Induction of ductile modes of ice fracture and drastic enhancement of its fracture energy by means of introduction of nanoscale additives
- Authors: Golovin Y.I.1,2, Vasyukov V.М.1, Rodaev V.V.1, Samodurov A.А.1, Golovin D.Y.1, Tyurin A.I.1, Razlivalova S.S.1, Buznik V.M.1,2
-
Affiliations:
- G. R. Derzhavin Tambov State University
- Lomonosov Moscow State University
- Issue: Vol 69, No 4 (2024)
- Pages: 630-638
- Section: ФИЗИЧЕСКИЕ СВОЙСТВА КРИСТАЛЛОВ
- URL: https://journals.rcsi.science/0023-4761/article/view/264367
- DOI: https://doi.org/10.31857/S0023476124040087
- EDN: https://elibrary.ru/XCYVLW
- ID: 264367
Cite item
Full Text
Abstract
Ice brittleness and low strength limits its usage as a construction material in cold climate regions on Earth (Arctics, Antarctic, high mountain regions on other continents) as well as in construction of habitable colonies at Moon and Mars planned by several countries despite attractiveness of its other properties. The paper presents experimental study of enhancement of ice carrying capacity and fracture energy by introduction of SiO2 nanoparticles and polyvinyl alcohol into it. Concentration dependences of these properties enhancement are found. Quantitative characteristics of transition from brittle fracture mode in pure ice to ductile one in ice composite caused by growing content of additives are revealed. This transition results in 2–3 orders of magnitude increase in ice fracture energy.
Full Text
Введение
Планы интенсификации освоения Арктики и строительства соответствующей инфраструктуры такими странами, как Россия, США, Китай, Канада, Норвегия, стимулируют развитие арктического материаловедения [1, 2]. Дополнительный импульс этим исследованиям придают проекты создания первыми тремя из этих стран обитаемых поселений на Луне и Марсе [3].
В связи с этим остро встает вопрос о местных строительных материалах, поскольку доставлять их с “большой Земли” к местам использования или очень дорого (как в Арктику и Антарктику), или вообще невозможно (как на Луну и Марс).
Одним из таких материалов мог бы быть лед в кристаллической фазе Ih с гексагональной сингонией кристаллической решетки. Он стабилен в широком диапазоне термодинамических условий, на Земле весьма распространен и доступен в Арктике, Антарктике, на высокогорьях, а также на Луне и Марсе [4–6].
Как строительный материал лед обладает рядом достоинств: он может быть получен из возобновляемых местных источников, он экологически безопасен, имеет низкую плотность и легко формуется разными методами. Однако лед, используемый в этом качестве, имеет большие недостатки – низкую прочность и малую вязкость разрушения [7–10]. Последняя примерно на порядок величины ниже, чем у силикатного стекла.
Предложено и испытано много способов упрочнения льда путем введения в его структуру различных добавок – молекул полимера [11–14], микро- и макроволокон и частиц [15–20]. Однако в большинстве случаев рассматривают действие только одного, а не нескольких упрочняющих агентов на структуру и механические свойства получаемых ледовых композитов (ЛК). Например, при введении в лед отходов деревоперерабатывающей промышленности (опилки, стружки и т. п.) в количестве 14 мас. % достигается 3–4-кратное увеличение его прочности, что позволяет использовать такие ЛК в строительстве зданий и инженерных сооружений [21, 22].
Имеющаяся информация о влиянии наночастиц (НЧ) на микроструктуру и свойства ЛК весьма скудна. В недавних публикациях выявлены закономерности влияния НЧ целлюлозы [23] и диоксида кремния [24] на прочность ЛК в диапазоне их содержания от тысячных долей процента до единиц массовых процентов. Показано, что одним из важнейших механизмов упрочнения поликристаллического льда с помощью НЧ является многократное уменьшение размеров его зерен и межкристаллитных трещин [25, 26]. Косвенные данные о влиянии НЧ на зарождение кристаллитов в поликристаллическом льде, их рост и свойства приведены в [27–29].
