The Role of Chemical Pressure in the Formation of the Structure and Barocaloric Properties of Complex Fluorides and Oxyfluorides
- Authors: Flerov I.N.1,2, Gorev M.V.1,2, Bogdanov E.V.1,3, Laptash N.M.4
-
Affiliations:
- Kirensky Institute of Physics, Federal Research Center KSC, Siberian Branch, Russian Academy of Sciences, 660036, Krasnoyarsk, Russia
- Institute of Engineering Physics and Radioelectronics, Siberian Federal University, Krasnoyarsk, Russia
- Institute of Engineering Systems and Energy, Krasnoyarsk State Agrarian University, Krasnoyarsk, Russia
- Institute of Chemistry, Far Eastern Branch, Vladivostok, Russia
- Issue: Vol 68, No 5 (2023)
- Pages: 776-789
- Section: ФИЗИЧЕСКИЕ СВОЙСТВА КРИСТАЛЛОВ
- URL: https://journals.rcsi.science/0023-4761/article/view/137424
- DOI: https://doi.org/10.31857/S0023476123600477
- EDN: https://elibrary.ru/DJYWHW
- ID: 137424
Cite item
Full Text
Abstract
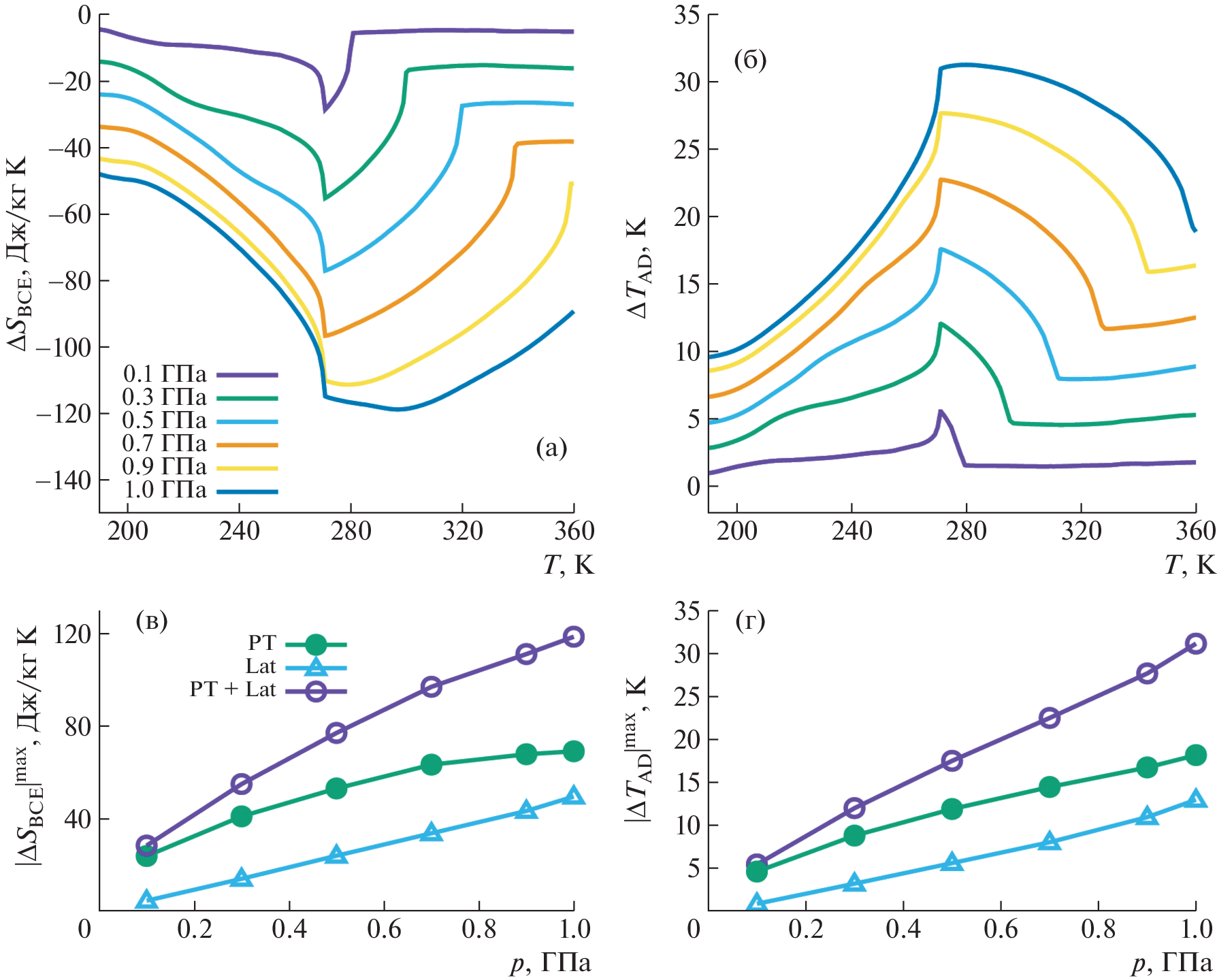
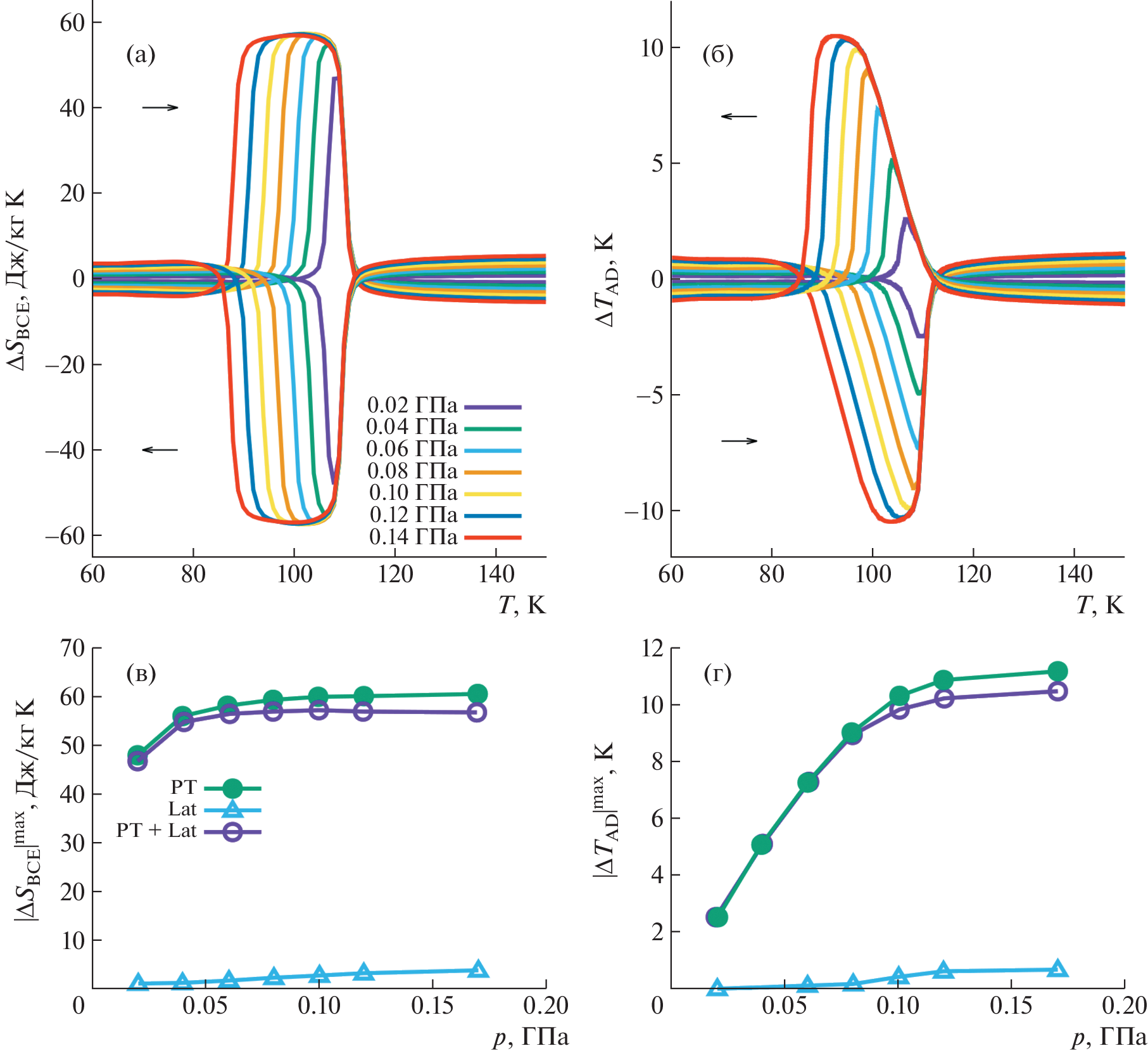
The role of chemical pressure as an effective tool in the processes of formation of initial and distorted (as a result of structural transformations) phases, thermodynamic properties, and direct and inverse barocaloric effects in some complex oxyfluorides and fluorides with octahedral, tetrahedral, and spherical anion and cation groups in the structure has been studied. It is found that, due to the small temperature hysteresis and high baric sensitivity of materials, the maximum values of absolute and integral barocaloric characteristics can be implemented at low pressures. Correspondingly, the temperature range of reversibility of thermodynamic cycles based on fluorides/oxyfluorides as solid-state coolants can be expanded.
