Synthesis of nano-sized solid electrolyte Pr1–ySryF3–y and the effect of heat treatment on the ionic conductivity of fluoride nanoceramics
- Authors: Sorokin N.I.1, Arkharova N.A.1, Karimov D.N.1
-
Affiliations:
- NRC “Kurchatov Institute”
- Issue: Vol 69, No 4 (2024)
- Pages: 676-684
- Section: НАНОМАТЕРИАЛЫ, КЕРАМИКА
- URL: https://journals.rcsi.science/0023-4761/article/view/264432
- DOI: https://doi.org/10.31857/S0023476124040145
- EDN: https://elibrary.ru/XCAEOF
- ID: 264432
Cite item
Full Text
Abstract
Solid electrolyte nanoceramics Pr1–ySryF3–y (y = 0.03, sp. gr. P3c1) were obtained by high-energy grinding of melt-grown crystals followed by cold pressing. The phase composition, microstructure, morphology, and electrical properties of nanoceramics were studied using X-ray diffraction analysis, electron microscopy and impedance spectroscopy. The room temperature conductivity of the synthesized Pr0.97Sr0.03F2.97 nanoceramics (σcer = 1.7 × 10–7 S/cm) is significantly lower than the conductivity of the original single crystal (σcrys = 4.0 × 10–4 S/cm), which is due to its low (about ~74% of the theoretical value) density. Heat treatment of nanoceramics at 823 K in vacuum leads to a 3-fold increase in the value of σcer, and annealing at 1273 K in a fluorinating atmosphere results in further increase in conductivity (σcer = 4.3 × 10–5 S/cm) due to the process of collective recrystallization and significant increase the density of ceramics up to 90%. The mechanical grinding technique and subsequent heat treatment of Pr1–ySryF3–y nanopowder makes it possible to processing single-phase highly conductive ceramics. The proposed method for the synthesis of ceramic fluoride nanomaterials as a technological form of solid electrolytes is a promising direction for further developments in the field of creating fluorine-ion current sources and fluorine gas sensors.
Full Text
Введение
Нестехиометрические фазы R1–yMyF3–y со структурой тисонита (тип LaF3, пр. гр. P3c1) в бинарных системах МF2–RF3 (М = Ca, Sr, Ba; R = La, Ce, Pr, Nd) являются перспективными высокопроводящими твердыми электролитами для фтор-ионных источников тока нового поколения, работающих при комнатной температуре, и активно изучаются [1–7]. Они представляют собой анион-дефицитные гетеровалентные твердые растворы, их высокая ионная проводимость обусловлена структурными дефектами, образующимися при изоморфных замещениях катионов R3+ на M2+ [1, 8, 9]. В исследованиях методом19F ядерного магнитного резонанса кристаллов R1–yMyF3–y [10–12] обнаружены высокая подвижность анионов фтора F– и вакансионный механизм суперионной электропроводности.
Твердые растворы R1–yMyF3–y можно синтезировать в разнообразных состояниях (кристаллическом, нано- и микрокерамическом, композитном, тонкопленочном и др.). Среди них очень привлекательной своей технологичностью является керамическая форма, получающаяся прессованием микро- [13–16] или наноразмерных [4, 5, 17–20] порошков.
Однако методика получения керамических фторидных электролитов R1–yMyF3–y – весьма непростая технологическая процедура. Например, синтез высокоплотных керамических образцов такого известного натрий-проводящего твердого электролита, как Na-β-глинозем, потребовал поиска особых технических решений [21]. Поэтому разработка керамической технологии синтеза практически значимых твердых электролитов R1–yMyF3–y, обладающих высокими значениями ионной проводимости при комнатной температуре, является актуальной задачей.
Методики получения фторидной керамики на основе фторидов редко- и щелочноземельных элементов представлены в [4, 5, 17–20, 22]. Особое внимание в этих исследованиях уделялось разработкам подходов к получению оптической фторидной керамики с использованием методов горячего прессования или формования [23, 24].
В последнее время активно развивается направление синтеза фторпроводящих нанокристаллических материалов методами механохимии [4, 5]. При механохимическом синтезе нанофторидов широко применяется механоактивация химической реакции исходных порошков и/или диспергирование продуктов реакции при помощи высокоэнергетического помола. Однако серьезными проблемами в этом методе являются неполнота завершения реакции синтеза и механогидролиз фторидов [17, 25], приводящие к получению полифазного конечного продукта, загрязнения фторидов материалами размольной гарнитуры и агрегация наночастиц, которая приводит к низкой плотности (высокой пористости) изготавливаемой из них керамики холодного прессования [18, 26].
