THE ROLE OF MAGNETIC INTERFACES IN THE FORMATION OF FORBIDDEN REFLECTIONS
- Authors: Baulin R.A.1, Andreeva M.A.1
-
Affiliations:
- Lomonosov Moscow State University, Moscow, 119991 Russia
- Issue: Vol 68, No 3 (2023)
- Pages: 407-411
- Section: ДИФРАКЦИЯ И РАССЕЯНИЕ ИОНИЗИРУЮЩИХ ИЗЛУЧЕНИЙ
- URL: https://journals.rcsi.science/0023-4761/article/view/137409
- DOI: https://doi.org/10.31857/S002347612370011X
- EDN: https://elibrary.ru/XADTKX
- ID: 137409
Cite item
Full Text
Abstract
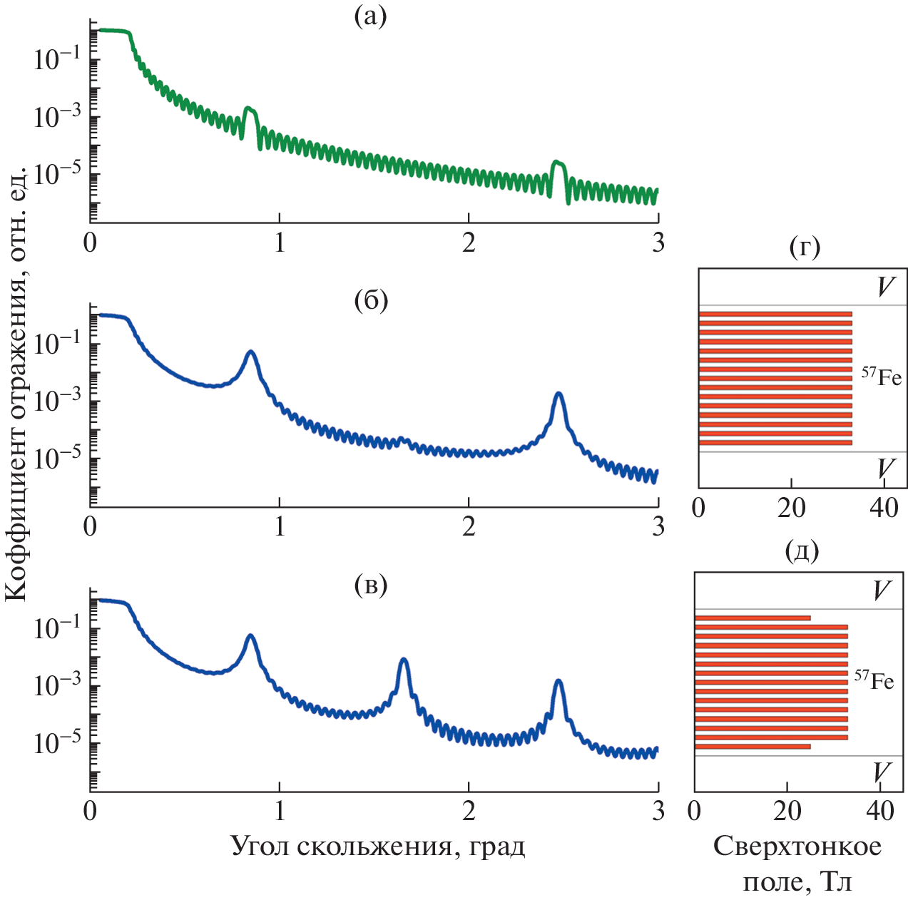
The possibility of the existence of forbidden Bragg reflections in Mössbauer reflectivity, which are caused by the influence of interfaces on the mirror reflection, is demonstrated. The calculations show that the measurement of Mössbauer spectra using forbidden reflections provides a fundamental opportunity to study interfaces selectively.
Keywords
About the authors
R. A. Baulin
Lomonosov Moscow State University, Moscow, 119991 Russia
Email: baulin.roman@physics.msu.ru
Россия, Москва
M. A. Andreeva
Lomonosov Moscow State University, Moscow, 119991 Russia
Author for correspondence.