Еще меньше известно о возможной смене мод и энергоемкости разрушения при модифицировании льда с помощью НЧ. В этой связи можно упомянуть работы [25] и [26]. Последняя из них содержит некоторую количественную информацию о росте неупругой деформации Δεp и удельной работе разрушения А при увеличении содержания модификаторов. Энергетические характеристики деформации и разрушения (в частности, помимо названной работы разрушения А вязкость разрушения K1с) могут играть не меньшую роль в надежности конструкций изо льда, чем прочность σp, особенно при понижении температуры и повышении скорости нагружения, которые способствуют охрупчиванию льда [8, 9], как и большинства других кристаллических материалов. Особенности перехода от вязкой моды разрушения к хрупкой и обратно при изменении условий нагружения различных тел, содержащих ЛК, например, при их высокоскоростном соударении, пробивании ледовых преград, взрывах и т. п. требуют внимания и изучения с точки зрения управления ими с помощью различных добавок при невозможности изменить другие условия эксплуатации (температуру, напряженное состояние, скорость нагружения и др.).
Цель исследования – разработка нового подхода к управлению механическими свойствами льда, основанного на совместном введении в него высокомолекулярных соединений и наноразмерных неорганических частиц на примере поливинилового спирта (ПВС) и НЧ SiO2; детальное изучение степени упрочнения и принципиальной возможности индуцирования хрупко-вязкого перехода в ЛК путем увеличения Δεp и А с помощью введения данных добавок, а также особенности и закономерности этого перехода по мере роста содержания модификаторов во льде.
Материалы и методы
Приготовление прекурсоров ледовых композитов. Для изготовления образцов ЛК использовали раствор ПВС (Aldrich, США) с молярной массой 85–124 кДа и степенью гидролиза выше 99% в дистиллированной воде. В ряде опытов в этот раствор вводили НЧ SiO2 (далее просто НЧ) (Aldrich, США) с декларируемым производителем средним размером 10–20 нм. Сначала готовили раствор ПВС с массовой долей полимера ω = 7 мас. %. Для этого растворяли гранулы ПВС в дистиллированной воде при 90°C в течение 1 ч при непрерывном механическом перемешивании, добиваясь их полного растворения и образования прозрачного раствора. Для перемешивания использовали вертикальную мешалку пропеллерного типа. Поскольку ПВС имеет склонность к пленкообразованию, перемешивание раствора продолжали до его остывания до 50°C. Из приготовленного раствора путем отбора проб и их последовательного разбавления дистиллированной водой готовили растворы ПВС с меньшей ω. В итоге была получена широкая гамма растворов ПВС с ω = 0.003–7 мас. %.
Подобным образом получили еще два набора растворов ПВС с таким же диапазоном концентраций полимера, которые использовали для приготовления гидрозолей, содержащих 0.3 и 3 мас. % НЧ. Для этого соответствующие навески НЧ диспергировали в растворах ПВС при помощи зондового ультразвукового гомогенизатора Vibra-Cell VCX 750 (Sonics & Materials, США). Мощность ультразвукового воздействия, не разогревающего гидрозоли, составляла 100 Вт на частоте 20 кГц. Аналогичным способом были получены гидрозоли с 0.3 и 3 мас. % НЧ без ПВС. Анализ приготовленных гидрозолей с 0.3 и 3 мас. % НЧ, проведенный методом динамического рассеяния света (ДРС), показал доминирование в них частиц с эффективным диаметром D ~ 40 нм вне зависимости от массовой доли ПВС ω в этих суспензиях. Это подтверждает то, что повышение концентрации НЧ и ПВС в рассматриваемых гидрозолях не оказывает существенного влияния на процесс агрегации в них коллоидных частиц. Заметим, что характерный размер НЧ в полученных гидрозолях несколько превышал заявленный поставщиком, что может быть обусловлено как их некоторой гигроскопичностью, так и спецификой метода ДРС.