Для исключения процедуры механосинтеза тисонитовых нанофторидов R1–yMyF3–y из исходных компонентов RF3 и MF2 целесообразно использовать механическое диспергирование (МД) гомогенного твердого раствора, предварительно полученного методом сплавления (кристаллизацией расплава) или твердофазным синтезом, до наноразмерного состояния. Таким способом ранее были получены нанокерамики холодного прессования тисонитовых электролитов R1–yMyF3–y с М = Ca, Sr, Ba; R = La, Nd, для снижения пористости (приводящей к росту проводимости) которых показано проведение дополнительной термообработки [18].
Оптимизация состава твердых электролитов в семействах нестехиометрических фаз R1–yCayF3–y, R1–ySryF3–y и R1–yBayF3–y (R = La–Lu, Y) для получения максимальных величин ионной проводимости при комнатной температуре проведена в [27, 28]. В качестве объектов исследования выступали монокристаллы R1–yMyF3–y, полученные методом вертикальной направленной кристаллизации расплава. Результаты оптимизации показывают, что на концентрационных зависимостях проводимости σdc(y) тисонитовых фаз R1–yMyF3–y имеются максимумы при y = 0.03–0.05, и более высокими кондуктометрическими характеристиками обладают матрицы RF3 (R = Ce, Pr), легированные SrF2. Следует заметить, что для ионов церия в кристаллах Ce1–ySryF3–y характерна нестабильная степень окисления (3+, 4+) в ростовых экспериментах. Поэтому с учетом результатов исследований [27, 28] в качестве модельного тисонитового электролита в данной работе выбран более стабильный, но малоисследованный твердый раствор Pr1–ySryF3–y в монокристаллическом виде, полученный по отработанной расплавной методике [9].
В конденсированной системе SrF2–PrF3 [29] нестехиометрическая фаза Pr1–ySryF3–y со структурой тисонита существует в области составов 0 ≤ y ≤ 0.19 при эвтектической температуре 1657 K (рис. 1a). При понижении температуры до 1073 K (нижний предел исследования этой бинарной системы) область гомогенности твердого раствора сужается незначительно, что в совокупности с отсутствием полиморфных переходов облегчает рост кристаллов этого твердого раствора из расплава. Кристаллы Pr1–ySryF3–y ранее выращивали из расплава методами Бриджмена (y = 0–0.15 [30]) и Чохральского (y = 0.11 [31]). Электрофизические свойства твердого раствора Pr1–ySryF3–y были исследованы на монокристаллах (y = 0–0.15) [32–35] и микроразмерной керамике (y = 0.05), полученной методом горячего прессования [16].
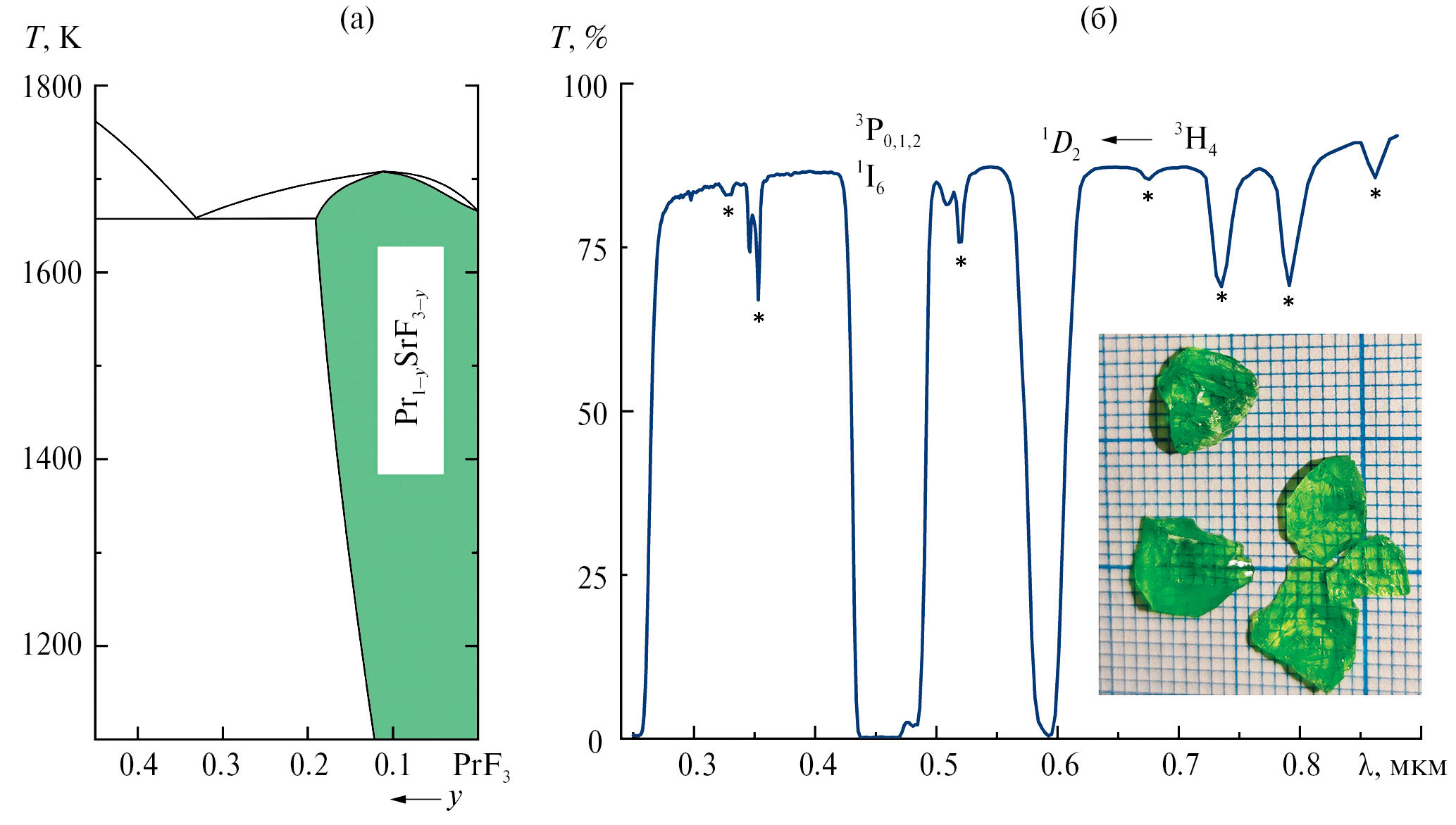
Рис. 1. Участок диаграммы системы SrF2–PrF3 [29] (а). Спектр пропускания кристаллов Pr1–ySryF3–y (y = 0.05 по составу шихты), толщина образцов 2 мм (б). Положения полос, связанных с присутствием ионов Nd3+, отмечены знаком*. На вставке показан внешний вид блоков кристаллов Pr0.97Sr0.03F2.97, полученных из расплава.
