Особенности кристаллической структуры гидроксилапатита кальция в нативной костной ткани
- Authors: Павлычев А.А.1, Брыкалова К.О.1, Корнеев А.В.1, Черный А.А.2, Корнилов Н.Н.2
-
Affiliations:
- Санкт-Петербургский государственный университет
- Национальный медицинский исследовательский центр травматологии и ортопедии им. Р.Р. Вредена
- Issue: Vol 69, No 1 (2024)
- Pages: 50-56
- Section: КРИСТАЛЛОГРАФИЯ В БИОЛОГИИ И МЕДИЦИНЕ
- URL: https://journals.rcsi.science/0023-4761/article/view/255422
- DOI: https://doi.org/10.31857/S0023476124010078
- EDN: https://elibrary.ru/szsmvb
- ID: 255422
Cite item
Full Text
Abstract
Рассмотрено влияния физиологических и патогенных факторов на кристаллическую структуру гидроксилапатита кальция Ca10(PO4)6(OH)2 в минерализованных костных тканях. На основе исследований методом рентгеновской дифракции проведен анализ постоянных элементарной ячейки биоапатита, ее деформации и размеров кристаллитов в различных группах костных тканей. Выявлены основные механизмы пространственно-временных изменений костных наноструктур. Показано, что наряду с нарушениями стехиометрии важную роль играют размеры кристаллитов, число атомов в области когерентного рассеяния которых отличается более чем на два порядка, и электростатические взаимодействия между несбалансированными зарядами нанокристаллитов и гидратных нанослоев минерального матрикса.
Full Text
ВВЕДЕНИЕ
Костная ткань является наиболее сложной материей в природе, механические и физико-химические свойства которой формируются в результате взаимодействия двух иерархически организованных подсистем: белковой и минеральной. Органические молекулы в насыщенном водном растворе создают необходимую биохимическую среду, которая инициирует в организме позвоночных биологически требуемые изменения атомно-молекулярной архитектуры минерализованной кости. Особенности влияния этой среды на морфологию, рост, степень кристалличности, размеры и форму кристаллитов, а также механизмы, отвечающие за адаптацию костной ткани к механическим нагрузкам и другим внешним факторам, остаются малоизученными.
Основным минералом в тканевых структурах живых организмов при их минерализации в физиологических условиях является гидроксилапатит кальция (Ca10(PO4)6(OH)2, CaOHап) [1–4]. Его специфика во многом обусловлена гибкостью атомной структуры, позволяющей минералу легко адаптироваться к внешним условиям за счет изменения стехиометрии, тесно связанной с его физико-химическими характеристиками, такими как растворимость, упругость, хрупкость, тепловая стабильность [3–5]. Согласно морфологической модели [1] костной ткани, копланарные и мозаичные конгломераты нанокристаллитов CaOHап, расположенные внутри и вне коллагеновых фибрилл, воспроизводят их спиральную форму. Усредненный кристаллит представляет собой параллелепипед размером 20 × 7.5 × 3.5 нм3, содержащий ~40000 атомов [6], размеры и соотношения сторон которого меняются в широких пределах. В конгломератах кристаллиты отделены друг от друга гидратными нанослоями насыщенного водного раствора, состоящего преимущественно из ионов Ca2+, PO43–, OH–, заключенных внутрь сольватных оболочек [6].
К настоящему времени известно, что параметры кристаллической структуры CaOHап меняются в широких пределах. Постоянная а элементарной ячейки CaOHап возрастает от 9.388 Å в кортикальной кости взрослых крыс [7] до 9.464 Å в синтезированном кристалле CaOHап [8], а постоянная с от 6.849 Å в кортикальной кости новорожденных крыс [7] и в почечных камнях [8, 9] до 6.901 Å в поврежденной остеоартритом (ОА) бедренной кости человека [10]. Размах изменений между наблюдаемыми наибольшими и наименьшими значениями постоянных а и c составляет 0.076 и 0.052 Å и приводит как к объемному сжатию, так и расширению ячейки соответственно до 1.14 и 1.23% по сравнению с ячейкой в стехиометрическом кристалле. Особенностью биогенного минерала CaOHап (или биоапатита) является важная роль замещений ионов PO43– на CO32– [8, 11, 12], которые влияют на его растворимость [4] и, как следствие, на размеры кристаллитов. Присутствие карбонат-иона увеличивает параметр с и понижает а [8, 11, 12]. Замещения гидроксильной группы влияют на величину а, а замещения Ca2+ изменяют размеры кристаллической ячейки в соответствии с отношением их ионных радиусов.
