Annealing effect of Ca3TaGa3Si2O14 catangasite crystals on their optical activity
- Authors: Golovina T.G.1, Konstantinova A.F.1, Kasimova V.M.2, Zabelina E.V.2, Kozlova N.S.2, Deev G.Y.2
- 
							Affiliations: 
							- Shubnikov Institute of Crystallography of Kurchatov Complex of Crystallography and Photonics of NRC “Kurchatov Institute”
- National University of Science and Technology MISIS
 
- Issue: Vol 69, No 5 (2024)
- Pages: 834-842
- Section: ФИЗИЧЕСКИЕ СВОЙСТВА КРИСТАЛЛОВ
- URL: https://journals.rcsi.science/0023-4761/article/view/267138
- DOI: https://doi.org/10.31857/S0023476124050092
- EDN: https://elibrary.ru/ZCXNSI
- ID: 267138
Cite item
Full Text
Abstract
The spectral dependences of transmission and absorption in the wavelength range of 200–2500 nm were measured for Ca3TaGa3Si2O14 crystals cut perpendicular to the optical axis in the initial state (without annealing) and after isothermal annealing in vacuum and in air. It was found that annealing in vacuum leads to a decrease, and annealing in air leads to an increase in the intensity of absorption bands. A spectrophotometric method for measuring and calculating the specific rotation angle ρ of the plane of polarization of light in gyrotropic crystals from the transmission coefficient spectra at different angles between the polarizer and the analyzer is considered. The transmission spectra were normalized in order to eliminate shifts in the spectra associated with measurement features. Spectral dependences of the values of ρ for all three samples, which are approximated by the extended Drude formula, are obtained; the influence of the annealing atmosphere on the values of the coefficients of this formula is established.
Full Text
ВВЕДЕНИЕ
Кристаллы катангасита Ca3TaGa3Si2O14 относятся к структурному типу кальций-галлиевого германата, пр. гр. P321 [1, 2], а = 8.112(1), с = 4.9862(6) Å [3, 4]. Основные области применения этих кристаллов в настоящее время связаны с их электрофизическими и пьезоэлектрическими свойствами – высокотемпературные изделия на объемных и поверхностных акустических волнах, пьезоэлектрические датчики физических величин, волноводные датчики сдвиговой горизонтальной волны и др. [5–10]. Рассматриваются также возможности оптических применений, в частности для нелинейной оптики в качестве матрицы для легирования редкоземельными элементами [11–15]. Такие применения требуют высокого оптического качества кристаллов, для достижения которого могут использоваться послеростовые обработки, такие как изотермические отжиги в различных атмосферах.
Полная характеризация, уточнение известных свойств кристаллов и определение влияния на них послеростовых отжигов позволят открыть новые области их применения.
Свойства анизотропных сред определяются в первую очередь их симметрией [16]. Так, тригональные кристаллы средней категории 32 являются оптически анизотропными, двулучепреломляющими, характеризуются наличием дихроизма и оптической активности (гиротропии), в частности в них наблюдается вращение плоскости поляризации света [17]. Если на такой кристалл в направлении оптической оси падает линейно поляризованный свет, то на выходе плоскость его поляризации поворачивается на угол ρ.
Вращение плоскости поляризации света в кристаллах Ca3TaGa3Si2O14 исследовано в [18, 19] в видимой области спектра с использованием спектрофотометрического метода, представленного в [20, 21]. Суть этого метода состоит в следующем: гиротропный образец толщиной d помещают между скрещенными или параллельными поляризаторами, далее измеряются спектральные зависимости коэффициента пропускания T(λ) света, прошедшего через такую систему. Полученные спектральные зависимости T(λ) имеют периодический характер, максимумы и минимумы зависимостей при скрещенных и параллельных поляризаторах соответствуют величине ρd = π/2 + πn, где n – целое число. Такой метод позволяет получить дискретные величины ρ в некотором диапазоне длин волн, в котором наблюдается периодическая зависимость T(λ). Это является существенным ограничением метода, так как при малой величине ρ или недостаточной толщине образца либо не наблюдается периодическая зависимость, либо присутствует малое количество экстремумов в узком диапазоне длин волн.