Цель работы – синтез нанопорошка твердого электролита Pr1–ySryF3–y из объемных кристаллов методом диспергирования в планетарной шаровой мельнице и изучение влияния высокотемпературного отжига на ионную проводимость фторидной керамики, полученной холодным прессованием, для оценки перспективности и технологичности предлагаемой методики получения керамики.
Экспериментальные методики
Выращивание кристаллов Pr1–ySryF3–y (состав по шихте y = 0.05) проводили из расплава методом Бриджмена в установке резистивного типа в графитовом тигле. В качестве реактивов использовали порошки SrF2 (чистота 99.995 мас. %, Sigma-Aldrich) и PrF3 (чистота 99.95 мас. %, ЛАНХИТ). Для очистки от кислородсодержащих примесей порошки фторидов предварительно прокаливали в вакууме и переплавляли в атмосфере CF4. Температурный градиент в ростовой зоне составлял ∼80 K/см, скорость перемещения тигля – 5 мм/ч. Потери на испарение не превышали 1 мас. %.
Рентгенофазовый анализ (РФА) выполняли на порошковом рентгеновском дифрактометре Rigaku MiniFlex 600 (излучение CuKα) в диапазоне углов 2θ от 10° до 100°. Уточнение параметров элементарной ячейки в рамках пр. гр. P3c1 проводили методом полнопрофильного анализа Le Bail (программное обеспечение Jana2006 [36]). Состав выращенного твердого раствора Pr1–ySryF3–y определяли по концентрационным зависимостям параметров тригональных элементарных ячеек a(y) и c(y) [37].
Спектры оптического пропускания T(λ) кристаллов регистрировали при комнатной температуре с помощью спектрофотометра Cary 5000 (Agilent, США) в диапазоне длин волн 0.2–0.9 мкм.
Высокоэнергетическое МД кристаллов осуществляли в планетарной шаровой мельнице PM-200 (Retch, Германия) в защитной атмосфере Ar в течение 4 ч сухим способом (с отбором проб после каждого часа помола). Частота вращения планетарного диска составляла 10 Гц. Использовали размольную гарнитуру из хромированной стали. Соотношение массы размольных шаров (50 г) и массы вещества составляло 16:1, удельная энергия помола 2.2 кДж/г. Метод МД позволяет получать порошки фторидов в нанокристаллическом состоянии [4, 6, 19–21].
Сканирующую электронную микроскопию (СЭМ) использовали для определения размеров кристаллических зерен порошков и исследования микроструктуры керамики. Исследования осуществляли на растровом электронном микроскопе Scios (FEI, США).
Керамику холодного прессования получали методом одноосного статического прессования в закрытой пресс-форме на воздухе при комнатной температуре. Процесс прессования осуществляли на механическом прессе Karl Zeiss в два этапа. На первом этапе прикладывалось статическое давление 300 МПа в течение 2–5 мин, затем давление увеличивали до 600 МПа и выдерживали 5 мин. Керамические образцы для электрофизических исследований представляли собой диски толщиной до 2 мм и диаметром 3 или 10 мм.