Приготовление ледовых образцов. Для получения образцов чистого льда и ЛК дистиллированную воду, а также мерные порции приготовленных гидрозолей объемом 2.0 см3 заливали в изолированные друг от друга ячейки фторопластовой кюветы с дном толщиной ~ 1 мм. Ячейки кюветы имели размер 10 × 10 × 20 мм3. Расстояние между ячейками составляло 20 мм в обоих направлениях, что предотвращало обмен тепловой энергией между ними и тепловые потоки в латеральном направлении. Количество таких ячеек в кювете было 48 штук. Кювету размещали внутри морозильной камеры на массивной металлической пластине. После заливки образцов кювету теплоизолировали сверху и с боков от атмосферы морозильной камеры толстостенным пенопластовым коробом. Такое техническое решение позволило обеспечить тепловому потоку преимущественное направление сверху вниз в процессе кристаллизации образцов чистого льда и ЛК. Образцы замораживали в течение 48 ч при –15°C. Относительно малые размеры образцов (10 × 10 × 20 мм3), полученных одновременно в совершенно одинаковых условиях подготовки прекурсоров и заморозки, позволили резко снизить рассеяние результатов и увеличить объем статистических выборок. Всего было синтезировано 480 образцов.
Отметим, что поперечный размер (10 мм) изготавливаемых образцов превышал средний размер зерен в них на 1–2 порядка величины, что позволяло не учитывать влияние внутренних размерных эффектов на результаты механических испытаний образцов.
Микроструктурный анализ образцов чистого льда и ЛК, а также определение размеров зерен, проводили в холодильной камере при температуре окружающего воздуха –15°C с помощью металлографического микроскопа Axio Observer.A1m (Carl Zeiss, Германия), снабженного цифровой камерой и программой анализа изображений. Границы зерен визуализировались благодаря сегрегации примесей на них [30] и тепловому травлению.
Механические испытания. Механические характеристики льда и ЛК исследовали методом нестесненного одноосного сжатия с постоянной скоростью деформирования на сервогидравлической испытательной машине MTS870 Landmark (MTS, США), снабженной климатической камерой, внутри которой во время испытаний поддерживали температуру –15°C путем продувки ее парами жидкого азота. Образцы сжимали вдоль грани длиной 20 мм с постоянной скоростью относительной деформации ė = 4 × 10–3 с–1. В общей сложности механическим испытаниям было подвергнуто 438 образцов.
Результаты
На рис. 1 представлены типичные диаграммы нагружения одноосным сжатием нестесненных с боковых сторон образцов льда и ЛК, содержащих различное количество добавок ПВС и диоксида кремния. Диаграммы нагружения показаны в традиционных координатах – инженерные напряжения σ–относительная деформация ε, т. е. без учета изменения размеров и формы образцов при больших деформациях. При ε < 10% инженерные и истинные напряжения и деформации различаются менее чем на 1%. Из рис. 1 видно, что по характеру кривой деформации все диаграммы можно разделить на три группы (обозначены римскими цифрами I, II, III).
Рис. 1. Типичные s–e-диаграммы нагружения одноосным сжатием для ЛК с ПВС (1–5, 8), ЛК ПВС + 0.3% SiO2 (6, 10, 11, 13) и ЛК ПВС + 3% SiO2 (7, 9, 12, 15) с концентрациями ПВС от 0 до 7 мас. %; 1–5, 8, 14 – концентрации ПВС 0, 0.003, 0.01, 0.03, 0.1, 0.3, 5 мас. % соответственно, 6, 10, 11, 13 – 0, 0.5, 3, 5 мас. % соответственно, 7, 9, 12, 15 – 0, 0.3, 3, 7 мас. % соответственно, sp – пиковое напряжение.