Отметим, что вращение плоскости поляризации света в кристалле Ca3TaGa3Si2O14 достаточно велико: ρ = 34.6 град/мм при λ = 589 нм [18, 19], что заметно больше соответствующей величины для многих кристаллов семейства лангасита, например La3Ga5SiO14, La3Ga5GeO14, La3Ga5.5Ta0.5O14 [2, 22]. Помимо катангасита большие величины ρ имеют кристаллы Ca3NbGa3Si2O14, Sr3NbGa3Si2O14, Sr3TaGa3Si2O14 [18, 19, 21]. При этом знак оптической активности, определяющий направление поворота плоскости поляризации света, для всех исследованных правых кристаллов семейства лангасита одинаковый [23]. При использовании спектрофотометрического метода величина ρ определяется по модулю без учета ее знака.
Цель данной работы – исследование влияния послеростовых изотермических отжигов в вакууме и на воздухе на дисперсионные зависимости величины удельного угла вращения плоскости поляризации света в кристаллах Ca3TaGa3Si2O14 в диапазоне длин волн от 300 до 2500 нм.
СПЕКТРЫ ПРОПУСКАНИЯ ОБРАЗЦОВ Ca3TaGa3Si2O14 В НЕПОЛЯРИЗОВАННОМ СВЕТЕ
Кристаллы Ca3TaGa3Si2O14 выращены в компании АО “Фомос-Материалы” методом Чохральского в Ir-тиглях в атмосфере аргона с добавлением кислорода [4]. Все кристаллы были прозрачными, не содержали видимых включений, в лучах He–Ne-лазера рассеяние не наблюдалось. Из этих кристаллов подготовлены образцы в виде полированных пластин толщиной d = 1 мм, вырезанных перпендикулярно оптической оси (z-срезы). Для измерений использовали три образца: в исходном состоянии без отжига (образец 1), с отжигом в вакууме при 1000°С (образец 2) и с отжигом на воздухе при 1200°С (образец 3).
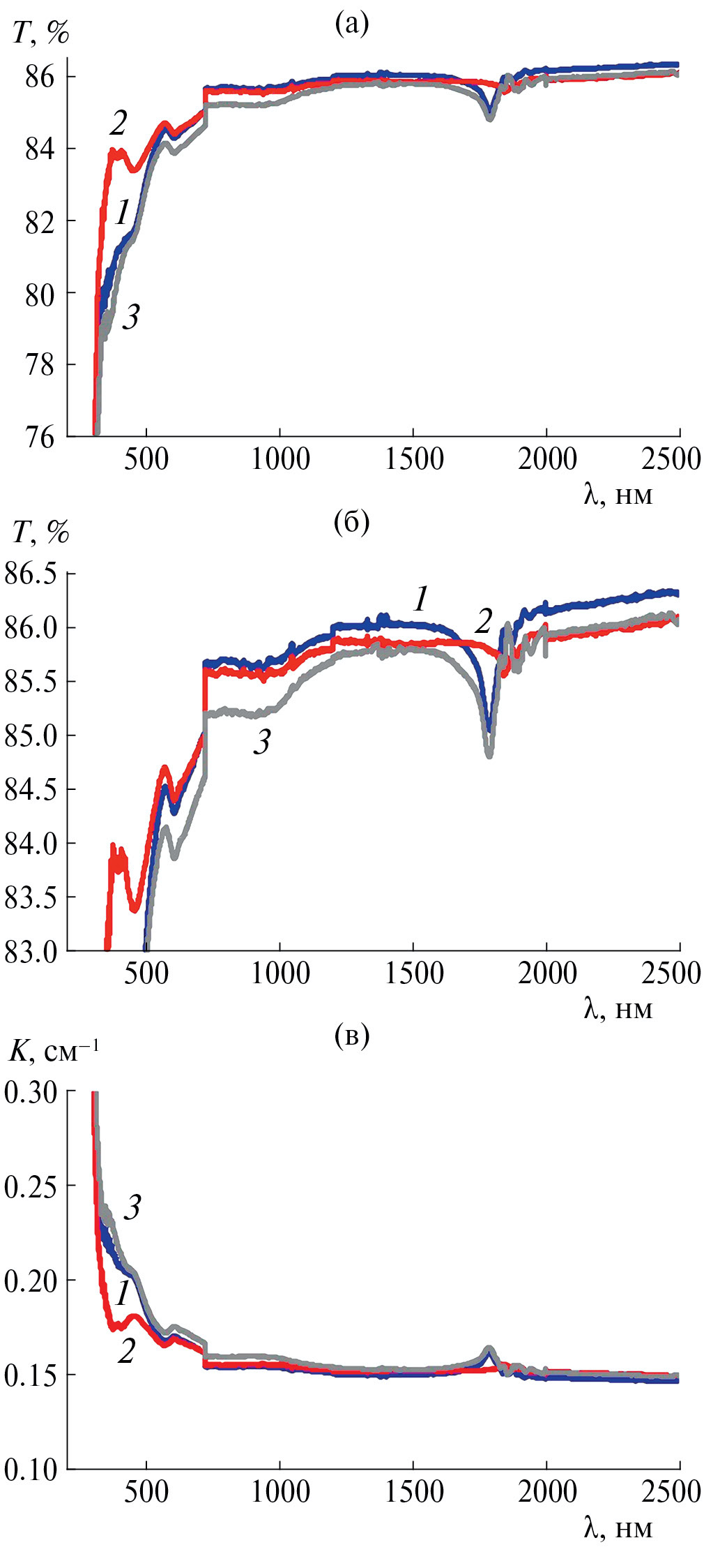
В первую очередь были измерены спектральные зависимости коэффициентов пропускания T всех образцов в неполяризованном свете. Полученные результаты представлены на рис. 1а, 1б. На рис. 1в показаны спектры показателей поглощения K, рассчитанных по приближенной формуле K = –lnT/d [24].
Рис. 1. Спектры пропускания (а, б) и поглощения (в) кристалла Ca3TaGa3Si2O14 для образцов z-среза в неполяризованном свете: 1 – без отжига, 2 – отжиг в вакууме при 1000°С, 3 – отжиг на воздухе при 1200°С.