Термический отжиг спрессованных керамических образцов проводили при 823 ± 5 K в вакууме и при 1273 ± 10 K в атмосфере HF (пиролиз аммонийных комплексов) в течение 2 ч. Фторирующую атмосферу использовали для подавления реакции высокотемпературного пирогидролиза. Скорость нагрева/охлаждения образцов составляла 50 K/мин.
Постоянно-токовую проводимость σdc фторидной керамики измеряли методом импедансной спектроскопии на кондуктометрической установке, описанной в [8, 38]. В качестве инертных электродов использовали серебряную пасту Leitsilber 200 (Hans Wolbring GmbH). Измерения комплексного импеданса Z*(ω) = Zʹ + iZʹʹ электрохимических ячеек Ag|керамика|Ag выполняли в диапазонах частот 5–5 × 105 Гц и сопротивлений 1–107 Ом (импедансметр Tesla BM-507) в вакууме ∼1 Па. Относительная погрешность измерений σdc составляла 5%.
Результаты и их обсуждение
Уточнение состава твердого раствора Pr1–ySryF3–y. Выращенные из расплава кристаллы твердого раствора Pr1–ySryF3–y имеют высокую прозрачность и не содержат рассеивающих включений (рис. 1б). В спектре пропускания кристаллов наблюдаются интенсивные полосы, связанные с электронными переходами с основного 3H4-уровня на расположенные выше уровни 4f-конфигурации иона Pr3+ (рис. 1б). Дополнительно наблюдались слабые полосы, связанные с неконтролируемым содержанием изоморфной примеси ионов Nd3+. Граница пропускания кристаллов Pr1–ySryF3–y расположена при ~0.25 мкм и определяется разрешенными по четности межконфигурационными 4f–5d-переходами.
Кристаллы однофазные (рис. 2, кривая 1). Изучаемый твердый раствор Pr1–ySryF3–y кристаллизуется в тригональной сингонии (пр. гр. P3c1, Z = 6, PDF № 00-32-0483). Уточненный состав при температурном максимуме (рис. 1) на кривой плавления тисонитовой фазы Pr1–ySryF3–y равен ymax = 0.122 [39]. Для состава исходного расплава y0 = 0.05 коэффициент распределения примеси keff > 1 [40], поэтому наблюдается инконгруэнтный характер кристаллизации твердого раствора, приводящий к обогащению примесным компонентом (SrF2) растущего кристалла и существенному градиенту его распределения по длине кристаллического слитка в процессе направленной кристаллизации с постоянной скоростью. Это потребовало определения состава кристалла Pr1–ySryF3–y, используемого для получения керамических образцов.
Рис. 2. Дифрактограммы твердого раствора Pr1–ySryF3–y: 1 – направленная кристаллизация расплава, 2 – метод МД, продолжительность τ = 1 ч, 3 – метод МД, τ = 4 ч, 4 – метод МД, τ = 4 ч и отжиг при T = 1273 K, τ = 2 ч. Показаны рассчитанные положения рефлексов Брэгга для пр. гр. P3c1 c параметрами a = 7.0802(1) и с = 7.2457(3) Å.
Исходя из рассчитанных параметров тригональной решетки кристаллов Pr1–ySryF3–y (a = 7.0802(1), с = 7.2457(3) Å, рис. 2) в соответствии с зависимостями a(y) и c(y) [37] реальное содержание SrF2 в изучаемом растворе Pr1–ySryF3–y составило y = 0.03. Проводимость монокристалла состава Pr0.97Sr0.03F2.97 σcrys = (4.0 ± 0.2) × 10–4 См/см при 297 K [32, 35], что является реперным значением при сравнении проводящих свойств в дальнейших экспериментах.
Получение наноразмерного порошка и электропроводность керамики холодного прессования твердого электролита Pr0.97Sr0.03F2.97. На рис. 2 показаны дифрактограммы порошков твердого электролита Pr0.97Sr0.03F2.97, исходного микроразмерного (кривая 1), после механического помола в планетарной шаровой мельнице в течение τ = 1 ч (кривая 2) и τ = 4 ч (кривая 3) и дополнительного отжига (кривая 4). Можно видеть, что однофазность образцов сохраняется, существенное возрастание фона и уширение рефлексов, наблюдаемых для дифрактограмм 2 и 3, косвенно свидетельствуют об образовании при высокоэнергетическом помоле частиц в наноразмерном состоянии.
Анализ СЭМ-изображений показывает, что в процессе МД доля микроразмерной фракции Pr0.97Sr0.03F2.97 существенно сокращается, уменьшается полидисперсность порошков, происходит образование мелкодисперсной (до нескольких десятков нанометров) нанофракции, с увеличением времени помола наблюдается формирование агрегатов наночастиц размером до нескольких сотен нанометров (рис. 3).
Рис. 3. СЭМ-изображения частиц Pr0.97Sr0.03F2.97 после МД в течение τ = 1 (а) и 4 ч (б).