Во всех типах образцов первоначальный рост нагрузки вызывает линейный рост деформации. Чистый лед и ЛК с малым содержанием ПВС (примерно до 0.3 мас. %) демонстрируют такую зависимость σ–ε в процессе всего нагружения и квазихрупкое разрушение в конце процесса (серия кривых I). В материалах этой группы напряжения после достижения пикового значения σp резко падают скачком до нуля и образец разрушается на несколько крупных фрагментов (врезка на рис. 1 над первой серией кривых). При этом в ЛК с содержанием ПВС ω < 0.01 мас. % на диаграмме нагружения неупругая деформация не выявляется. При чувствительности канала регистрации деформации в MTS870 Landmark около 2 мкм, определяемой измеренным в нем уровнем шумов, и длине образца в направлении сжатия 20 мм предел обнаружения неупругой деформации находится на уровне e ≈ 10–2%. Следовательно, если неупругая деформация и есть в этих материалах перед разрушением, то она ниже указанной величины чувствительности испытательной машины. В ЛК с концентрацией ПВС ω > 0.01 мас. % и наличием НЧ перед достижением σp возникает неупругая деформация, регистрируемая машиной.
Начиная с бо́льших концентраций примесей (>0.3%) меняется поведение материала – образец не разрушается скачкообразно после достижения σp, а продолжает неупруго деформироваться с плавным понижением напряжения (кривые нагружения группы II). В результате этого образуется псевдо-“зуб текучести” и накапливается суммарная деформация перед разрушением до 10%. Зачастую в образце появляются небольшие трещины, но он не теряет своей целостности.
В ЛК с содержанием ПВС более 1–3 мас. % (в зависимости от содержания SiO2) реализуется вязко-пластическое течение. Деформация перед достижением σp обычно составляет >10%. После достижения σp напряжения почти не меняются с ростом деформации и образец приобретает бочкообразную форму (врезка под серией кривых III), уменьшаясь по высоте на многие десятки процентов без видимых следов разрушения. Фактически такие ЛК деформируются как очень мягкие металлы и деформационно не упрочняемые сплавы, и из них можно получать давлением объекты любой формы.
Такое различие в виде диаграмм нагружения дает основание полагать, что и концентрационные зависимости пикового напряжения σp, и неупругой деформации Δεp до его достижения будут иметь различный характер. Рисунок 2 иллюстрирует зависимость σp от ω и содержания НЧ диоксида кремния в ЛК.
Рис. 2. Зависимости пиковых напряжений σp выдерживаемых ЛК при одноосном сжатии от концентрации ПВС ω: 1 – ЛК с ПВС, 2 – ЛК ПВС + 0.3% SiO2, 3 – ЛК ПВС + 3% SiO2, 4 – чистый лед. На врезках представлены зеренная структура чистого льда и ЛК с 3 мас. % SiO2.
Большой массив накопленных экспериментальных данных позволил выявить некоторый спад σp в диапазоне концентрации ПВС от 0.3 до 3 мас. %, границы которого несколько зависят от содержания SiO2, но в целом совпадают с переходной областью смены деформационных мод. В результате все три зависимости σp(ω) имеют характерный N-образный вид. Если ниспадающая ветвь в области этой зависимости представляется совершенно традиционной – с ростом пластичности прочность материала (σp) начинает уменьшаться, то первая и третья ветвь этой зависимости кажутся весьма необычными. Рост прочности сопровождался одновременно и ростом накапливаемой пластической деформации, а следовательно, и энергоемкости разрушения. Это очень полезное свойство ЛК, упрочненных ПВС и SiO2, в дальнейшем было изучено более подробно.
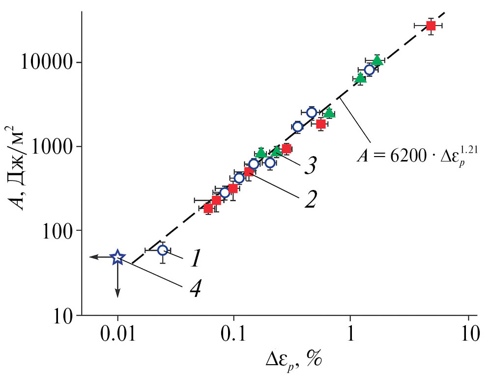
Рисунок 3 демонстрирует ход концентрационных зависимостей неупругой деформации Δεp и удельной работы А (за вычетом части работы, затраченной на упругое сжатие) до достижения σp.