Помимо изменений элементного состава существуют другие причины, вызывающие искажения кристаллической решетки в кости. Более 100 лет назад Юлиус Вольф высказал предположение [13], что костные структуры определяются действием сил, которые возникают в организме позвоночных при выполнении локомоторных функций. Эта гипотеза успешно работает на макро- и микроуровнях, однако ее применимость к костным наноструктурам остается малоизученной.
Недавно была обнаружена зависимость интенсивности фотоэмиссионного тока из кортикальной кости вблизи Ca2+ L2,3-краев непрерывного поглощения линейно поляризованного излучения от ориентации вектора электрического поля E относительно ее главной оси [14]. Несмотря на явное сходство этого эффекта с явлением дихроизма в кристаллооптике [15], например в кристаллах CaCO3 [16, 17], составляющих основу экзоскелета беспозвоночных, оба эффекта имеют существенные различия. Так, дихроизм фотопоглощения в кости напрямую не связан с ориентацией кристаллографических осей относительно вектора E, а связан с направлением действия результирующей силы тяжести в скелете относительно E. Таким образом, это явление отражает эмергентные свойства кости и обусловлено ее иерархической организацией. Эти свойства могут быть обусловлены не только особенностями ориентации химических связей в костной ткани [14], но и с деформацией ее кристаллической структуры под действием силы тяжести. Так, в кости, испытывающей сжатие, преобладает поперечная ориентация коллагеновых фибрилл и, наоборот, продольная при ее преимущественном растяжении [1, 18–21].
Вопрос о применимости парадигмы Вольфа к костным наноструктурам объясняет интерес к изучению воздействия механических нагрузок на кристаллическую структуру нативной кости, в частности к анализу ее изменений в случае ОА-повреждений. В [10, 22, 23] было показано, что степень кристалличности, размеры кристаллитов и параметры кристаллической ячейки CaOHап демонстрируют систематические пространственно-временные искажения по мере развития ОА. Если принять во внимание, что ОА – возрастное заболевание, распространенность которого увеличивается с возрастом [24, 25], взаимосвязь ОА и возрастных изменений организма на наноуровне вызывает особый интерес.
В данной работе проведено исследование изменения структурных характеристик минерального матрикса костной ткани в зависимости от ОА и возрастных факторов. Для проведения такого исследования опирались на данные рентгенодифракционных измерений двух специально подобранных групп костных образцов, нацеленных на раздельное изучение ОА и возрастных изменений. Для их анализа привлекли, во-первых, модель трехмерной сверхрешетки из “черных ящиков в темной воде” (3DSL) [6], связывающую энергетическую структуру валентных состояний кости с ее иерархической организацией, и, во-вторых, концепцию пространственно-временных изменений костных наноструктур [7].
МАТЕРИАЛЫ И МЕТОДЫ
Для анализа влияния биогенных и патогенных факторов на кристаллическую структуру кости изучили две группы образцов. Первая группа (I): спилы мыщелков бедренной и большеберцовой кости при артропластике поврежденного ОА коленного сустава человека. Эти образцы использовали для исследования влияния распределения механических нагрузок на костные наноструктуры. Для иллюстрации выбора образцов на рис. 1 приведена рентгенограмма поврежденного ОА коленного сустава. Зона 1 – интактная область: неповрежденная костная ткань, зоны 2 и 3 – область склерозированной кости, где механические нагрузки максимальны, а хрящевая ткань полностью утрачена, и пограничный с ней участок, где минерализованная кость контактирует с поврежденной хрящевой тканью соответственно. На рисунке также отмечена дистальная сторона спилов, которой соответствует пористая кость. Измерения проведены для 10 образцов, что позволяет провести статистический анализ параметров кристаллической структуры для каждой зоны.