About the authors
I. N. Flerov
Kirensky Institute of Physics, Federal Research Center KSC, Siberian Branch, Russian Academy of Sciences, 660036, Krasnoyarsk, Russia; Institute of Engineering Physics and Radioelectronics, Siberian Federal University, Krasnoyarsk, Russia
Email: flerov@iph.krasn.ru
Россия,
Красноярск; Россия, Красноярск
M. V. Gorev
Kirensky Institute of Physics, Federal Research Center KSC, Siberian Branch, Russian Academy of Sciences, 660036, Krasnoyarsk, Russia; Institute of Engineering Physics and Radioelectronics, Siberian Federal University, Krasnoyarsk, Russia
Email: flerov@iph.krasn.ru
Россия,
Красноярск; Россия, Красноярск
E. V. Bogdanov
Kirensky Institute of Physics, Federal Research Center KSC, Siberian Branch, Russian Academy of Sciences, 660036, Krasnoyarsk, Russia; Institute of Engineering Systems and Energy, Krasnoyarsk State Agrarian University, Krasnoyarsk, Russia
Email: flerov@iph.krasn.ru
Россия,
Красноярск; Россия,
Красноярск
N. M. Laptash
Institute of Chemistry, Far Eastern Branch, Vladivostok, Russia
Author for correspondence.
Email: flerov@iph.krasn.ru
Россия, Владивосток
References
- Mañosa L., Planes A., Acet M. // J. Mater. Chem. A. 2013. V. 1. P. 4925. https://doi.org/10.1039/C3TA01289A
- Kitanovski A., Plaznik U., Tomc U., Poredoš A. // Int. J. Refrig. 2015. V. 57. P. 288. https://doi.org/10.1016/j.ijrefrig.2015.06.008
- Lorusso G., Sharples J.W., Palacios E. et al. // Adv. Mater. 2013. V. 25. P. 4653. https://doi.org/10.1002/adma.201301997
- Michaelis N., Welsch F., Kirsch S.M. et al. // Int. J. Refrig. 2019. V. 100. P. 167. https://doi.org/10.1016/j.ijrefrig.2019.01.006
- Kitanovski A. // Adv. Energy Mater. 2020. V. 10. P. 1903741. https://doi.org/10.1002/aenm.201903741
- Gschneidner Jr K.A., Pecharsky V.K., Tsokol A.O. // Rep. Prog. Phys. 2005. V. 68. P. 1479. https://doi.org/10.1088/0034-4885/68/6/r04
- Franco V., Blázquez J., Ingale B., Conde A. // Annu. Rev. Mater. Res. 2012. V. 42. P. 305. https://doi.org/10.1146/annurev-matsci-062910-100356
- Smith A., Bahl C.R., Bjørk R. et al. // Adv. Energy Mater. 2012. V. 2. P. 1288. https://doi.org/10.1002/aenm.201200167
- Zhong W., Au C.T., Du Y.W. // Chin. Phys. B. 2013. V. 22. P. 057501. https://doi.org/10.1088/1674-1056/22/5/057501
- Planes A., Mañosa L., Acet M. // J. Phys.: Condens. Matter 2009. V. 21. P. 233201. https://doi.org/10.1088/0953-8984/21/23/233201
- Brück E. Handbook of Magnetic Materials. V. 28. Amsterdam: Elsevier, 2019. 217 p.
