. // Mater. Sci. Technol. 2006. https://doi.org/10.1002/9783527603978.mst0088
- Varvenne C., Luque A., Nohring W.G. Curtin W.A. // Phys. Rev. B. 2016. V. 93. P. 104201. https://doi.org/10.1103/PhysRevB.93.104201
- Pink E., Arsenault R.J. // Progr. Mater. Sci. 1980. V. 24. P. 1. https://doi.org/10.1016/0079-6425(79)90003-3
- Петухов Б.В. // Кристаллография. 2007. Т. 52. С. 113.
- Iunin Yu.L., Nikitenko V.I., Orlov V.I., Petukhov B.V. // Phys. Rev. Lett. 1997. V. 78. P. 3137. https://doi.org/10.1103/PhysRevLett.78.3137
- Kramers H.A. // Physica. 1940. V. 7. P. 284. https://doi.org/10.1016/S0031-8914(40)90098
- Hughes B.D. Random Walks and Random Environment. Cambridge: Cambridge University Press, 1995. https://doi.org/10.1093/oso/9780198537892.001.0001
- Majumdar S.N., Pal A., Schehr G. // Phys. Rep. 2020. V. 840. P. 1. https://www.elsevier.com/open-access/userlicense/1.0/
- Bouchaud J.P., Georges A. // Phys. Rep. 1990. V. 195. P. 127. https://doi.org/10.1016/0370-1573(90)90099
- Bouchaud J.P., Comtet A., Georges A., Le Doussal P. // Ann. Phys. 1990. V. 201. P. 285. https://doi.org/10.1016/0003-4916(90)90043
- Учайкин В.В. // Успехи физ. наук. 2003. Т. 173. С. 847. https://doi.org/103367/UFNr.0173.200308c.0847
- Risken H. Fokker-Planck Equation. Berlin; Heidelberg: Springer, 1996. https://doi.org/10.007/978-3-642-61544-3
- Maresca F., Curtin W.A. // Acta Mater. 2020. V. 162. P. 144. https://doi.org/10.1016/j.actamat.2019.10.007
- Ghafarollahi A., Curtin W. // Acta Mater. 2021. V. 215. P. 117078. https://doi.org/j.actamat.2921.117078
- Suzuki H. // Nachrichten der Akademie der Wissenschaften in Gottingen II. Matematisch-Physikalische Klasse. 1971. V. 6. P. 113.
- Петухов Б.В. // ФТТ. 1971. Т. 13. С. 1445.
- Petukhov B.V. // Phys. Rev. E. 2008. V. 77. P. 02660. https://doi.org/10.1103/PhysRevE.77.026601
- Петухов Б.В. // ФТТ. 2024. Т. 66. С. 473. https://doi.org/10.61011/FTT.2024.03.57490.275
- Jiang T., Xiang Y., Zhang L. // Nat. Commun. 2022. V. 13. P. 4777. https://doi.org/10.1137/20M1332888
- Yin Sh., Ding J., Asta M., Ritchie R.O. // npj Comput. Mater. 2020. V. 6. P. 110. https://doi.org/10.1038/s41524-020-00377-5
- Лифшиц И.М., Гредескул С.А., Пастур Л.А. Введение в теорию неупорядоченных систем. М.: Наука, 1982. 360 с.
- Петухов Б.В. // ФТТ. 1988. Т. 30. С. 2893.
- Kamimura Y., Edagawa K., Takeuchi S. // Acta Mater. 2013. V. 61. P. 294. https://doi.org/10.1016/j.actamat.2012.09.059
- Resnick S.I. Heavy Tail Phenomena: Probabilistic and Statistical Modeling. New York: Springer Science–Business Media, 2007. 403 p. https://doi.org/10.1007/978-0-387-45024-7
Supplementary files