Рис. 1. Рентгенограмма поврежденного ОА коленного сустава: 1 – интактная область, 2 – область склерозированной кости, 3 – промежуточная область, 4 – дистальная сторона спила (пунктир).
Для проведения дифракционных исследований образцы из группы I очищали от хрящевой ткани с помощью щадящей механической обработки скальпелем до субхондральной костной пластинки. С целью обезжиривания и вымывания миелоидного содержимого из трабекул губчатого слоя в течение 4 сут образцы замачивались в ванночке с водным 33%-ным раствором пероксида водорода (H2O2), смешанного в пропорции 1 к 1 с горячей водой (60°C) и добавлением 5 мл 10%-ного водного раствора гидроксида аммония. Ежедневно проводили замену данного раствора. Далее в течение суток костные образцы замачивались в дистиллированной воде, с ее заменой каждые 6–9 ч с целью завершения процесса химической очистки спилов.
Для анализа возрастных изменений изучена вторая группа образцов (II): кортикальный слой средней трети бедренных, большеберцовых и плечевых костей шести (для каждого возраста) белых здоровых беспородных новорожденных крыс весом 50–80 г, взрослых (120–150 г) и зрелых крыс (250–280 г). Для проведения измерений кортикальный слой был тщательно очищен от мягких тканей, промыт в физиологическом растворе, высушен фильтровальной бумагой, после чего растерт в фарфоровой ступке до частиц диаметром ~1 мкм.
Все костные образцы были получены в НМИЦ травматологии и ортопедии им. Р.Р. Вредена. Измерения проводили в РЦ “Рентгендифракционные методы исследования” СПбГУ на рентгеновском дифрактометре D8 Discover (Bruker) с медным анодом и 4-кратным германиевым монохроматором в диапазоне 2θ = 5°–100°. Расчет степени кристалличности, параметров элементарной ячейки и размеров областей когерентного рассеяния CaOHап в костных образцах был проведен методом Ритвельда в программе TOPAS 5.
СРАВНИТЕЛЬНЫЙ АНАЛИЗ ИЗМЕНЕНИЙ КРИСТАЛЛИЧЕСКОЙ СТРУКТУРЫ
В ходе проведенных исследований установлено, что во всех образцах минерализованная фаза образована гексагональным CaOHап. Степень кристалличности, периодичность сверхрешетки, размеры кристаллитов, нарушения их стехиометрии, искажения постоянных кристаллической ячейки, степень кристалличности, размеры кристаллитов демонстрируют систематические, согласованные пространственно-временные изменения [7].
Точками на рис. 2 отмечены значения постоянных а и с элементарной ячейки CaOHап, полученные для образцов групп I и II. Для сравнения на рисунке отмечена область С (затемненная зона), внутри которой заключено множество значений а и с гексагональных кристаллов CaOHап, синтезированных различными методами в работе [8]. Крест указывает положение аst = 9.418 и сst = 6.884 Å [26] в стехиометрическом кристалле CaOHап.
Рис. 2. Постоянные а и с элементарной ячейки CaOHап. C – область значений а и с синтезированных кристаллов, аst и сst в стехиометрическом кристалле CaOHап отмечены крестом. Надписи I.1–I.4 соответствуют номерам зон на рис. 1 II.1–II.3 – средние значения а и с для молодых, взрослых и зрелых костей соответственно.
Из рис. 2 видно различие положений средних значений а и с в группах I и II, а также зависимость этих положений от пространственного распределения механических нагрузок и от возраста. Обратим внимание, что с > сst в I и с < сst в II; практически для всех образцов a < ast; постоянные а и с в группе I расположены внутри области C, а в группе II – вне этой области. Расположение а и с внутри C позволяет при анализе кристаллической структуры этих образцов использовать выводы, полученные для синтезированных кристаллов.