- Scott J. // Annu. Rev. Mater. Res. 2011. V. 41. P. 229. https://doi.org/10.1146/annurev-matsci-062910-100341
- Valant M. // Prog. Mater. Sci. 2012. V. 57. P. 980. https://doi.org/10.1016/j.pmatsci.2012.02.001
- Tishin A., Spichkin Y., Zverev V., Egolf P. // Int. J. Refrig. 2016. V. 68. P. 177. https://doi.org/10.1016/j.ijrefrig.2016.04.020
- Shi J., Han D., Li Z. et al. // Joule. 2019. V. 3. P. 1200. https://doi.org/10.1016/j.joule.2019.03.021
- Zverev V., Pyatakov A., Shtil A., Tishin A. // J. Magn. Magn. Mater. 2018. V. 459. P. 182. https://doi.org/10.1016/j.jmmm.2017.11.032
- Greco A., Aprea C., Maiorino A., Masselli C. // AIP Conf. Proc. 2019. V. 2191. P. 020091. https://doi.org/10.1063/1.5138824
- Energy Savings Potential and RD&D Opportunities for Non-vapor compression HVAC Technologies, Report of the U.S. Dpt. Of Energy. March 2014
- Aznar A., Lloveras P., Barrio M. et al. // J. Mater. Chem. A. 2020. V. 8. P. 639. https://doi.org/10.1039/C9TA10947A
- Bermúdez-García J.M., Yáñez-Vilar S., García-Fernández A. et al. // J. Mater. Chem. C. 2018. V. 6. P. 9867. https://doi.org/10.1039/C7TC03136J
- Bermúdez-García J.M., Sánchez-Andújar M., Señarís-Rodríguez M.A. // J. Phys. Chem. Lett. 2017. V. 8. P. 4419. https://doi.org/10.1021/acs.jpclett.7b01845
- Li B., Kawakita Y., Ohira-Kawamura S. et al. // Nature 2019. V. 567. P. 506. https://doi.org/10.1038/s41586-019-1042-5
- Bermúdez-García J.M., Sánchez-Andújar M., Castro-García S. et al. // Nat. Commun. 2017. V. 8. P. 15715. https://doi.org/10.1038/ncomms15715
- Ouyang G., Pan C., Wolf S. et al. // Appl. Phys. Lett. 2020. V. 116. P. 251901. https://doi.org/10.1063/5.0012166
- Zarkevich N.A., Johnson D.D., Pecharsky V.K. // J. Phys. D. 2017. V. 51. P. 024002. https://doi.org/10.1088/1361-6463/aa9bd0
- Gorev M., Bogdanov E., Flerov I. // J. Phys. D. 2017. V. 50. P. 384002. https://doi.org/10.1088/1361-6463/aa8025
- Gorev M., Bogdanov E., Flerov I., Laptash N. // J. Phys.: Condens. Matter. 2010. V. 22. P. 185901. https://doi.org/10.1088/0953-8984/22/18/185901
- Hou H., Simsek E., Ma T. et al. // Science. 2019. V. 366. P. 1116. https://doi.org/10.1126/science.aax7616
- Pu Y., Zhang Q., Li R. et al. // Appl. Phys. Lett. 2019. V. 115. P. 223901. https://doi.org/10.1063/1.5126652
- Zhang G., Li Z., Yang J. et al. // Appl. Phys. Lett. 2020. V. 116. P. 023902. https://doi.org/10.1063/1.5133110
- Bradeško A., Juričić D., Santo Zarnik M. et al. // Appl. Phys. Lett. 2016. V. 109. P. 143508. https://doi.org/10.1063/1.4964124
- Hanrahan B., Easa J., Payne A. et al. // Cell Rep. Phys. Sci. 2020. V. 1. P. 100075. https://doi.org/10.1016/j.xcrp.2020.100075
- Liu Y., Wei J., Janolin P.E. et al. // Phys. Rev. B. 2014. V. 90. P. 104107. https://doi.org/10.1103/PhysRevB.90.104107
- Mañosa L., Planes A. // Adv. Mater. 2017. V. 29. P. 1603607. https://doi.org/10.1002/adma.201603607
- Lloveras P., Tamarit J.L. // MRS Energy Sustainability 2021. V. 8. P. 3. https://doi.org/10.1557/s43581-020-00002-4
- Cazorla C. // Appl. Phys. Rev. 2019. V. 6. P. 041316. https://doi.org/10.1063/1.5113620
- Wei Z.Y., Sun W., Shen Q. et al. // Appl. Phys. Lett. 2019. V. 114. P. 101903. https://doi.org/10.1063/1.5077076
- Xiao F., Li Z., Chen H. et al. // Materialia. 2020. V. 9. P. 100547. https://doi.org/10.1016/j.mtla.2019.100547
- Gui W., Qu Y., Cao Y. et al. // J. Mater. Res. Technol. 2022. V. 19. P. 4998. https://doi.org/10.1016/j.jmrt.2022.07.018
- Александров К.С., Анистратов А.Т., Безносиков Б.В. Федосеева Н.В. Фазовые переходы в кристаллах галоидных соединений ABX3. Новосибирск: Наука, 1981. 266 с.
