STRUCTURAL AND MAGNETIC TRANSITION IN MULTICOMPONENT R5X4 COMPOUNDS
- Authors: Smirnov A.V.1, Ovchenkova Y.A.1, Bogdanov A.E.1, Morozkin A.V.1, Tereshina I.S.1, Nikitin S.A.1
- 
							Affiliations: 
							- Lomonosov Moscow State University, Moscow, 119991 Russia
 
- Issue: Vol 68, No 3 (2023)
- Pages: 434-442
- Section: ДИНАМИКА РЕШЕТКИ И ФАЗОВЫЕ ПЕРЕХОДЫ
- URL: https://journals.rcsi.science/0023-4761/article/view/137415
- DOI: https://doi.org/10.31857/S0023476123700145
- EDN: https://elibrary.ru/XBUTSE
- ID: 137415
Cite item
Full Text
Abstract
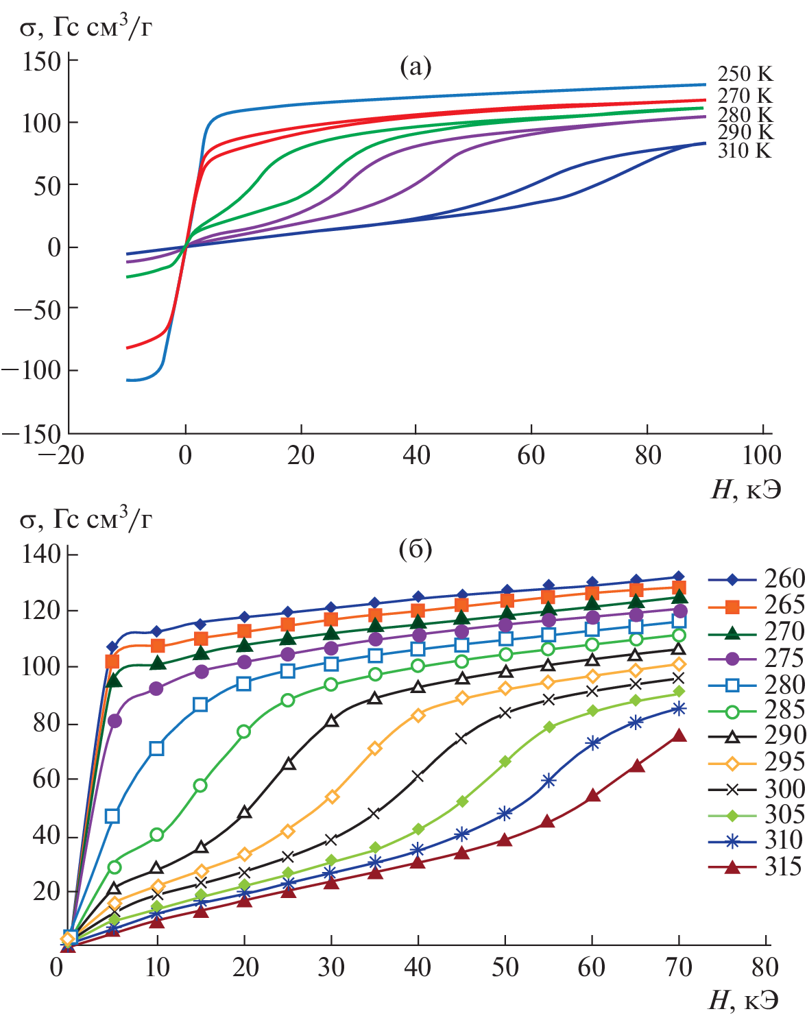
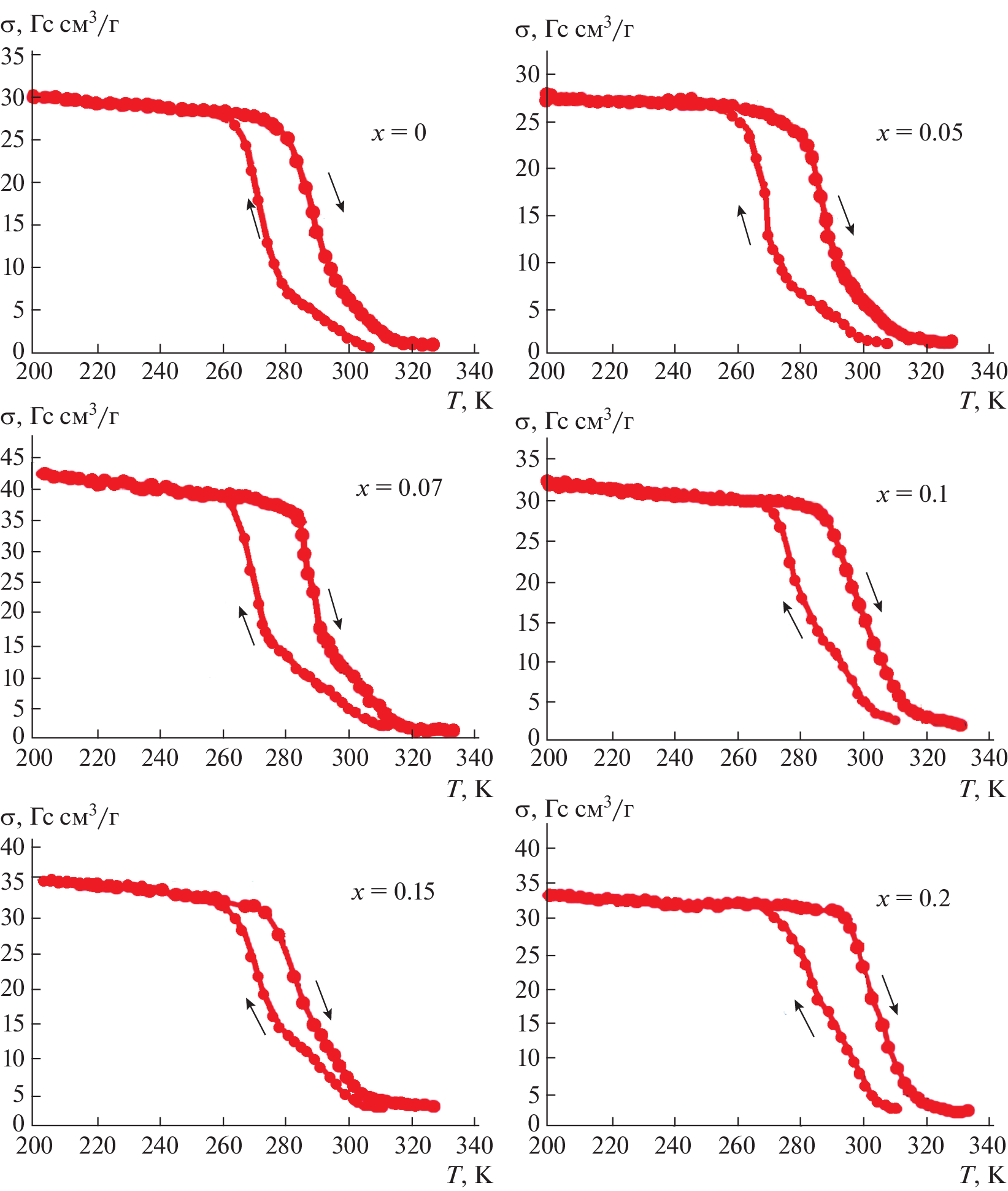
The structure, magnetic, magnetothermal, and magnetoelastic properties of Gd5Si2-xGe2-xIn2x (x = 0–0.1) intermetallic compounds have been studied in the region of magnetostructural phase transitions. It is shown that introduction of indium creates the effect of negative pressure, leading to a change in the critical temperature of the magnetic phase transition in the monoclinic phase of the compounds studied and to partial separation of the magnetic and structural phase transitions in them.
About the authors
A. V. Smirnov
Lomonosov Moscow State University, Moscow, 119991 Russia
														Email: irina_tereshina@mail.ru
				                					                																			                												                								Россия, Москва						
Yu. A. Ovchenkova
Lomonosov Moscow State University, Moscow, 119991 Russia
														Email: irina_tereshina@mail.ru
				                					                																			                												                								Россия, Москва						
A. E. Bogdanov
Lomonosov Moscow State University, Moscow, 119991 Russia
														Email: irina_tereshina@mail.ru