Email: Mandreeva1@yandex.ru
Россия, Москва
References
- de Bergevin F., Brunel M. // Phys. Lett. A. 1972. V. 39. P. 141. https://doi.org/10.1016/0375-9601(72)91054-7
- Gibbs D., Moncton D.E., D’Amico K.L. et al. // Phys. Rev. Lett. 1985. V. 55. P. 234. https://doi.org/10.1103/PhysRevLett.55.234
- Gibbs D., Grübel G., Harshman D.R. et al. // Phys. Rev. B. 1991. V. 43. P. 5663. https://doi.org/10.1103/PhysRevB.43.5663
- Collins S.P., Laundy D., Dmitrienko V.E. et al. // Phys. Rev. B. 2003. V. 68. P. 064110. https://doi.org/10.1103/PhysRevB.68.064110
- Beutier G., Collins S.P., Nisbet G. et al. // Eur. Phys. J. Spec. Top. 2012. V. 208. P. 53. https://doi.org/10.1140/epjst/e2012-01606-3
- Collins S.P., Laundy D., Stunault A. // J. Phys.: Condens. Matter. 2001. V. 13. P. 1891. https://doi.org/10.1088/0953-8984/13/9/312
- Dmitrienko V.E., Ovchinnikova E.N., Collins S.P. et al. // Nat. Phys. 2014. V. 10. P. 202. https://doi.org/10.1038/nphys2859
- Beutier G., Collins S.P., Dimitrova O.V. et al. // Phys. Rev. Lett. V. 119. P. 167201. https://doi.org/10.1103/PhysRevLett.119.167201
- Андреева М.А., Кузьмин Р.Н. // Кристаллография. 1969. Т. 14. Вып. 4. С. 708.
- Андреева М.А., Кузьмин Р.Н. // Докл. АН СССР. 1969. Т. 185. С. 1282.
- Беляков В.А., Айвазян Ю.М. // Письма в ЖЭТФ. 1968. Т. 7. С. 477.
- Беляков В.А. // Успехи физ. наук. 1987. Т. 151 С. 699. https://doi.org/10.3367/UFNr.0151.198704e.0699
- Смирнов Г.В., Скляревский B.B., Восканян P.А., Артемьев А.Н. // Письма в ЖЭТФ. 1969. Т. 9. С.123.
- Gerdau E., Rüffer R., Winkler H. et al. // Phys. Rev. Lett. 1985. V. 54. P. 835. https://doi.org/10.1103/PhysRevLett.54.835
- Smirnov G.V., van Bürck U., Chumakov A.I. et al. // Phys. Rev. B. 1997. V. 55. P. 5811. https://doi.org/10.1103/PhysRevB.55.5811
- Mitsui T., Seto M., Hirao M. et al. // Jpn. J. Appl. Phys. 2007. V. 46. P. L382. https://doi.org/10.1143/JJAP.46.L382
- Mitsui T., Seto M., Masuda R. et al. // Jpn. J. Appl. Phys. 2007. V. 46. P. L703. https://doi.org/10.1143/JJAP.46.L703
- Mitsui T., SetoM., Masuda R. et al. // Jpn. J. Appl. Phys. 2007. V. 46. P. L930. https://doi.org/10.1143/JJAP.46.L930
- Potapkin V., Chumakov A.I., Smirnov G.V. et al. // J. Synchrotron Radiat. 2012. V. 19. P. 559. https://doi.org/10.1107/S0909049512015579
- Andronova N.V., Kohn V.G., Chechin A.I. et al. // Nucl. Instrum. Methods Phys. Res. A. 1995. V. 359. P. 135. https://doi.org/10.1016/0168-9002(94)01680-1
- Kohn V.G. // Phys. Status Solidi. B. 1995. V. 187. P. 61. https://doi.org/10.1002/pssb.2221870105
- Satapathy D.K., Uribe-Laverde M.A., Marozau I. et al. // Phys. Rev. Lett. 2012. V. 108. P. 197201. https://doi.org/10.1103/PhysRevLett.108.197201
- Antropov N.O., Khaydukov Yu.N., Kravtsov E.A. et al. // JETP Lett. 2019. V. 109. P. 406. https://doi.org/10.1134/S0021364019060018
- Andreeva M.A., Lindgren B. // Phys. Rev. B. 2005. V. 72. P. 125422. https://doi.org/10.1103/PhysRevB.72.125422
- Andreeva M.A. // Hyperfine Interact. 2008. V. 185. P. 17. https://doi.org/10.1007/s10751-008-9806-6
- Andreeva M.A., Lindgren B., Panchuck V. // http://www.esrf.eu/Instrumentation/software/dataanalysis/OurSoftware/REFTIM-1
- Toellner T.S., Sturhahn W., Rohlsberger R. et al. // Phys. Rev. Lett. 1995. V. 74. P. 3475. https://doi.org/10.1103/PhysRevLett.74.3475
- Andreeva M., Gupta A., Sharma G. et al. // Phys. Rev. B. 2015. V. 92. P. 134403. https://doi.org/10.1103/PhysRevB.92.134403
- Andreeva M.A., Baulin R.A., Chumakov A.I. et al. // J. Synchrotron Radiat. 2018. V. 25. P. 473. https://doi.org/10.1107/S1600577517017192
- Baulin R.A., Andreeva M.A., Häggström L. et al. // Surf. Interfaces. 2021. V. 27. P. 101521. https://doi.org/10.1016/j.surfin.2021.101521
Supplementary files