Принимая во внимание, что изменения ∆сi, j при переходе от i-й зоны к j-й превосходят соответствующие среднеквадратичные отклонения sc [10], можно говорить о систематических пространственных изменениях постоянной с и связать их с пространственными изменениями концентрации (w) ионов [CO3]2–, замещающих [PO4]3–. На основе линейной зависимости постоянной с от w, установленной в [8], определена концентрация [CO3]2– в различных зонах бедренной кости, поврежденной ОА.
Минимальная концентрация ионов [CO3]2– (карбонизация) обнаружена на дистальной стороне спилов в зоне I.4, а максимальная карбонизация в зоне I.3 (рис. 1), т. е. на проксимальной стороне, на границе раздела поврежденной хрящевой ткани с минералом. Внутри зоны склерозированной кости (I.2), где механические нагрузки максимальны, концентрация [CO3]2–, как и в интактной зоне (I.1), оказывается заметно меньшей. Выявленная связь изменений с с w для костных образцов согласуется с данными фотоэлектронной спектроскопии [10]. Действительно, анализ формы Ca2+ 2p3/2,1/2–1 фотоэлектронной линии в [22] показал заметное усложнение композиции этой линии в зонах I.2 и I.3 из-за появления новых неапатитных состояний Ca2+, вклад которых достигает максимума в зоне I.3. Для сравнения укажем, что вклад апатитных состояний Са2+ I.1 и I.4 составляет ~100%.
В отличие от с постоянная а при переходе от одной зоны к другой мало изменяется, что приводит к одноосной деформации кристаллической ячейки. В табл. 1 приведены значения а и с, величины объемного v и одноосного δ сжатий ячейки, степени кристалличности D и линейные размеры L кристаллитов в разных зонах группы I. Отрицательные величины v соответствуют объемному сжатию кристаллической ячейки, а отрицательные δ – ее сжатию (сплющиванию) вдоль оси с по сравнению с ячейкой в стехиометрическом кристалле.
Таблица 1. Структурные характеристики минерализованной костной ткани в разных зонах для образцов группы I
CaOHап* | I.1 | I.3 | I.2 | I.4 | |
a, нм | 0.9418 | 0.9419 | 0.9416 | 0.9421 | 0.9403 |
c, нм | 0.6884 | 0.6892 | 0.6901 | 0.6894 | 0.6888 |
v,%** | 0 | 0.14 | 0.20 | 0.21 | –0.15 |
δ,%*** | 0 | 0.11 | 0.27 | 0.11 | 0.22 |
D,% | 100 | 65 | 42 | 85 | 90 |
L, нм | 15 | 16 | 11 | 20 | |
N | 1.4⋅105 | 1.7⋅105 | 5.5⋅104 | 3.3⋅105 |
* Стехиометрический CaOHап (JCPDS № 09-0432).
** .
*** .
Анализ значений а и с для группы II свидетельствует о систематическом характере их изменений при переходе II.1 → II.2 → II.3. Тенденция этих изменений позволяет предположить их связь с влиянием кальциевых вакансий [7]. Однако в отличие от группы I получение количественной информации об их концентрации сопряжено с трудностями, поскольку измеренные значения положений а и с лежат вне области С. Структурные характеристики костных образцов из группы II собраны в табл. 2.
Таблица 2. Структурные характеристики минерализованной костной ткани разного возраста для образцов группы II
CaOHап* | II.1 | II.2 | II.3 | |
a, нм | 0.9418 | 0.9413 | 0.9388 | 0.9396 |
c, нм | 0.6884 | 0.6849 | 0.6872 | 0.6875 |
v,%** | 0 | –0.61 | –0.81 | –0.64 |
δ,%*** | 0 | –0.46 | 0.14 | 0.10 |
D,% | 100 | 84 | 97 | 96 |
L, нм | 3.5 | 4.6 | 4.5 | |
N | 1.8⋅103 | 4.0 ⋅103 | 3.8⋅103 |
*Стехиометрический CaOHап (JCPDS № 09-0432).