Для проведения электрофизических измерений из дисперсных порошков были получены образцы керамики методом холодного прессования (рис. 4), которые характеризовались высокой степенью хрупкости. Прессование порошков более длительного МД позволило получить материал с большей плотностью. Поверхность образцов была негомогенная и с большим количеством микротрещин.
Рис. 4. Внешний вид поликристаллического образца (а) и СЭМ-изображение участков поверхности керамик, полученных из частиц Pr0.97Sr0.03F2.97 после τ = 1 (б) и = 4 ч (в) помола.
Годограф импеданса Z*(ω) исходной керамики Pr0.97Sr0.03F2.97 холодного прессования с Ag-электродами, изготовленной методом МД в течение τ = 4 ч, приведен на рис. 5а, он моделирует электрические процессы в объеме керамического образца и представляет собой начальную часть полуокружности с центром, лежащим ниже оси абсцисс.
Рис. 5. Годографы импеданса Z*(ω) для исходной (а) и отожженной при 1273 K в течение 2 ч (б) керамики Pr0.97Sr0.03F2.97 с Ag-электродами при температуре 297 ± 1 K. На вставке к рис. 5а показана эквивалентная электрическая схема, цифры у кривых обозначают частоту в кГц. Значения сопротивлений: а – Rcer = 1.6 × 107 Ом (экстраполяция), б – Rcer = 7.5 × 104 Ом, Rig = 8 × 103 Ом.
В общем виде идеальная эквивалентная электрическая схема керамических образцов показана на вставке к рис. 5а. Здесь общее сопротивление керамического образца Rcer = Rig + Rgb, Rig и Cig – внутризеренные (interior grain) сопротивление и емкость, Rgb и Cgb – межзеренные (grain boundary) сопротивление и емкость, Cdl – емкость двойного слоя (double layer) границы керамика/электрод. Для реальных керамических образцов емкости Cig, Cgb и Cdl следует заменить на частотно-зависимые элементы (constant phase elements) CPEig, CPEgb и CPEdl с постоянным фазовым углом [41]. Керамику холодного прессования можно рассматривать как трехфазную систему, включающую в себя кристаллические зерна, границы между ними и поры. Вклад внутризеренной и межзеренной составляющих может быть различным, так как зависит от геометрии и упаковки зерен, дефектной структуры объема зерен и межзеренных границ, количества пор и др.
Как видно из рис. 5а, для исходных образцов керамики можно надежно определить только их общее сопротивление Rcer. Анионную проводимость образцов рассчитывали с учетом геометрических параметров по формуле
σcer = h/(RcerS),
где h – толщина керамического образца, S – площадь электродов. Значение анионной проводимости σcer нанокерамики Pr0.97Sr0.03F2.97 равно (1.7 ± 0.1) × 10–7 См/см (297 K), что существенно (на три порядка величины) меньше электропроводности σcrys монокристалла аналогичного состава [32, 35]. Полученное значение σcer для нанокерамики Pr0.97Sr0.03F2.97 хорошо совпадает с проводимостью керамик холодного прессования твердого электролита La0.9Ba0.1F2.9 (1 × 10–7 – – 4 × 10–7 См/см [7, 42]), широко применяемого во фтор-ионных источниках тока.
В общем виде причиной относительно невысокой ионной проводимости керамик холодного прессования R1–yMyF3–y является их низкая плотность (высокая пористость) [21]. Плотность исследованных керамических образцов находили путем их взвешивания и измерения геометрии. Значения средней плотности керамик лежат в диапазоне 4.6 ± 0.2 г/см3, что составляет 74 ± 3% от величины рентгенографической плотности кристаллов состава Pr0.97Sr0.03F2.97 (6.20 г/см3). Таким образом, для керамики Pr0.97Sr0.03F2.97 холодного прессования требуется проведение дополнительной процедуры термического отжига для снижения внутренней пористости и, соответственно, увеличения электропроводности.
Влияние термообработки на электропроводность керамики твердого электролита Pr0.97Sr0.03F2.97. Отжиг керамики проводили в двух разных экспериментах. В первом случае исследовали влияние отжига при 823 K в вакууме (~1 Па) длительностью 2 ч. После отжига проводимость керамики увеличилась только в 3 раза, достигнув величины σcer = 6 × 10–7 См/см. Этот результат хорошо совпадает c данными, полученными для керамик холодного прессования ряда R1–yMyF3–y с М = Ca, Sr, Ba и R = La, Nd [21]. Обработка образцов при указанной температуре несущественно влияет на изменение проводимости. Согласно [20] термообработка до 773 K тисонитовых нанокерамик La0.95Ba0.05F2.95 уменьшает микронапряжения, а выше этой температуры увеличивает размер зерен.
