Монте-Карло исследование средних спектров мощности гамма-всплесков
- Authors: Лозников В.М.1
-
Affiliations:
- Институт космических исследований РАН
- Issue: Vol 62, No 5 (2024)
- Pages: 482-497
- Section: Articles
- URL: https://journals.rcsi.science/0023-4206/article/view/276522
- DOI: https://doi.org/10.31857/S0023420624050076
- EDN: https://elibrary.ru/IHFWLW
- ID: 276522
Cite item
Full Text
Abstract
На основе результатов нескольких работ, посвященных исследованию средних спектров мощности (
Full Text
ВВЕДЕНИЕ
Цель настоящей работы исследовать и объяснить особенности средних спектров мощности (PDS) гамма-всплесков (GRB) посредством Монте-Карло (МК) симуляции временных рядов двухсторонних импульсов разной формы с различными распределениями амплитуды и длительности, при разных значениях параметров асимметрии и перемежаемости импульсов, на основе теоретических исследований [1–3].
Авторы работ [1–3] называют импульсы двухсторонними, если импульс имеет «фронт», с монотонным увеличением интенсивности от нуля до максимума, и «хвост», с монотонным уменьшением интенсивности от максимума до нуля. Односторонний импульс имеет только «хвост» или только «фронт».
Напомним основные факты, необходимые для понимания темы спектров мощности временных рядов, которой посвящена настоящая работа.
Если исследуется временной дискретный ряд длительностью T = NbinDt секунд c количеством Nbin временных бинов одинаковой длительности или временным разрешением (Dt), то спектр мощности (PDS) вычисляется в диапазоне частот fmin < f < fN, где минимальная частота PDS равна fmin = 1/T, а максимальная частота (частота Найквиста) fN = 1/(2Dt). Количество дискретных частот (f) в спектре PDS равно Nf = Nbin/2, причем f = k/T, где k = 1,…, Nf. Разрешение по частоте Df = 1/T одинаково для всех частот. Спектр мощности PDS можно вычислять по-разному. Или как преобразование Фурье от автокорреляционной функции (ACF) [1–3], или как квадрат модуля амплитуды преобразования Фурье временного ряда [14]. Перед вычислением PDS, можно нормировать исходный временной ряд различным образом. Также и PDS, можно нормировать по-разному.
Все гамма-всплески GRB имеют разную длительность. При исследовании <PDS> желательно иметь временные ряды одинаковой длительности. Поэтому, разные авторы используют разные методы для стандартизации длины временных рядов GRB.
Если все величины временного ряда имеют нормальное, или пуассоновское распределение, то PDS имеет плоскую форму («белый шум»), а величины (PDSf ≡ Pf) имеют распределение хи-квадрат с двумя степенями свободы. Однако величины временных рядов реальных гамма-всплесков (GRB) имеют более сложное распределение [1, 2], поэтому и PDS имеет более сложную форму («красный шум» с избытком низкочастотных компонент) с пока неизвестным распределением величин Pf. Формы среднего спектра мощности <PDS> для нескольких форм импульсов (с различными параметрами асимметрии и перемежаемости и различными распределениями их амплитуды и ширины) вычислены в работах [1–3].
После усреднения по выборке всех Pf исследуемых GRB, для улучшения статистики и избавления от неопределенности в распределении величин Pf, обычно производится суммирование величин Pf в нескольких соседних частотных бинах так, чтобы получить новые частотные бины примерно одинаковой ширины в логарифмической шкале. Известно, что сумма большого количества случайных величин (независимо от типа их распределения) с примерно равными средними значениями подчиняется нормальному (Гауссову) распределению. Суть нормировки в том, чтобы угадать, какая нормировка лучше соответствует требованию «примерно равных средних значений» по выборке для величин Pf . Поскольку спектр мощности — «красный», квазистепенной, то, чтобы лучше видеть особенности спектра, <PDS> обычно умножают на частоту в некоторой степени.