**.
*** .
Вопрос – почему а, с∉С в образцах группы II, тогда как а, с ∈ С в I? – открыт. Поиск ответа на него является крайне важной задачей. Можно высказать предположение, что помимо нарушений стехиометрии существуют иные механизмы влияния на кристаллическую ячейку CaOHап в костной ткани, которые играют более важную роль в II.
Сравнивая данные в табл. 1 и 2, видим, что линейные размеры L кристаллитов (областей когерентного рассеяния) в II многократно меньше, чем в I. Оценивая число атомов N в кристаллитах, находим, что эти значения различаются более чем на 2 порядка. В II.1 (молодая кость) N < 2⋅103 и N > 300⋅103 в I.4 (дистальная сторона спилов) (табл. 1, 2). Столь значимые различия влияют на электронную и атомную структуру кристаллитов и изменяют работу механизмов, отвечающих за ее прочностные и структурно-функциональные свойства на наноуровне [27]. Обратим также внимание, что значения постоянных а и с наиболее сильно отстоят от области С для образцов II.1, в которых число N является минимальным.
Согласно 3DSL-модели энергия валентных состояний в минеральном матриксе понижена по сравнению с энергией зон En в кристалле CaOHап [6]. Сдвиг ∆En зависит от размеров кристаллитов и толщины гидратных слоев в конгломератах:
, (1)
где L и d – эффективные размеры кристаллитов и гидратных слоев, – доля атомов, образующих сверхрешетку [6]. Вывод этого соотношения предполагает, что энергетическая структуры кристаллита приближенно может быть охарактеризована в рамках зонной модели; кристаллиты – суть расширенные электрически нейтральные ячейки CaOHап, образующие трехмерную сверхрешетку (своего рода мезокристалл [28]); диэлектрическими свойствами гидратных слоев можно пренебречь. Уменьшение L, как видно из формулы (1), усиливает различия между энергетическими структурами кристалла и кристаллита. С ростом L, наоборот, ∆En → 0 и различия стираются.