Видно, что на спектральных зависимостях коэффициентов пропускания образца в исходном состоянии наблюдаются полосы поглощения при λ ~ 360, 480, 600 и 920 нм и группа полос поглощения в ИК-области при λ ~ 1700–2000 нм, при этом максимум наиболее ярко выраженной полосы составляет λ ~ 1790 нм. Отжиг на воздухе приводит к увеличению интенсивности поглощения в области всех этих длин волн. Отжиг в вакууме приводит к существенному снижению поглощения при λ ~ 360 и 480 нм, максимум наиболее интенсивной полосы поглощения в ИК-области при λ ~ 1790 нм смещается к λ ~ 1850 нм, а ее интенсивность снижается. Природа полос поглощения в кристаллах катангасита не установлена, по всей видимости, они могут быть связаны с собственными дефектами и комплексами на их основе. В частности, полоса при λ ~ 460–490 нм наблюдается на спектральных зависимостях пропускания и других кристаллов семейства лангасита, таких как La3Ga5SiO14, La3Ga5.5Ta0.5O14, Ca3NbGa3Si2O14, Sr3NbGa3Si2O14, Sr3TaGa3Si2O14 [25–28]. В кристаллах La3Ga5.5Ta0.5O14 полоса при λ ~ 480 нм достоверно приписана F-центрам [29].
ОПРЕДЕЛЕНИЕ ВРАЩЕНИЯ ПЛОСКОСТИ ПОЛЯРИЗАЦИИ СВЕТА ПО ЭКСПЕРИМЕНТАЛЬНЫМ ДАННЫМ
Для определения вращения плоскости поляризации света в направлении оптической оси необходимы измерения спектров коэффициентов пропускания в поляризованном свете. Такие измерения выполнены в диапазоне 200–2500 нм с шагом 1 нм на спектрофотометре Cary-5000 с универсальной измерительной приставкой UMA с использованием двух поляризаторов Глана–Тейлора.
Пусть α и β – углы между направлениями наибольшего пропускания поляризатора и анализатора и осью x в выбранной системе координат (ось x перпендикулярна оптической оси кристалла). Тогда интенсивность прошедшего света при произвольном угле τ = α – β между поляризатором и анализатором рассчитывается по формуле [20]:
,
где ζ = Kd, ρ – вращение плоскости поляризации света, T = I/I0 – измеренный коэффициент пропускания, d – толщина образца.