Рис. 3. Зависимости неупругой деформации Dep (а) и удельной работы A (б) от массовой доли добавки ПВС ω: 1 – ЛК с ПВС, 2 – ЛК ПВС + 0.3% SiO2, 3 – ЛК ПВС + 3% SiO2, 4 – чистый лед, 5 – чистый лед по данным [34]. Одинарная штриховка – пределы обнаружения Δεp ~ 0.01% и А ~ 50 Дж/м2, двойная штриховка – теоретический предел удельной энергии абсолютно хрупкого разрушения вблизи А ~ 1 Дж/м2, стрелки – возможные реальные значения Δεp и А.
Добавление НЧ в раствор ПВС приводило к дополнительному упрочнению ЛК и росту А тем большим, чем меньше содержание ПВС в нем.
При Δεp ≥ 0.03% в двойных логарифмических координатах наблюдалась линейная зависимость между А и Δεp (рис. 4) с коэффициентом наклона 6.2 ± 1.1 (кДж/м2)/% и показателем степени n = 1.21 ± 0.05. Показатель степени n > 1 означает, что рост работы происходил не только за счет увеличения пластичности, но и одновременного упрочнения.
Рис. 4. Зависимость удельной работы A от неупругой деформации Dep до достижения sp для ЛК с ПВС: 1 – ЛК с ПВС, 2 – ЛК ПВС + 0.3% SiO2, 3 – ЛК ПВС +3% SiO2, 4 – чистый лед, стрелки – возможные реальные значения Δεp и А.
Зависимости неупругой деформации Δεp и удельной работы А до достижения σp от этого пикового напряжения σp представлены на рис. 5. Из них следует, что в области I и III все исследованные ЛК демонстрируют аномальное поведение. И лишь в области II, в которой происходит переход от хрупкой к вязко-пластической моде, наблюдалось поведение, близкое к традиционному. Положение этой области на шкале σ несколько различается для ЛК с разным содержанием SiO2. Однако общий характер зависимостей – чем выше пластичность, тем ниже прочность – сохраняется. Это говорит об универсальности выявленных закономерностей и возможности целенаправленной смены хрупкой моды разрушения на вязко-пластичное течение. При дальнейшем росте концентрации примесей в ЛК наблюдалось существенное увеличение как σp, так и А.
Рис. 5. Зависимости неупругой деформации Dep (а) и удельной работы A (б) от sp для ЛК с ПВС: 1 – ЛК с ПВС, 2 – ЛК ПВС + 0.3% SiO2, 3 – ЛК ПВС + 3% SiO2, 4 – чистый лед. Одинарная штриховка – пределы обнаружения Δεp ~ 0.01% и А ~ 50 Дж/м2, двойная штриховка – теоретический предел удельной энергии абсолютно хрупкого разрушения вблизи А ~ 1 Дж/м2, стрелки – возможные реальные значения Δεp и А.
Обсуждение результатов
Наряду с пределами текучести и прочности важнейшей характеристикой конструкционного материала является энергоемкость разрушения, определяющая его трещиностойкость. Это свойство можно описать разными способами и величинами. Наиболее популярными из них являются неупругая деформация до разрушения Dep, вязкость разрушения K1с и удельная работа разрушения А. Они связаны между собой простыми соотношениями или фундаментальными материальными константами. Так, для абсолютно хрупкого разрушения величина А равна энергии когезии или удвоенной свободной поверхностной энергии [8], что обычно составляет от нескольких десятых долей до единиц Дж/м2. В чистом льде эта теоретически минимально возможная работа разрушения для разных кристаллографических граней лежит в диапазоне от 0.2 до 0.3 Дж/м2 [31].