				                					                																			                												                								Россия, Москва						
A. V. Morozkin
Lomonosov Moscow State University, Moscow, 119991 Russia
														Email: irina_tereshina@mail.ru
				                					                																			                												                								Россия, Москва						
I. S. Tereshina
Lomonosov Moscow State University, Moscow, 119991 Russia
														Email: irina_tereshina@mail.ru
				                					                																			                												                								Россия, Москва						
S. A. Nikitin
Lomonosov Moscow State University, Moscow, 119991 Russia
							Author for correspondence.
							Email: irina_tereshina@mail.ru
				                					                																			                												                								Россия, Москва						
References
- Pecharsky V.K., Gschneidner K.A. // Phys. Rev. Lett. 1997. V. 78. № 23. P. 4494. https://doi.org/10.1103/PhysRevLett.78.4494
- Pecharsky A.O., Gschneidner K.A., Jr., Pecharsky V.K. // J. Appl. Phys. 2003. V. 93. № 8. P. 4722. https://doi.org/10.1063/1.1558210
- Tishin A.M., Spichkin Y.I. The Magnetocaloric Effect and its Applications. Philadelphia: Institute of Physics Publishing, Bristol, 2003. https://doi.org/10.1201/9781420033373
- De Oliveira N.A. // J. Appl. Phys. 2013. V. 113. P. 033910.
- Rudolph K., Pathak A.K., Mudryk Y., Pecharsky V.K. // Acta Mater. 2018. V. 145. P. 369. https://doi.org/10.1016/j.actamat.2017.12.024
- Paudyal D., Mudryk Y., Pecharsky V.K., Gschneidner K.A. // Phys. Rev. B. 2011. V. 84. P. 014421. https://doi.org/10.1103/PhysRevB.84.014421
- Nazih M., de Visser A., Zhang L. et al. // Solid State Commun. 2003. V. 126. P. 255.