Наиболее часто при расчетах используют интенсивности света при параллельных (I‖) и скрещенных (I┴) поляризаторах, но иногда целесообразно использовать другие углы τ. При разных углах τ между поляризатором и анализатором получим формулы:
, ,
, (1)
,
, (2)
,
(3)
, (3а)
. (3б)
Максимумы и минимумы зависимостей I┴ и I‖ от λ соответствуют величине ρd = π/2 + πn, для I45 и I–45 – ρd = π/4 + πn, для I30 и I–60 – ρd = π/6 + πn, для I60 и I–30 – ρd = π/3 + πn, где n – целое число.
Обычно рассчитывают ρ, используя только максимумы и минимумы спектров коэффициентов пропускания при τ = 0°, 90°. Но по формулам (1)–(3) можно провести расчет ρ в каждой точке с условием, что эти формулы не применимы вблизи максимумом и минимумов. При этом можно более точно оценить дисперсионную зависимость ρ(λ), особенно в той спектральной области, где максимумы и минимумы отсутствуют. Именно такой способ расчета использован в настоящей работе.
Экспериментальные спектры коэффициентов пропускания показаны на рис. 2. На рисунке видно, что кривые для всех трех кристаллов имеют “ступеньку” (правая часть кривой сдвинута по вертикали относительно левой) при λ = 1050 нм, величина которой зависит от угла поворота анализатора. Связано это, вероятно, с разной нормировкой при измерении спектров при λ < 1050 и λ > 1050 нм, так как при данной длине волны происходит смена канала в детекторе прибора (переход с Si на InGaAs в соответствии со штатными настройками спектрофотометра Cary-5000 c приставкой UMA [30]).
Рис. 2. Спектры пропускания кристалла Ca3TaGa3Si2O14 в поляризованном свете: а, г – без отжига (образец 1), б, д – отжиг в вакууме при 1000°С (образец 2), в, е – отжиг на воздухе при 1200°С (образец 3). Цифрами указаны углы τ (в градусах) между поляризатором и анализатором.
Для получения гладких кривых можно перенормировать либо часть спектра при λ < 1050 нм, либо часть при λ > 1050 нм. Более рационально взять область спектра при λ > 1050 нм, не имеющую максимумов и минимумов. Перенормировку проводили делением величин пропускания T при длинах волн λ ≥ 1050 нм на отношение h = T(1050 нм)/T(1049 нм), характеризующее относительный сдвиг кривых. При τ = 0° нет сдвига: h = 1, при τ = 90° h = 1.147, при τ = –45° h = 1.065, при τ = 45° h = 1.09, при τ = 30° h = 0.9756, при τ = –30° h = 0.964, при τ = 60° h = 0.916, при τ = –60° h = 0.90. Нормированные спектры на примере кристалла без отжига (образец 1) показаны на рис. 3, для других образцов получены аналогичные результаты.