Для значений А, далеких от минимально возможных теоретических, весьма популярно измерение критического коэффициента интенсивности напряжений (вязкости разрушения) K1с [25, 32, 33]. Он связан с величиной А простым соотношением: KIc2 = АE/(1 – γ2), где Е – динамический модуль упругости, γ – коэффициент Пуассона [8]. К примеру, при близкой для чистого льда величине А = 1 Дж/м2, Е = 10 ГПа и γ = 0.35 получим KIс = 88 кПа∙м1/2. Экспериментальные данные имеют тот же порядок величины [25]. Такой метод используют и для вычисления работы разрушения других хрупких материалов, в том числе ледовых. Так, в [34] для чистого льда в схеме трехточечного изгиба с предварительно введенной трещиной приводятся значения А от 3 до 9 Дж/м2 для разных условий испытания.
Для того чтобы существенно повысить энергоемкость разрушения, необходимо стимулировать хрупко-вязкий переход. Его можно осуществить различными способами.
Например, известно, что он чувствителен к ė льда и ЛК [34, 35]. В свою очередь, внесение в лед примесей оказывает влияние на величину ė, при достижении которой в нем наблюдается переход от вязкого к хрупкому разрушению [25]. В проведенной работе инициировали переход от хрупкого к вязкому разрушению ЛК при фиксированной величине ė путем использования бинарного модификатора, варьируя концентрации его компонентов – НЧ и полимера.
Присутствие гидрофильных НЧ обеспечивает наличие большой концентрации центров для гетерогенной кристаллизации [24, 26]. ПВС является эффективным ингибитором для последующей рекристаллизации [36], стабилизируя, таким образом, мелкокристаллическую структуру ледового композита, а в больших концентрациях – изменяя свойства границ зерен.
Использованное в работе оборудование и алгоритмы обработки данных позволяли измерять удельную работу разрушения A с чувствительностью ~50 Дж/м2. Чистый лед характеризуется существенно меньшей величиной A, что имеет как теоретические [31], так и экспериментальные [34] доказательства. Таким образом, есть все основания полагать, что в проведенных экспериментах величина А в чистом льде и ЛК с малой концентрацией ПВС (ω < 0.01 мас. %) была значительно ниже 50 Дж/м2, но выше теоретически минимальных значений. Это обстоятельство отражено стрелками на рис. 3б.
Из представленных в данной работе результатов следует, что введение в суспензию ~1 мас. % НЧ само по себе увеличивает максимальные выдерживаемые льдом напряжения примерно вдвое, увеличивая при этом работу разрушения от значений ниже порога обнаружения до уровня, превышающего его более чем на порядок величины. Добавление к суспензии наночастиц ~5 мас. % ПВС позволяет увеличить максимальные напряжения примерно втрое, а работу разрушения – более чем на 2 порядка величины по сравнению с порогом обнаружения. При таких концентрациях ПВС влияние НЧ сильно ослабляется, однако остается значимым, особенно для пластических характеристик. Присутствие ПВС также существенно увеличивает предельную деформацию образца после достижения пиковой нагрузки, что дополнительно увеличивает полную работу деструкции.
Заключение
Предложен новый подход к улучшению механических свойств льда путем одновременного действия на его микроструктуру введенных в него макромолекул полимера и наночастиц на примере ПВС и ультрадисперсных частиц SiO2. Установлено, что по отдельности наночастицы SiO2 и ПВС повышают прочность чистого льда – с 13.4 ± 2.4 до 23.7 ± 2.1 и до 33.5 ± 2.0 МПа соответственно при увеличении массовой доли НЧ до 3 мас. % и ПВС до 7 мас. %.
Эффект совместного влияния наночастиц SiO2 и ПВС на прочность ЛК зависит от содержания введенных добавок и наиболее ярко проявляется при концентрациях ПВС ≤ 0.3 мас. % и наночастиц SiO2 ≤ 3 мас. %. Обнаружено, что при содержании ПВС менее 0.3 мас. % ледовые композиты демонстрируют хрупкое разрушение, которое сменяется пластической деформацией при концентрациях полимера в диапазоне 0.3–3 мас. %. В ледовых композитах с содержанием ПВС более 3 мас. % имеет место пластическое течение, при этом с ростом концентрации ПВС наблюдается резкое (на несколько порядков) увеличение значений неупругой деформации и удельной работы разрушения.