При уменьшении L требование электрической нейтральности кристаллической ячейки становится менее жестким, поскольку появляются дополнительные взаимодействия между атомами в кристаллитах и гидратных слоях. Рассматривая минеральный матрикс как 3D-сверхрешетку, можно предположить, что компенсация заряда должна происходить в сверхячейке S, которая включает в себя кристаллит и прилегающие к нему гидратные слои [7]. В этом случае
, (2)
где Q(r) – распределение электрического заряда в конгломерате. Природа заряда кристаллита связана с нарушением стехиометрии в результате замещения атомов и образования вакансий. Этот вывод согласуется с предположением об избыточном отрицательном заряде на кристаллитах [7], который максимален в молодой кости (II.1) и уменьшается с возрастом. Этот заряд компенсируется положительным зарядом гидратных слоев. В рамках такого представления возникают дополнительные электростатические силы в сверхячейке S, приводящие к ее деформации.
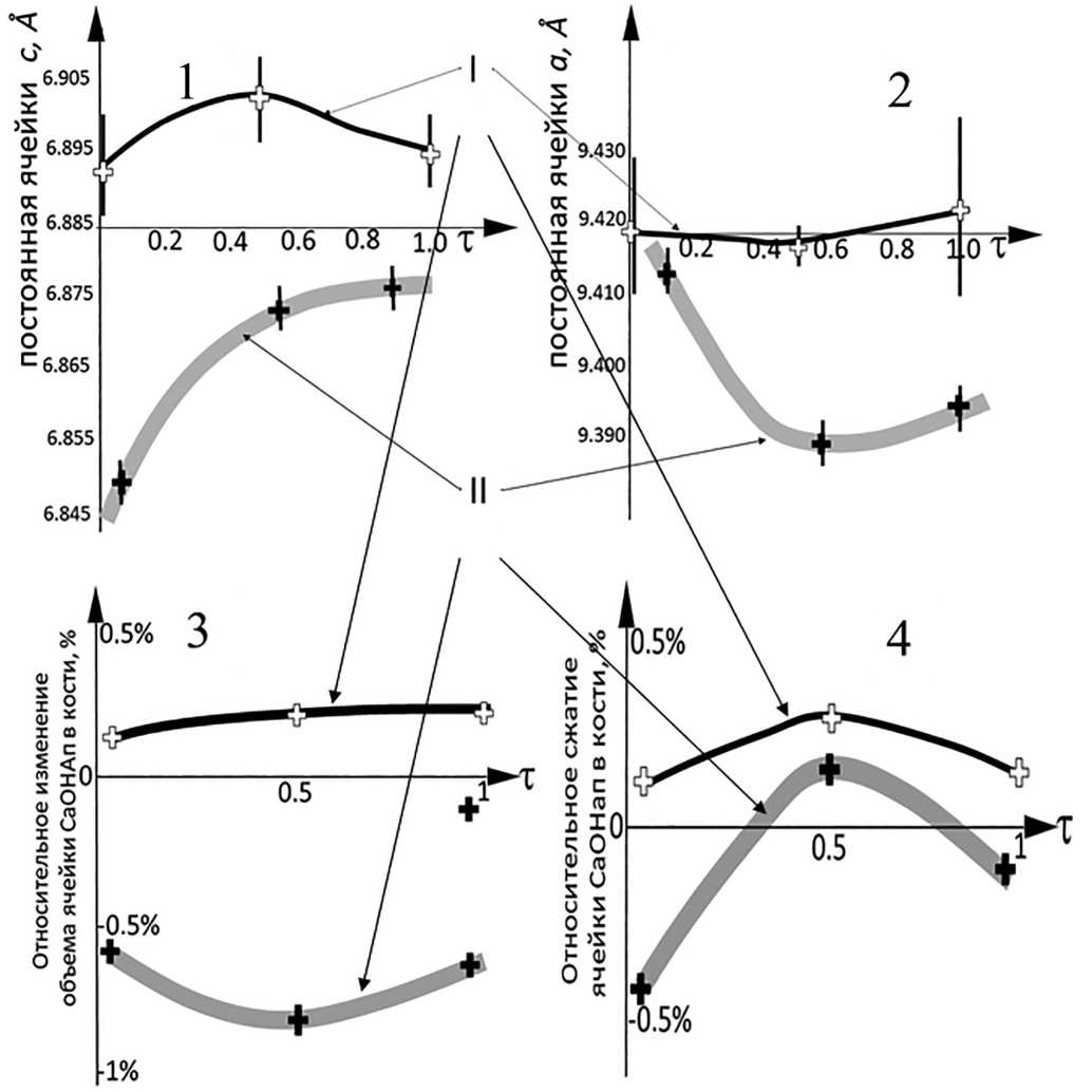
Анализ этой деформации в зависимости от физиологических и патогенных факторов позволяет глубже понять природу пространственно-временных изменений кристаллической ячейки в костной ткани. Рассмотрим ее характеристики как функции параметра τ. Определим его как τ. Для группы I t – время от начала заболевания ОА, T – средняя продолжительность заболевания, которое заканчивается полной потерей хрящевой ткани. Для группы II t – возраст кости, T – средняя продолжительность жизни организма. Параметр τ характеризует совокупность изменений атомно-молекулярной архитектуры кости на данный момент времени. Рисунок 3 демонстрирует выявленное поведение характеристик кристаллической ячейки в зависимости от τ для группы I (черные линии) и II (серые линии). Значения характеристик в интактной зоне (I.1) и для молодой кости (II.1) сопоставлены с τ ≈ 0, значения в I.3 (частично поврежденный хрящ) и II.2 (взрослая кость) соотнесены с τ ≈ 0.5, а значения в I.2 (склерозированная кость) и II.3 (зрелая кость) – с τ ≈ 1.
Рис. 3. Пространственно-временные изменения постоянных а и с, объемного и одноосного сжатия элементарной ячейки CaOHап в зависимости от параметра τ. Символы I и II указывают на соответствующую группу образцов.