Рис. 3. Нормированные спектры коэффициентов пропускания для образца 1, нормировка проводилась делением части спектра при λ > 1050 нм на величину h = T(1050 нм)/T(1049 нм).
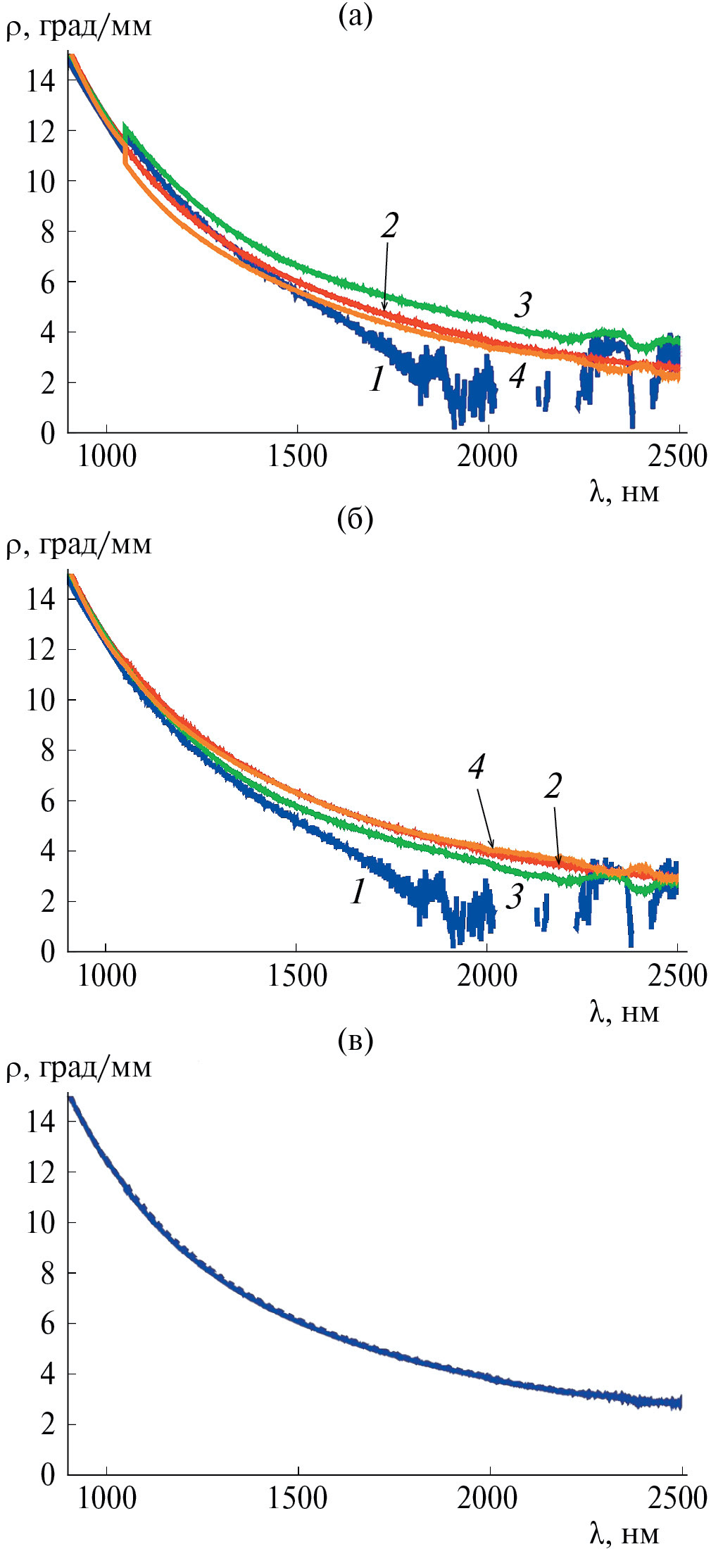
По исходным и нормированным спектрам коэффициентов пропускания с использованием формул (1–3) проведен расчет величины ρ при разных длинах волн. Полученные экспериментальные зависимости ρ(λ) приведены на рис. 4а, 4б на примере образца 1. Погрешность определения величины ρ в видимой области не превышает 1%, а в ИК-области несколько увеличивается (~2%). При расчете из исходных спектров пропускания на зависимостях ρ(λ) получается сдвиг при λ = 1050 нм (рис. 4а), а при использовании нормированных спектров все кривые идут гладко (рис. 4б). Отметим, что расчет по формуле (1) при τ = 0°, 90° (а именно такой расчет является общепринятым) в обоих случаях дает некорректные результаты в ИК-области (кривые 1 на рис. 4а, 4б), что связано с малыми величинами ρ и I┴. Поэтому при λ > 1000 нм (и в принципе при малых величинах ρ) лучше не использовать формулу (1) и проводить расчеты при других углах τ.
Рис. 4. Дисперсии ρ для кристалла без отжига (образец 1) в диапазоне 900–2500 нм: а – полученные по исходным спектрам коэффициентов пропускания; б – полученные по нормированным спектрам: 1 – формула (1), 2 – формула (2), 3 – формула (3а), 4 – формула (3б); в – сравнение усредненных дисперсий для образца 1, полученных по исходным (сплошная линия) и нормированным спектрам (пунктир).
Результаты, полученные по формулам (2), (3а) и (3б), несколько различаются, особенно в ИК-области. Для более точной оценки значений ρ проведено усреднение результатов, полученных для образца 1 по всем экспериментальным спектрам при τ = 0°, 90°, ±30°, ±45°, ±60°. При этом результаты, полученные по формуле (1), использовали только в диапазоне 300–1050 нм, для остальных спектров усреднение проводили по всему диапазону. Полученная экспериментальная дисперсия ρ приведена на рис. 4в. Несмотря на разницу при расчете по отдельным спектрам коэффициентов пропускания, усредненные значения ρ, вычисленные по исходным и нормированным спектрам, очень близки (рис. 4в).
Аналогичные расчеты ρ проведены для образцов 2 и 3. Учитывая практически одинаковые спектры коэффициентов пропускания (рис. 2), следует ожидать близких значений оптической активности для всех трех образцов.