- Han M., Jiles D.C., Snyder J.E. et al. // J. Appl. Phys. 2004. V. 95. P. 6945.
- Svitelskiy O., Suslov A., Schlagel D.L. et al. // Phys. Rev. B. V. 74. P. 184105. https://doi.org/10.1103/PhysRevB.74.184105
- Zou M., Pecharsky V.K., Gschneidnper K.A. et al. // Phys. Rev. B. V. 80. P. 174411. https://doi.org/10.1103/PhysRevB.80.174411
- Hadimani R.L., Jiles D.C. // IEEE Magn. Lett. 2010. V. 1. P. 6000104. https://doi.org/10.1109/LMAG.2010.2041902
- Gschneidner K.A., Pecharsky V.K., Tsokol A.V. // Rep. Progr. Phys. 2005. V. 68. № 6. P. 1479. https://doi.org/10.1088/0034-4885/68/6/R04
- Tan L., Kreyssig A., Kim J.W. et al. // Phys. Rev. B. 2005. V. 71. P. 214408. https://doi.org/10.1103/PhysRevB.71.214408
- Pecharsky V.K., Gschneidner K.A. // J. Magn. Magn. Mater. 1997. V. 167. № 3. P. L179.
- Yucel A., Elerman Y., Aksoy S. // J. Alloys Compd. 2006. V. 420. № 1–2. P. 182. https://doi.org/10.1016/j.jallcom.2005.10.078
- Zhang T.B., Chen Y.G., Tang Y.B. et al. // J. Alloys Compd. 2007. V. 433. № 1–2. P. 18. https://doi.org/10.1063/1.5036723
- Aksoy S., Yucel A., Elerman Y. et al. // J. Alloys Compd. 2008. V. 460. № 1–2. P. 94. https://doi.org/10.1016/j.jallcom.2007.06.060
- Palacios E., Wang G.F., Burriel R. et al. // J. Phys.: Conf. Ser. 2010. V. 200. № 9. P. 092011. https://doi.org/10.1088/1742-6596/200/9/092011
- Sharma S., Patel A.K., Kumar P. // Mater. Today Commun. 2021. V. 26. P. 102091.
- Chen Y.G., Zhang T.B., Tang Y.B., Tu M.J. // Proc. First IIF-IIR Int. Conf. on Magnetic Refrigeration at Room Temperature. Montreux, Switzerland, 2005. P. 227.
- Campoy J.C.P., Plaza E.J.R., Nascimento F.C. et al. // J. Magn. Magn. Mater. 2007. V. 316. № 2. P. 368. https://doi.org/10.1016/j.jmmm.2007.03.023