Работа выполнена при поддержке Российского научного фонда (грант № 22-19-00577). Результаты получены с использованием оснащения Центра коллективного пользования научным оборудованием ТГУ им. Г.Р. Державина.
About the authors
Yu. I. Golovin
G. R. Derzhavin Tambov State University; Lomonosov Moscow State University
Author for correspondence.
Email: yugolovin@yandex.ru
Russian Federation, Tambov; Moscow
V. М. Vasyukov
G. R. Derzhavin Tambov State University
Email: yugolovin@yandex.ru
Russian Federation, Tambov
V. V. Rodaev
G. R. Derzhavin Tambov State University
Email: yugolovin@yandex.ru
Russian Federation, Tambov
A. А. Samodurov
G. R. Derzhavin Tambov State University
Email: yugolovin@yandex.ru
Russian Federation, Tambov
D. Yu. Golovin
G. R. Derzhavin Tambov State University
Email: yugolovin@yandex.ru
Russian Federation, Tambov
A. I. Tyurin
G. R. Derzhavin Tambov State University
Email: tyurinalexander@yandex.ru
Russian Federation, Tambov
S. S. Razlivalova
G. R. Derzhavin Tambov State University
Email: yugolovin@yandex.ru
Russian Federation, Tambov
V. M. Buznik
G. R. Derzhavin Tambov State University; Lomonosov Moscow State University
Email: yugolovin@yandex.ru
Russian Federation, Tambov; Moscow
References
- Бузник В.М., Каблов Е.Н. // Вестник РАН. 2017. Т. 87. № 9. С. 831.
- Бузник В.М., Бурковская Н.П., Зибарева И.В. и др. Арктическое материаловедение: состояние и развитие. М.: РГУ нефти и газа им. И.М. Губкина, 2021. 414 c.
- Grande M., Linli G., Blanc M. // Planetary Exploration Horizon 2061. 2023. P. 249. https://doi.org/10.1016/B978-0-323-90226-7.00002-7
- Reynard B., Sotin C. // Earth Planet. Sci. Lett. 2023. V. 612. P. 118172. https://doi.org/10.1016/j.epsl.2023.118172
- Hemingway D., Iess L., Tajeddine R., Tobie G. // Enceladus and the Icy Moons of Saturn / Eds. Schenk P.M. et al. Tucson: University of Arizona Press, 2018. P. 57. https://doi.org/10.2458/azu_uapress_9780816537075-ch004
- Krishna Swamy K.S. Physics of comets. World Scientific Publishing Company. 1997. 396 p.
- Физика и механика льда (перевод с англ.) / Ред. Трюде П.М.: Мир, 1983. 384 с.
- Schulson E.M., Duval P. Creep and Fracture of Ice. Cambridge University Press, 2009. 401 p.
- Timco G.V., Weeks W.F. // Cold Reg. Sci. Technol. 2010. V. 60. P. 107. https://doi.org/10.1016/j.coldregions.2009.10.003
- Arenson L.U., Colgan W., Marshall H.P. // Snow and Ice-Related Hazards, Risks, and Disasters. Elsevier Inc., 2015. P. 35. https://doi.org/10.1016/B978-0-12-394849-6.00002-0
- Архаров И.А., Гончарова Г.Ю. // Холодильная техника. 2010. № 11. С. 46.