Зависимости а, с, v и δ как функции τ показаны на рис. 3. Видно, что характеристики кристаллической ячейки и тенденции их изменений существенно различаются. В I объем ячейки увеличен, она растянута вдоль оси с и демонстрирует слабые изменения постоянной a. Напротив, в II объем ячейки сжат, а сама ячейка сплющена вдоль оси с. Отчетливая одноосная деформация кристаллической ячейки в зависимости от возраста указывает на перспективность исследования дихроизма фотопоглощения для визуализации возрастных изменений в костных наноструктурах.
Обратим внимание на поведение постоянных а и с на участке 0.5 < τ < 1 в группе I. Этот участок соответствует механическим нагрузкам при полном отсутствии или сильном повреждении хрящевой ткани. Из рис. 3 видно, что на этом участке происходят увеличение а и уменьшение с. На основе данных табл. 1 получаем значение близкое к коэффициенту Пуассона для апатита. Этот результат позволяет предположить, что изменения параметров кристаллической структуры CaOHап на заключительной стадии развития ОА могут быть продиктованы механическими нагрузками, что указывает на применимость парадигмы Вольфа к костным наноструктурам. Таким образом, наряду с нарушениями стехиометрии, размерными эффектами и дополнительными электростатическими взаимодействиями в конгломератах изменения кристаллической структуры в костных тканях обусловлены внешними механическими нагрузками, возникающими в организме при выполнении локомоторных функций.
ЗАКЛЮЧЕНИЕ
Проведен анализ постоянных элементарной ячейки гидроксилапатита кальция, особенностей ее деформации и размеров кристаллитов в костных тканях в зависимости от физиологических и патогенных условий. Выявлены систематические пространственно-временные искажения параметров кристаллической ячейки, возникающие при ОА-повреждениях и возрастных изменениях минерализованной костной ткани. Установлено, что наряду с нарушениями стехиометрии важную роль в искажениях кристаллической структуры нативной кости играют размеры кристаллитов, дополнительные электростатические взаимодействия в минеральном матриксе и особенности распределения механических нагрузок при выполнении локомоторных функций. Показано, что количества атомов, формирующих области когерентного рассеяния в костной ткани, могут различаться более чем на 2 порядка: менее 2⋅103 в молодой кости и более 300⋅103 в пористой кости. Дополнительные электростатические взаимодействия возникают в результате неравновесного распределения зарядов в кристаллитах и гидратных слоях. Следует отметить перспективность дальнейших исследований изменений кристаллической структуры минерализованной кости с целью создания новых методов контроля возрастных процессов, лечения и восстановления поврежденных костных тканей, а также новых биотехнологий конструирования экологически чистых остеомиметических материалов для преобразования и аккумуляции электрической энергии.
Работа выполнена при финансовой поддержке Российского научного фонда (грант № 23-29-00172). Для проведения измерений использовалось оборудование ресурсных центров “Диагностика функциональных материалов для медицины, фармакологии и наноэлектроники” и “Рентгенодифракционные методы исследования” Научного Парка СПбГУ.
About the authors
А. А. Павлычев
Санкт-Петербургский государственный университет
Author for correspondence.
Email: a.pavlychev@spbu.ru
Russian Federation, г. Санкт-Петербург
К. О. Брыкалова
Санкт-Петербургский государственный университет
Email: a.pavlychev@spbu.ru
Russian Federation, г. Санкт-Петербург
А. В. Корнеев
Санкт-Петербургский государственный университет
Email: a.pavlychev@spbu.ru
Russian Federation, г. Санкт-Петербург
А. А. Черный
Национальный медицинский исследовательский центр травматологии и ортопедии им. Р.Р. Вредена
Email: a.pavlychev@spbu.ru
Russian Federation, г. Санкт-Петербург
Н. Н. Корнилов
Национальный медицинский исследовательский центр травматологии и ортопедии им. Р.Р. Вредена
Email: a.pavlychev@spbu.ru
Russian Federation, г. Санкт-Петербург
References
- Денисов-Никольский Ю.И., Миронов С.П., Омельяненко Н.П. и др. // Актуальные проблемы теоретической и клинической остеоартрологии. М.: ОАО “Типография “Новости”, 2005. 336 с.