- Li J.Q., Sun W.A., Jian Y.X. et al. // J. Appl. Phys. 2006. V. 100. № 7. P. 073904. https://doi.org/10.1063/1.2355430
- Pereira A.M., Kampert E., Moreira J.M. et al. // Appl. Phys. Lett. 2011. V. 99. P. 132510. https://doi.org/10.1063/1.3640213
- Morellon L., Algarabel P.A., Ibarra M.R. et al. // Phys. Rev. B. 1998. V. 58. P. R14721.
- Magen C., Morellon L., Algarabel P.A. et al. // Phys. Rev. B. 2005. V. 72. P. 024416.
- Bocarra N. Symtries Briseґes. Paris: Herman, 1976.
- Pereira A.M., Magen C., Braga M.E. et al. // J. Non-Crystalline Solids. 2008. V. 354. P. 5298.
- Morellon L., Arnold Z., Magen C. et al. // Phys. Rev. Lett. 2004. V. 93. P. 137201.
- Nikitin S.A., Bogdanov A.E., Ovchenkova I.A. et al. // Solid State Phenomena. 2015. V. 233–234. P. 208.
- Nikitin S.A., Smirnov A.V., Ovchenkova I.A., Ovchenkov Y.A. // J. Appl. Phys. 2018. V. 124. № 8. P. 083902. https://doi.org/10.1063/1.5036723
- Смирнов А.В., Курганская А.А., Овченкова Ю.А. и др. // Вестн. МГУ. Сер. 3. Физика, астрономия. 2022. № 6. С. 38.
- Nikitin S.A., Smirnov A., Bogdanov A., Ovchenkova I. // EPJ Web Conf. 2018. V. 185. P. 05006. https://doi.org/10.1051/epjconf/201818505006
- Izumi F. The Rietveld Method / Ed. Young R.A. Oxford: Oxford University Press, 1993.
- Izumi F. // Rigaku J. 1989. V. 6. № 1. P 10.
- Akselrud L.G., Grin Yu.N., Zavalij P.Yu. et al. // 12-th Eur. Crystallographic Meeting: Abstract of Papers. 1989. V. 3. P. 155.
- Белов К.П. Упругие, тепловые и электрические явления в ферромагнетиках. М.: Гостехиздат, 1957. 280 с.
- Nikitin S.A., Pankratov N.Yu., Smarzhevskaya A.I. et al. // J. Appl. Phys. 2015. V. 117. P. 193908.
Supplementary files
 
				
			 
					 
						 
						 
						 
						 
				
 
  
  
  Email this article
			Email this article 