Второй эксперимент по отжигу проводили при 1273 K во фторирующей (для подавления пирогидролиза) смешанной атмосфере Ar + CF4 в течение 2 ч. СЭМ-изображения поверхности отожженных керамических образцов Pr0.97Sr0.03F2.97 показаны на рис. 6. Поверхность спеченных образцов керамик гладкая, имеет зеренную структуру. Пористость значительно уменьшилась, плотность керамик увеличилась до ∼90% от теоретического значения. Нанометровый размер зерен не сохранился вследствие процесса собирательной рекристаллизации. Распределение зерен по размерам носит узкий характер со средним размером площади зерна S = 12 мкм2 при прессовании частиц, полученных МД в течение τ = 1 ч (рис. 6а), и S = ~9 мкм2 для керамики из фракции после τ = 4 ч помола (рис. 6б). При этом характерно уменьшение размеров зерен при увеличении времени измельчения со смещением максимума распределения с 5 до 3 мкм.
Рис. 6. СЭМ-изображения поверхности керамик Pr0.97Sr0.03F2.97, полученных из частиц методом МД в течение τ = 1 (а), τ = 4 ч (б) и отожженных при 1273 K в течение 2 ч, и соответствующие им гистограммы распределения кристаллических зерен по размерам.
Годограф импеданса отожженной керамики показан на рис. 5б. При низких частотах годограф Z*(ω) представлен прямой линией, идущей под углом к оси абсцисс, которая соответствует электрическим процессам на границе керамика/электрод (емкость двойного слоя Cdl в электрической схеме). Наличие в спектре импеданса блокирующего эффекта от инертных серебряных электродов при низких частотах указывает на ионную природу электропереноса в исследуемой керамике. При понижении частоты наблюдается полуокружность с центром, лежащим ниже оси абсцисс, которая отображает электрические процессы в объеме керамики. Для этого керамического образца удается разделить вклады в общее сопротивление Rcer от сопротивления объема зерен Rig и сопротивления контактов зерен Rgb. Значения проводимостей σcer, σig и σgb равны 4.3 × 10–5, 4.0 × 10–4 и 4.8 × 10–5 См/см соответственно. Полученное значение σcer для отожженной керамики Pr0.97Sr0.03F2.97 выше проводимости отожженной керамики La0.97Ba0.03F2.97 (2 × 10–5 – 3 × 10–5 См/см), полученной твердофазным синтезом [43] или методом соосаждения из водных растворов нитратов [44]. После отжига общая проводимость σcer керамики повысилась в 250 раз, при этом проводимость объема зерен σig совпадает с проводимостью σcrys монокристалла Pr0.97Sr0.03F2.97.
Таким образом, в исследуемой нанокерамике, подвергнутой высокотемпературному отжигу, одновременно с уменьшением пористости произошла рекристаллизация, результатом которой стало увеличение размера зерен до микрометрового (3–5 мкм) масштаба. Этот вывод согласуется с результатами исследований [20, 45], в которых отмечена высокая реакционная способность наночастиц фторидных твердых электролитов La1–yBayF3–y со структурой тисонита и M1–xRxF2+x (М = Ca, Sr, Ba; R = La–Lu, Y) со структурой флюорита в процессах спекания керамики. Высокотемпературный отжиг привел к значительному росту проводимости керамических образцов Pr0.97Sr0.03F2.97. Значение проводимости отожженной микрокерамики равно σcer = 4.3 × 10–5 См/см и меньше проводимости σcrys монокристалла того же состава всего в 9 раз.
Заключение
В работе получены керамики тисонитового твердого электролита Pr0.97Sr0.03F2.97 с использованием наноизмельченных кристаллических порошков. По данным РФА и СЭМ в результате четырехчасового механического диспергирования кристалла получен порошок с преобладанием зерен нанометровой фракции.
Проводимость σcer исходной нанокерамики холодного прессования Pr0.97Sr0.03F2.97 составляет σcer = 1.7 × 10–7 См/см, она существенно ниже проводимости этого твердого раствора в монокристаллическом состоянии, что ожидаемо связано с высокой пористостью такой керамики и ее низкой плотностью.
Термообработка приводит к повышению ионной проводимости керамики. Отжиг при 823 K повышает проводимость в 3 раза до значения σcer = 6 × 10–7 См/см. Отжиг при 1273 K вызывает рост электропроводности нанокерамики в 250 раз вследствие уменьшения ее пористости (возрастания плотности до 90% от теоретического значения) и процесса собирательной рекристаллизации зерен до микрометрового размера (3–5 мкм). Значение проводимости отожженной микрокерамики Pr0.97Sr0.03F2.97, равное σcer = 4.3 × 10–5 См/см, меньше проводимости σcrys монокристалла того же состава всего на один порядок величины.