РАСЧЕТ ДИСПЕРСИИ ВРАЩЕНИЯ ПЛОСКОСТИ ПОЛЯРИЗАЦИИ СВЕТА
Найдем дисперсионные формулы для описания зависимости ρ(λ) для трех образцов. Для экстраполяции экспериментальной дисперсии ρ сначала рассмотрим формулу Друде [31]:
. (4)
Из (4) следует, что зависимость 1/ρ от λ2 должна экстраполироваться прямой линией. Но на рис. 5а видно, что данная зависимость не является линейной во всем диапазоне и может быть экстраполирована прямой линией только при λ < 900 нм. Поэтому рассмотрим другую дисперсионную формулу, которую можно назвать расширенной формулой Друде [31]:
, (5)
где индексы i = 1, 2, 3 соответствуют номерам образцов. Тогда прямой должна экстраполироваться зависимость 1/(ρ – Ki) от λ2, исходя из этого подбирали величину Ki для каждого кристалла (рис. 5б). Далее рассчитывали величины K0i и λ0i. Полученные значения коэффициентов Ki, K0i и λ0i для всех кристаллов приведены в табл. 1 отдельно для исходных и нормированных спектров. Видно, что нормировка спектров коэффициентов пропускания не приводит к заметному изменению коэффициентов Ki, K0i и λ0i.
Рис. 5. Расчет ρ по нормированным спектрам: а – зависимость 1/ρ от λ2 в диапазоне 300–2500 нм, на вставке – часть рисунка в диапазоне 300–900 нм; б – зависимость 1/(ρ – Ki) от λ2, K1 = 1.117, K2 = 1.172, K3 = 1.128 град/мм, пунктирная прямая – линейная экстраполяция. Номера кривых соответствуют номерам образцов.
Отклонение между экспериментальными данными и рассчитанной зависимостью оценивали по критерию R2 (коэффициент детерминации). Значение R2 может меняться от 0 до 1. Чем ближе R2 к единице, тем лучше подобранная зависимость соответствует аппроксимируемым данным. Видно (табл. 1), что вращательная способность в исследованных образцах хорошо соответствует выбранному типу уравнений.
Таблица 1. Коэффициенты в дисперсионной формуле (5), рассчитанные по исходным и нормированным спектрам, и коэффициенты детерминации R2
| Образец | Без отжига | Отжиг в вакууме | Отжиг на воздухе | |||
| Исх. | Норм. | Исх. | Норм. | Исх. | Норм. | |
| K0i, 106 (град/мм) нм2 | 10.951 | 10.943 | 10.909 | 10.902 | 10.961 | 10.983 | 
| Ki, град/мм | 1.073 | 1.117 | 1.129 | 1.172 | 1.147 | 1.128 | 
| λ0i, нм | 174.93 | 175.06 | 175.39 | 175.50 | 173.94 | 173.32 | 
| R2 | 0.9999 | 0.99989 | 0.99989 | 0.99988 | 0.99989 | 0.99989 | 
На рис. 6 приведено сравнение экспериментальных (сплошные линии) и рассчитанных по формуле (5) (пунктир) дисперсий ρ на примере кристалла без отжига. Видно, что рассчитанные и экспериментальные зависимости достаточно хорошо согласуются. Для других образцов зависимости ρ(λ) аналогичны.
Рис. 6. Сравнение экспериментальных дисперсий (сплошные линии) и рассчитанных по формуле (5) (пунктир) в диапазоне 300–900 (а) и 900–2500 нм (б) на примере образца 1.
При отжиге Ca3TaGa3Si2O14 в вакууме уменьшается параметр K0i, характеризующий степень вращения плоскости поляризации света в кристалле. При отжиге на воздухе данный параметр незначительно увеличивается. Параметр Ki, определяющий нелинейность экстраполяции обратного угла вращения плоскости поляризации на квадратичную длину волны, увеличивается независимо от атмосферы отжига. Характеристическая длина волны λ0i незначительно увеличивается после отжига в вакууме и уменьшается после отжига на воздухе.
ЗАКЛЮЧЕНИЕ
Измерены спектральные зависимости пропускания в неполяризованном свете образцов Ca3TaGa3Si2O14, вырезанных перпендикулярно оптической оси. В спектрах образцов в исходном состоянии наблюдаются полосы поглощения при λ ~ 360, 480, 610 и 1790 нм. Отжиг в вакууме приводит к снижению интенсивности этих полос поглощения, а отжиг на воздухе, напротив, к ее усилению.