КРАТКИЙ ОБЗОР НЕКОТОРЫХ РЕЗУЛЬТАТОВ ЭКСПЕРИМЕНТАЛЬНЫХ ИССЛЕДОВАНИЙ
Цель настоящей работы в том, чтобы объяснить не всю физику GRB [13, 19], а только основные особенности средних спектров мощности <PDS> GRB. В частотной области нас будет интересовать существование изломов квазистепенной кривой <PDS>, зависимость положения изломов на шкале частот от параметров импульсов, а также величина индекса наклона среднего квазистепенного участка кривой <PDS>. Во временной области нас будет интересовать возможность разложения кривой блеска GRB на отдельные импульсы, форма отдельных импульсов GRB, простой и сложной формы, и усредненная форма импульсов GRB.
(а) Средние спектры мощности <PDS> исследовались в работах [4–8].
В работах [4–7] обнаружено два излома в <PDS> (на низкой частоте ~0.05 Гц и на высокой частоте ~1 Гц). В статье [8] найден только один широкий излом на низкой частоте в диапазоне (~0.02…0.11 Гц).
Средний участок <PDS> имеет квазистепенную форму с индексом наклона, зависящим от выборки и нормировки данных [5, 8].
Величина индекса наклона антикоррелирует с яркостью (величиной главного пика) GRB [5, 6] и жесткостью энергетического канала. Яркость и жесткость энергетического канала, в свою очередь, антикоррелирует с шириной импульса. Поэтому, можно ожидать, что индекс наклона коррелирует с шириной импульса. Положение изломов зависит от энергетического диапазона GRB [5], т.е. по сути, от средней ширины импульсов выборки GRB, поскольку, как правило, в более жестком энергетическом диапазоне GRB ширина импульсов уменьшается [12].
В статьях [12, 28] показано, что яркость в пике главного импульса (Flux) антикоррелирует с количеством отсчетов (Fluence) и шириной импульса GRB. А также, что ширина импульса коррелирует с Fluence.
Напомним, что все четыре ярких GRB, представленные на [рис. 1 из статьи 5], имеют многопиковую структуру с большой долей перекрывающихся импульсов. Следовательно, по меньшей мере, нужно учитывать не только «яркость» (амплитуду), но и перемежаемость (наложение импульсов), и, следовательно, форму и длительность.
Рис. 1. Лоренциан (правая половинка): F(X; x0, gL) = = A×(gL/π) / [(X–x0)2+gL2], (X > x0 = 0). Здесь γL — параметр ширины распределения. Параметр (gL = 0.01, 0.1, 1.0, 10) для кривых (слева направо по нижнему краю).
(б) Большинство профилей GRB могут быть разложены на сумму двухсторонних импульсов. В статьях [10, 11, 15–17, 21] используется форма импульса, предложенная в работах [10, 11]. Функциональная форма этого импульса отличается закругленной вершиной и наличием начала импульса. Форма «Norris-импульса» определяется функцией I(t) = Aη·exp[–τ1/(t–ts) – (t–ts)/τ2], где A — амплитуда; η = exp(2k) – нормировочный множитель; k = √(τ1/τ2); τ1 — время нарастания импульса; τ2 — время спада импульса, ts – время начала импульса, (t > ts). Пик импульса достигается при tpeak = ts+√(τ1τ2).
Несколько ранее в статье [20] предлагалась другая модель формы импульса F(t) = A·exp(–(|t – tmax| /sr,d)n), где tmax — время максимальной интенсивности импульса A; sr и sd — константы времени нарастания (t < tmax) и времени спада (t > tmax) соответственно; n — параметр остроты пика.
В статьях [22–27] для описания формы импульса предлагалась следующая функция F(t) = ( t0 /(t0 + |t – tmax|) )αRF, αBS , где tmax — время максимума наибольшего импульса GRB; t0 — параметр ширины импульса; αRF и αBS — параметры крутизны нарастания (t < tmax) и затухания (t ≥ tmax) импульса. Эта форма импульса отличается острым пиком.
(в) В работах [22–27] показано, что при суммировании (нормированных на «пик») GRB, выстроенных по главному пику, остается только один главный двухсторонний импульс, а все остальные импульсы GRB при усреднении подавляются. Это означает, что индивидуальные импульсы распределены случайно во времени. Усредненный по выборке профиль GRB, выстроенных по главному пику, оказался похож на несимметричный двухсторонний импульс.
В ряде статей [12, 18, 22–27] найдено, что ширина усредненного профиля GRB антикоррелирует с яркостью и энергетической жесткостью GRB, т.е. ведет себя аналогично ширине индивидуального импульса.