Использование методики механического диспергирования моно- или поликристаллических материалов для получения фторпроводящих наноматериалов является перспективным направлением развития нанофторидов, но требует дополнительной проработки технологии синтеза с учетом обнаруженных временных, температурных и размерных факторов. В дальнейших исследованиях представляет интерес получить в качестве технологической формы твердого электролита нанокерамику Pr1 – ySryF3 – y с плотностью, близкой к теоретическому пределу, используя однофазный поликристаллический материал, полученный твердофазным отжигом компонентов, что позволит существенно удешевить процесс синтеза.
Авторы выражают благодарность Б.П. Соболеву за общую постановку проблемы, Е.А. Кривандиной за помощь в выращивании кристаллов, Н.А. Ивановской за помощь в проведении экспериментов по синтезу фторидных нанопорошков.
Работа выполнена в рамках государственного задания НИЦ “Курчатовский институт” с использованием оборудования Центра коллективного пользования “Структурная диагностика материалов” Курчатовского комплекса кристаллографии и фотоники в части выращивания из расплава кристаллических образцов и их микроскопической характеризации. Отработка методики синтеза фторидных наночастиц и их исследования методами импедансной спектроскопии выполнены при поддержке Российского научного фонда (грант № 23-23-00479, https://rscf.ru/project/23-23-00479).
About the authors
N. I. Sorokin
NRC “Kurchatov Institute”
Author for correspondence.
Email: nsorokin1@yandex.ru
Shubnikov Institute of Crystallography of Kurchatov Complex of Crystallography and Photonics
Russian Federation, MoscowN. A. Arkharova
NRC “Kurchatov Institute”
Email: nsorokin1@yandex.ru
Shubnikov Institute of Crystallography of Kurchatov Complex of Crystallography and Photonics
Russian Federation, MoscowD. N. Karimov
NRC “Kurchatov Institute”
Email: dnkarimov@gmail.com
Shubnikov Institute of Crystallography of Kurchatov Complex of Crystallography and Photonics
Russian Federation, MoscowReferences
- Sobolev B.P., Sorokin N.I., Bolotina N.B. Photonic & Electronic Properties of Fluoride Materials. V. 1 // Progress in Fluorine Science / Eds. Tressaud A., Poeppelmeier K. Amsterdam: Elsevier, 2016. P. 465. https://doi.org/10.1016/B978-0-12-801639-8.00021-0
- Karkera G., Anji Reddy M., Fichtner M. // J. Power Sources. 2021. V. 481. P. 228877. https://doi.org/10.1016/j.jpowsour.2020.228877
- Yiao A.W., Galatolo G., Pasta M. // Joule. 2021. V. 5. P. 2823. https://doi.org/10.1016/j.joule.2021.09.016
- Scholz G. // ChemText. 2021. V. 7. P. 16. https://doi.org/10.1007/s40820-021-00133-2
- Patro L.N. // J. Solid State Electrochem. 2020. V. 24. P. 2219. https://doi.org/10.1007/s10008-020-04769-x
- Потанин А.А. // Журн. Рос. хим. о-ва им. Д.И. Менделеева. 2001. Т. 45. № 5–6. С. 58.
- Anji Reddy М., Fichtner М. // J. Mater. Chem. 2011. V. 21. P. 17059. https://doi.org/10.1039/c1jm13535j
- Сорокин Н.И., Каримов Д.Н., Бучинская И.И. // Электрохимия. 2021. Т. 57. № 8. С. 465. https://doi.org/10.31857/S0424857021070136
- Buchinskaya I.I., Karimov D.N., Sorokin N.I. // Crystals. 2021. V. 11. № 6. P. 629. https://doi.org/10.3390/cryst11060629
- Fujara F., Kruk D., Lips O. et al. // Solid State Ionics. 2008. V. 179. P. 2350. https://doi.org/1 10.1016/j.ssi.2008.10.003
- Denecke M.A., Gunsser W., Privalov A.V., Murin I.V. // Solid State Ionics. 1992. V. 52. P. 327. https://doi.org/10.1016/0167-2738(92)90179-S
- Изосимова М.Г., Лившиц А.И., Бузник В.М. и др. // ФТТ. 1986. Т. 28. № 9. С. 2644.
- Takahashi T., Iwahara H., Ishikava T. // J. Electrochem. Soc. 1977. V. 124. № 2. P. 280. https://doi.org/10.1149/1.2133280
- Мурин И.В., Глумов О.В., Амелин Ю.В. // Журн. прикл. химии. 1980. Т. 53. № 7. С. 1474.
- Schoonman J., Oversluzen G., Wapenaar K.E.D. // Solid State Ionics. 1980. V. 1. P. 211. https://doi.org/10.1016/0167-2738(80)90005-3
- Сорокин Н.И., Смирнов А.Н., Федоров П.П., Соболев Б.П. // Электрохимия. 2009. Т. 45. № 5. С. 641.
- Соболев Б.П., Свиридов И.А., Фадеева В.И. и др. // Кристаллография. 2008. Т. 53. № 5. С. 919.