Также измерены спектры коэффициентов пропускания в поляризованном свете при разных углах между поляризатором и анализатором. Проведена нормировка полученных спектров с целью устранения сдвига на кривых при λ = 1050 нм.
Предложен спектрофотометрический метод измерения величин удельного угла вращения плоскости поляризации света, позволяющий определять дисперсионные зависимости ρ. Получены спектральные зависимости величин ρ образцов в исходном состоянии и после изотермических отжигов с учетом и без учета нормировки спектров коэффициентов пропускания. Показано, что отжиги в выбранных режимах практически не влияют на спектральные зависимости ρ.
Полученные зависимости ρ(λ) аппроксимированы расширенной формулой Друде, установлено влияние атмосферы отжига и нормировки спектров пропускания на величины коэффициентов данной формулы.
Работа проведена в рамках выполнения государственного задания НИЦ “Курчатовский институт” в части расчета параметров оптической активности кристаллов Ca3TaGa3Si2O14. Измерения спектров пропускания кристаллов выполнены в МУИЛ ППМиД “Монокристаллы и заготовки на их основе” при финансовой поддержке Минобрнауки России в рамках государственного задания ВУЗам FSME-2023-0003.
About the authors
T. G. Golovina
Shubnikov Institute of Crystallography of Kurchatov Complex of Crystallography and Photonics of NRC “Kurchatov Institute”
							Author for correspondence.
							Email: tatgolovina@mail.ru
				                					                																			                												                	Russian Federation, 							Moscow, 119333						
A. F. Konstantinova
Shubnikov Institute of Crystallography of Kurchatov Complex of Crystallography and Photonics of NRC “Kurchatov Institute”
														Email: tatgolovina@mail.ru
				                					                																			                												                	Russian Federation, 							Moscow, 119333						
V. M. Kasimova
National University of Science and Technology MISIS
														Email: tatgolovina@mail.ru
				                					                																			                												                	Russian Federation, 							Moscow, 119049						
E. V. Zabelina
National University of Science and Technology MISIS
														Email: tatgolovina@mail.ru
				                					                																			                												                	Russian Federation, 							Moscow, 119049						
N. S. Kozlova
National University of Science and Technology MISIS
														Email: tatgolovina@mail.ru
				                					                																			                												                	Russian Federation, 							Moscow, 119049						
G. Yu. Deev
National University of Science and Technology MISIS
														Email: tatgolovina@mail.ru
				                					                																			                												                	Russian Federation, 							Moscow, 119049						
References
- Милль Б.В., Буташин А.В., Ходжабагян Г.Г. и др. // Докл. АН СССР. 1982. Т. 264. № 6. С. 1385.
- Каминский А.А. Физика и спектроскопия лазерных кристаллов. М.: Наука, 1986. 271 с.
- Клименкова А.А., Максимов Б.А., Молчанов В.Н. и др. // Кристаллография. 2007. Т. 52. № 2. С. 238.
- Roshchupkin D.V., Irzhak D.V., Emelin E.V. et al. // 2012 IEEE Int. Ultrasonics Symp., Dresden, Germany, 2012. P. 2730. https://doi.org/10.1109/ULTSYM.2012.0684
- Sakharov S., Zabelin A., Medvedev A. et al. // 2013 IEEE Int. Ultrasonics Symp., Prague, Czech Republic, 2013. P. 1085. https://doi.org/10.1109/ULTSYM.2013.0278
- Рощупкин Д.В., Иржак Д.В., Емелин Е.В. и др. // Изв. вузов. Материалы электронной техники. 2015. № 3. С. 25.