- Александров К.С., Безносиков Б.В. Перовскиты. Настоящее и будущее. Новосибирск: Изд-во СО РАН, 2004. 231 с.
- Flerov I., Gorev M., Aleksandrov K. et al. // Mater. Sci. Eng. R Rep. 1998. V. 24. P. 81. https://doi.org/10.1016/S0927-796X(98)00015-1
- Gautier R., Gautier R., Chang K.B., Poeppelmeier K.R. // Inorg. Chem. 2015. V. 54. P. 1712. https://doi.org/10.1021/ic5026735
- Udovenko A.A., Laptash N.M. // Acta Cryst. 2008. V. 64. P. 645. https://doi.org/10.1107/S0108768108033053
- Udovenko A.A., Vasiliev A.D., Laptash N.M. // Acta Cryst. B. 2010. V. 66. P. 34. https://doi.org/10.1107/S0108768109052987
- Шувалов Л.А. // Изв. АН СССР. Сер. физ. 1979. Т. 43. 8. С. 1554
- Gorev M., Bogdanov E., Flerov I. // Scr. Mater. 2017. V. 139. P. 53. https://doi.org/10.1016/j.scriptamat.2017.06.022
- Горев М.В., Флеров И.Н., Богданов Е.В. и др. // ФТТ. 2010. Т. 52. С. 35.
- Flerov I.N., Kartashev A.V., Gorev M.V. et al. // J. Fluorine Chem. 2016. V. 183. P. 1. https://doi.org/10.1016/j.jfluchem.2015.12.010
- Флеров И.Н., Горев М.В., Трессо A., Лапташ Н.М. // Кристаллография. 2011. Т. 52. С. 13.
- Gorev M.V., Bogdanov E.V., Flerov I.N. et al. // Ferroelectrics 2010. V. 397. P. 76. https://doi.org/10.1080/00150193.2010.48472251
- Фокина В.Д., Флеров И.Н., Молокеев М.С. и др. // ФТТ. 2008. Т. 50. С. 2084. 2008
- Фокина В.Д., Богданов Е.В., Горев М.В. и др. // ФТТ. 2010. Т. 52. С. 728.
- Фокина В.Д., Богданов Е.В., Погорельцев Е.И. и др. // ФТТ. 2010. Т. 52. С. 148.
- Горев М.В., Богданов Е.В., Флеров И.Н. и др. // ФТТ. 2010. Т. 52. С. 156.
- Флеров И.Н., Горев М.В., Фокина В.Д. и др. // ФТТ. 2004. Т. 46. С. 888.
- Flerov I.N., Gorev M.V., Fokina V.D. // Phys. Solid State. 2004. V. 46. P. 915. https://doi.org/10.1134/1.1744971
- Pirc R., Kutnjak Z., Blinc R., Zhang Q.M. // Appl. Phys. Lett. 2011. V. 98. P. 021909. https://doi.org/10.1063/1.3543628
- Romanini M., Wang Y., Gürpinar K. et al. // Adv. Mater. 2021. P. 2008076. https://doi.org/10.1002/adma.202008076
- Flerov I., Gorev M., Bogdanov E., Laptash N. // Ferroelectrics. 2016. V. 500. P. 153. https://doi.org/10.1080/00150193.2016.1214525
- Salgado-Beceiro J., Nonato A., Silva R. et al. // Mater. Adv. 2020. V. 1. № 9. P. 3167. https://doi.org/10.1039/d0ma00652a
- Флеров И.Н., Фокина В.Д., Горев М.В. и др. // ФТТ. 2007. Т. 49. С. 1093.
- Богданов Е.В., Погорельцев Е.И., Мельникова С.В. и др. // ФТТ. 2013. Т. 55. С. 366.
- Bogdanov E.V., Mel’nikova S.V., Pogoreltsev E.I. et al. // Solid State Sci. 2016. V. 61. P. 155. https://doi.org/10.1016/j.solidstatesciences.2016.08.012
- Udovenko A.A., Laptash N.M. // Acta Cryst. B. 2008. V. 64. P. 527. https://doi.org/10.1107/S0108768108021289
- Mikhaleva E.A., Gorev M.V., Molokeev M.S. et al. // J. Alloys Compd. 2020. V. 839. P. 155085. https://doi.org/10.1016/j.jallcom.2020.155085
- Aznar A., Negrier P., Planes A. et al. // Appl. Mater. Today. 2021. V. 23. P. 101023. https://doi.org/10.1016/j.apmt.2021.101023
Supplementary files