- Сорокин Н.И., Ивановская Н.А., Соболев Б.П. // Кристаллография. 2014. Т. 59. № 2. С. 286. https://doi.org/10.7868/S002347611402026X
- Duvel A., Bednarcik J., Sepelak V., Heitjans P. // J. Phys. Chem. C. 2014. V. 118. P. 7117. https://doi.org/10.1021/jp410018t
- Chable J., Martin A.G., Bourdin A. et al. // J. Alloys Compd. 2017. V. 692. P. 980. https://doi.org/10.1016/j.jallcom.2016.09.135
- Иванов-Шиц А.К., Мурин И.В. Ионика твердого тела. Т. 1. СПб.: Изд-во СПбГУ, 2000. 616 с.
- Stevenson A.J., Serier-Brault H., Gredin P., Mortier M. // J. Fluor. Chem. 2011. V. 132. P. 1165. https://doi.org/1016/j.jfluchem.2011.07.017
- Басиев Т.Т., Дорошенко М.Е., Конюшкин В.А. и др. // Изв. РАН. Сер. хим. 2008. № 5. С. 863.
- Дукельский К.В., Миронов И.А., Демиденко В.А. и др. // Опт. журн. 2008. Т. 75. № 11. С. 50.
- Соболев Б.П., Свиридов И.А., Фадеева В.И. и др. // Кристаллография. 2005. Т. 50. № 3. С. 524.
- Кузнецов С.В., Осико В.В., Ткаченко Е.А., Федоров П.П. // Успехи химии. 2006. Т. 75. № 12. С. 1065. https://doi.org/10.1070/RC2006v075n12ABEH003637
- Соболев Б.П., Сорокин Н.И., Кривандина Е.А., Жмурова З.И. // Кристаллография. 2014. Т. 59. № 4. С. 609. https://doi.org/10.7868/S0023476114040195
- Сорокин Н.И., Соболев Б.П., Кривандина Е.А., Жмурова З.И. // Кристаллография. 2015. Т. 60. № 1. С. 123. https://doi.org/10.7868/S0023476115010233
- Sobolev B.P., Seiranian K.B. // J. Solid State Chem. 1981. V. 39. № 3. P. 337. https://doi.org/10.1016/0022-4596(81)90268-1
- Кривандина Е.А., Жмурова З.И., Соболев Б.П. и др. // Кристаллография. 2006. Т. 51. № 5. С. 954.
- Ананьева Г.В., Баранова Е.Н., Заржицкая М.Н. и др. // Неорган. материалы. 1980. Т. 16. № 1. С. 68.
- Сорокин Н.И., Жмурова З.И., Кривандина Е.А., Соболев Б.П. // Кристаллография. 2014. Т. 59. № 1. С. 98. https://doi.org/10.7868/S0023476113050147
- Сорокин Н.И., Соболев Б.П. // ФТТ. 2008. Т. 50. № 3. С. 402.
- Сорокин Н.И., Соболев Б.П. // Электрохимия. 2007. Т. 43. № 4. С. 420.
- Сорокин Н.И., Фоминых М.В., Кривандина Е.А. и др. // Кристаллография. 1996. Т. 41. № 2. С. 310.
- Petricek V., Dusek M., Palatinus L. // Z. Kristallogr. Cryst. Mat. 2014. B. 229. S. 345.
- Соболев Б.П., Александров В.Б., Федоров П.П. и др. // Кристаллография. 1976. Т. 21. Вып. 1. С. 96.
- Сорокин Н.И., Ивановская Н.А., Бучинская И.И. // ФТТ. 2023. Т. 65. № 1. С. 106. https://doi.org/10.21883/FTT.2023.01.53931.498
- Кривандина Е.А., Жмурова З.И., Глушкова Т.М. и др. // Кристаллография. 2003. Т. 48. № 5. С. 940.
- Сорокин Н.И., Каримов Д.Н., Ивановская Н.А. // Кристаллография. 2021. Т. 66. № 6. С. 980. https://doi.org/10.31857/S0023476121060394
- Barsoukov E., Macdonald J.R. Impedance spectroscopy: theory, experiment and applications. New York.: Wiley, 2005. 606 p.
- Breuer S., Gombotz M., Pregartner V. et al. // Energy Storage Mater. 2019. V. 16. P. 481. https://doi.org/10.1016/j.ensm.2018.10.010
- Chable J., Dieudonne B., Body M. et al. // Dalton Trans. 2015. V. 44. P. 19625. https://doi.org/10.1039/c5dt02321a
- Bratia H., Thie D.T., Pohl H.P. et al. // ACS Appl. Mater. Interfaces. 2017. V. 9. P. 23707. https://doi.org/10.1021/acsami.7b04936
- Кузнецов С.В., Яроцкая И.В., Федоров П.П. и др. // Журн. неорган. химии. 2007. Т. 52. № 3. С. 364.
Supplementary files