- Гончарова Г.Ю., Разомасов Н.Д., Борщев Г.В., Бузник В.М. // Химическая технология. 2020. Т. 21. № 12. С. 548. https://doi.org/10.31044/1684-5811-2020-21-12-548-560
- Xie J., Yan M.-L., Yan J.-B. // Cold Reg. Sci. Technol. 2022. V. 206. № 4. P. 103751. https://doi.org/10.1016/j.coldregions.2022.103751
- Yan M.-L., Jian X., Yan J.-B. // J. Build. Eng. 2023. V. 65. P. 105751. https://doi.org/10.1016/j.jobe.2022.105757
- Vasiliev N.K. // Cold Reg. Sci. Technol. 1993. V. 21. P. 195. https://doi.org/10.1016/0165-232X(93)90007-U
- Syromyatnikova A.S., Bol’shakov A.M., Alekseeva A.V. // Environ. Earth Sci. 2020. V. 459. P. 062119. https://doi.org/10.1088/1755-1315/459/6/062119
- Lou X., Wu Y. // Cold Reg. Sci. Technol. 2021. V. 192. P. 103381. https://doi.org/10.1016/j.coldregions.2021.103381
- Buznik V.M., Goncharova G.Y., Grinevich D.V. et al. // Cold Reg. Sci. Technol. 2022. V. 196. P. 103490. https://doi.org/10.1016/j.coldregions.2022.103490
- Vasiliev N.K., Pronk A.D.C., Shatalina I.N. et al. // Cold Reg. Sci. Technol. 2015. V. 115. P. 56. https://doi.org/10.1016/j.coldregions.2015.03.006
- Li J.H., Wei Z., Wu C. // Mater. Des. 2015. V. 67. P. 464. https://doi.org/10.1016/j.matdes.2014.10.040
- Pronk A., Mistur M., Li Q. et al. // Structures. 2019. V. 18. P. 117. https://doi.org/10.1016/j.istruc.2019.01.020
- Wu Y., Liu X., Chen B. et al. // Autom. Constr. 2019. V. 106. № 12. P. 102862. https://doi.org/10.1016/j.autcon.2019.102862
- Бузник В.М., Головин Ю.И., Самодуров А.А. и др. // Материаловедение. 2023. № 6. C. 10. https://doi.org/10.31044/1684-579X-2023-0-6-10-15
- Головин Ю.И., Самодуров А.А., Родаев В.В. и др. // Письма в ЖТФ. 2023. T. 49. № 11. C. 15. https://doi.org/10.21883/PJTF.2023.11.55532.19542
- Yasui M., Schulson E.M., Renshaw C.E. // J. Geophys. Res. Solid Earth. 2017. V. 122. № 8. P. 6014. https://doi.org/10.1002/2017JB014029
- Головин Ю.И., Самодуров А.А., Родаев В.В. и др. // ЖТФ. 2023. Т. 93. № 10. С. 1459. https://doi.org/10.21883/JTF.2023.10.56284.149-23
- Gao W., Smith D.W., Sego D.C. // Cold Reg. Sci Technol. 1999. V. 29. № 2. P. 121. https://doi.org/10.1016/S0165-232X(99)00019-1
- John M., Suominen M., Sormunen Otto-V. et al. // Water Res. 2018. V. 145. P. 418. https://doi.org/10.1016/j.watres.2018.08.063
- Deng Y., Zongkun L., Zhijun L., Wang J. // Cold Reg. Sci. Technol. 2019. V. 168. P. 102896. https://doi.org/10.1016/j.coldregions.2019.102896
- Stoll N., Eichler J., Hörhold et al. // Front. Earth Sci. 2021. V. 8. P. 1. https://doi.org/10.3389/feart.2020.615613
- Голубев В.Н. // Вестн. МГУ. Сер. 5: География. 2013. № 3. С. 19.
- Dempsey J. // Ice-Structure Interaction / Eds. Jones S.J. et al. Springer-Verlag, 1991. P. 109. https://doi.org/10.1007/978-3-642-84100-2
- Xu X., Jeronimidis G., Atkins A.G. et al. // J. Mater. Sci. 2004. V. 39. P. 225. https://doi.org/10.1023/B:JMSC.0000007748.36956.a9
- Gharamti I.E., Dempsey J.P., Polojärvi A., Tuhkuri J. // Materialia. 2021. V. 20. Р. 101188. https://doi.org/10.1016/j.mtla.2021.101188
- Baker I. // Philos. Trans. Royal. Soc. A. 2019. V. 377. Р. 20180162. https://doi.org/10.1098/rsta.2018.0162
- Bachtiger F., Congdon T.R., Stubbs C. et al. // Nature Commun. 2021. V. 12. P. 1323. https://doi.org/10.1038/s41467-021-21717-z
Supplementary files