- Докторов А.А., Денисов-Никольский Ю.И. // Бюл. эксперим. медицины. 1993. Т. 119 (1). С. 61.
- Pasteris J.D., Wopenka B., Valsami-Jones E. // Elements. 2008. V. 4. P. 97.
- Wopenka B., Pasteris J.D. // Mater. Sci. Eng. C. 2005. V. 25 (2). P. 131.
- Данильченко С.Н. // Вестник СумДУ. Сер. Физика, математика, механика. 2007. Т. 2. C. 33.
- Pavlychev A.A., Avrunin A.S., Vinogradov A.S. et al. // Nanotechnology. 2016. V. 27. P. 504002. https://doi.org/10.1088/27/50/504002
- Brykalova X.O., Kornilov N.N., Pavlychev A.A. // J. Mater. Chem. A. 2022. V. 10. P. 22686. https://doi.org/10.1039/D2TA02340G
- Frank-Kamenetskaya O.V., Kol’tsov A.B., Kuz’mina M.A. et al. // J. Mol. Struct. 2011. V. 992. P. 9. https://doi.org/10.1016/j.molstruc.2011.02.013
- Frank-Kamenetskaya O.V. // Minerals as Advanced Materials. Berlin: Springer, 2008. P. 241.
- Pavlychev A.A., Brykalova X.O., Cherny A.A. et al. // Crystals. 2023. V. 13. P. 381. https://doi.org/10.3390/cryst3030381
- Nelson D.G.A., Featherstone J.D.B. // Calcif. Tissue Int. 1982. V. 34. P. 69.
- Vignoles M., Bonel G., Holcomb D.W. et al. // Calcif. Tissue Int. 1988. V. 43. P. 33.
- Wolff J. Das Gesetz der Transformation der Knochen. Hirschwald, Berlin, 1892.
- Konashuk A.S., Brykalova X.O., Kornilov N.N. et al. // Emergent Materials. 2020. V. 3. P. 515. https://doi.org/10.1007/s42247-020-00105-1
- Born M., Wolf E. Principles of Optics. Oxford; London: Pergamon Press, 1964.
- Metzler R.A., Rez P. // J. Phys. Chem. B. 2014. V. 118. P. 6758. https://doi.org/10.1021/jp503565e
- Krüger P., Natoli C.R. // J. Phys: Conf. Ser. 2016. V. 712. P. 012007. https://doi.org/10.1088/1742-6596/712/1/012007
- Kalmey J.K., Lovejoy C.O. // Bone. 2002. V. 31. P. 327.
- Boyde A., Riggs C.M. // Bone. 1990. V. 11. P. 35.
- Carando S., Portigliatti-Barbos M., Ascenzi A. et al. // Bone. 1991. V. 12. P. 265.
- Hong S.I., Hasche L., Bowland S. // Gerontologist. 2009. V. 49. P. 1. https://doi.org/10.1093/geront/gnp006
- Brykalova X.O., Kornilov N.N., Rykov Y.A. et al. // J. Phys. Chem. Lett. 2020. V. 11. P. 7839. https://doi.org/10.1021/acs.jpclett.0c01722
- Brykalova X.O., Kornilov N.N., Cherny A.A. et al. // Eur. Phys. J. D. 2019. V. 73. P. 113. https://doi.org/10. 1140/epjd/e2019-100114-8
- Сустав: Морфология, клиника, диагностика, лечение // Под ред. В.Н. Павловой и др. М.: ООО “Издательство “Медицинское информационное агентство”, 2011. 552 с.
- Yucesoy B., Charles L.E., Baker B., Burchfiel C.M. // Work. 2015. V. 50. P. 261. https://doi.org/10.3233/WOR-131739
- JCPDS No 09-0432
- Аврунин А.С., Павлычев А.А., Денисов-Никольский Ю.И. и др. // Морфология. 2016. Т. 150. № 5. С. 77.
- Rui Qi Song, Cölfen H. //Adv. Mater. 2010. V. 22. P. 1301. https://doi.org/10.1002/adma.200901365
Supplementary files