- Fu X., Villora E.G., Matsuchita Y. et al. // J. Ceram. Soc. Jpn. 2016. V. 124. № 5. P. 523. https://doi.org/10.2109/jcersj2.15293
- Fritze H., Suhak Y., Johnson W.L., Tulleret H.L. // Electrochem. Soc. Meet. Abstracts. 2023. № 49. P. 2551. https://doi.org/10.1149/MA2023-01492551mtgabs
- Suzuki R., Suzuki M., Kakio S., Kimura N. // Jpn. J. Appl. Phys. 2023. V. 62. № SJ. P. SJ1022. https://doi.org/10.35848/1347-4065/acb4fd
- Wang G., Hou S., Xie L. et al. // Adv. Electron. Mater. 2024. P. 2300851. https://doi.org/10.1002/aelm.202300851
- Chen F., Yu F., Hou S. et al. // CrystEngComm. 2014. V. 16. № 44. P. 10286. https://doi.org/10.1039/C4CE01740D
- Kurosawa S., Kitahara M., Yokota Y. et al. // IEEE Trans. Nucl. Sci. 2014. V. 61. № 1. P. 339. https://doi.org/10.1109/TNS.2013.2287123
- Han B., Huang Y., Huang J. et al. // J. Lumin. 2023. V. 258. P. 119790. https://doi.org/10.1016/j.jlumin.2023.119790
- Han B., Xiao H., Chen Y. et al. // J. Lumin. 2022. V. 251. P. 119219. https://doi.org/10.1016/j.jlumin.2022.119219
- Yang S., Zhao C., Yu P., Wang Z. // IEEE Photon. J. 2024. V. 16. № 2. P. 1. https://doi.org/10.1109/JPHOT.2024.3371466
- Вайнштейн Б.К. Современная кристаллография. Т. 1. Симметрия кристаллов. Методы структурной кристаллографии. М.: Наука, 1979. 384 с.
- Шубников А.В. Основы оптической кристаллографии. М.: Изд-во Академии наук СССР, 1958. 205 с.
- Shi X., Yuan D., Wei A. et al. // Mater. Res. Bull. 2006. V. 41. № 6. P. 1052. https://doi.org/10.1016/j.materresbull.2005.11.019
- Wei A., Wang B., Qi H., Yuan D. // Cryst. Res. Technol. 2006. V. 41. № 4. P. 371. https://doi.org/10.1002/crat.200510589
- Константинова А.Ф., Гречушников Б.Н., Бокуть Б.В., Валяшко Е.Г. Оптические свойства кристаллов. Минск: Наука и техника, 1995. 302 с.
- Heimann R.B., Hengst M., Rossberg M., Bohm J. // Phys. Status Solidi. A. 2003. V. 195. № 2. P. 468. https://doi.org/10.1002/pssa.200305950
- Батурина О.А., Гречушников Б.Н., Каминский А.А. и др. // Кристаллография. 1987. Т. 32. Вып. 2. С. 406.
- Константинова А.Ф., Головина Т.Г., Дудка А.П. // Кристаллография. 2018. Т. 63. № 2. С. 218. https://doi.org/10.7868/S0023476118020091
- Шубников А.В., Флинт Е.Е., Бокий Г.Б. Основы кристаллографии. М.: Изд-во АН СССР, 1940. 488 с.
- Забелина Е.В., Козлова Н.С., Бузанов О.А. // Оптика и спектроскопия. 2023. Т. 131. Вып. 5. С. 634. https://doi.org/10.21883/OS.2023.05.55715.67-22
- Wang Z., Cheng X., Yuan D. et al. // J. Cryst. Growth. 2003. V. 249. № 1–2. P. 240. https://doi.org/10.1016/S0022-0248(02)02112-7
- Chen J., Shi E., Zheng Y. et al. // J. Cryst. Growth. 2006. V. 292. № 2. P. 404. https://doi.org/10.1016/j.jcrysgro.2006.04.044
- Wang Z., Yuan D., Shi X. et al. // J. Alloys Compd. 2004. V. 373. № 1–2. P. 287. https://doi.org/10.1016/j.jallcom.2003.11.008
- Забелина Е.В. Дис. “Неоднородности в кристаллах лантан-галлиевого танталата и их влияние на оптические свойства”… канд. физ.-мат. наук. М.: МИСИС, 2018. 150 с.
- Standard Operating Procedure Agilent Technologies – Cary 7000 Universal Measurement Spectrophotometer (UMS). University at Buffalo, 2024. P. 1. https://www.buffalo.edu/shared-facilities-equip/facilities-equipment/MaterialsCharacterizationLabs.host.html/content/shared/www/shared-facilities-equip/equipment-list/agilent-cary-7000.detail.html
- Кизель В.А., Бурков В.И. Гиротропия кристаллов. М.: Наука, 1980. 304 с.
Supplementary files
 
				
			 
					 
						 
						 
						 
						 
				
 
  
  
  Email this article
			Email this article 