Для нас важно, что индивидуальные импульсы распределены случайно во времени. Этот факт будет использован при МК-моделировании.
КРАТКИЙ ОБЗОР НЕКОТОРЫХ РЕЗУЛЬТАТОВ ТЕОРЕТИЧЕСКИХ ИССЛЕДОВАНИЙ PDS
В работах [1–3], для описания флуктуаций плазмы в термоядерном реакторе типа «Токамак» (Alcator C-Mod), предлагается модель стохастического процесса, заданного суперпозицией нескольких (K) случайных импульсов на временном интервале длительностью (T)
(1)
где каждый импульс f(θ) характеризуется амплитудой Ak, временем появления tk и длительностью τk. Предполагается, что все импульсы не коррелированы, независимы и имеют одинаковые распределения. Время появления импульсов tk на временном интервале T имеет однородное распределение с плотностью вероятности 1/T.
В настоящем кратком обзоре исследований [1–3], по возможности, сохраняются обозначения из указанных работ.
Распределение длительности импульсов τk задано функцией Pt(τ), а средняя длительность импульса определяется по формуле
где (τ = 0, ∞) (2)
Спектр мощности pf(ω) формы отдельного импульса f(θ) вычисляется в статье [1], как преобразование Фурье от автокорреляционной функции формы импульсов
(3)
где (θ = –∞, ∞),
(4)
где (χ = –∞, ∞),
где (θ = –∞, ∞)
или как квадрат модуля преобразования Фурье φ(ω) от формы импульса
(5)
где φ(ω) = ∫f(θ)·exp(–i ωθ)·dθ , где (θ = –∞, ∞).
Средняя величина сигнала (1) равна
(6)
где среднее время между импульсами как τw = T/<K>. Здесь <K> обозначает среднее случайной величины количества импульсов K [1].
Дисперсия сигнала (1) (для больших T) равна
(7)
Среднее и дисперсия сигнала не зависят от распределения длительности [1].
Перемежаемость γ определяется [1] как отношение длительности импульса к среднему времени между импульсами
(8)
Перемежаемость определяет степень перекрытия импульсов. Когда перемежаемость мала γ << 1, импульсы изолированы друг от друга. Когда перемежаемость велика γ >> 1, импульсы перекрываются, и реализация случайного процесса становится похожей на случайный шум.
Автокорреляционная функция сигнала (1) для временного сдвига r после замены переменных Φ’(t) = (Φ–<Φ>)/Φrms определяется [1] выражением
(9)
где (τ = 0, ∞)
Из выражения (9) следует, что автокорреляционная функция определяется формой импульса, через автокорреляционную функцию ρf(θ) импульса (4), и плотностью функции вероятности Pτ(τ) распределения длительности [1].
Плотность спектра мощности сигнала (1) определяется после замены переменных Φ’(t) = = (Φ–<Φ>)/Φrms [1] выражением
(10)
где (τ = 0, ∞)
Спектр мощности ΩΦ’ (10) определяется [1] формой импульса, через спектр мощности импульса pf, и плотностью функции вероятности Pτ распределения длительности.
Авторы исследований [1–3] отмечают, что спектр мощности ΩΦ’(ω) не зависит ни от распределения амплитуды PA, ни от параметра перемежаемости γ.
Приведенные выше выражения для автокорреляционной функции и спектральной плотности были выведены в работе [1] для произвольной формы импульса.
Используя единичную ступенчатую функцию Q(θ), для удобства вычислений, авторы [1, 2] представляют каждый двухсторонний импульс в виде суммы двух импульсов «фронта» (до максимума) и «хвоста» (после максимума):
(11)
где l — параметр асимметрии, (отношение длительности «фронта» к полной длительности l = τr/τd), (0 < λ <1), Q(θ) — единичная ступенчатая функция Хевисайда (Q(θ) = 1, если θ ≥ 0, и Q(θ = 0, если θ < 0). При λ < 1/2 время нарастания импульса (фронта) τr меньше времени затухания (хвоста) импульса τdecay = (1−λ)·τd, при λ = 1/2 имеем симметричный импульс.
При λ = 0 получаем односторонний затухающий импульс
(12)
Спектр мощности формы одностороннего экспоненциального импульса [1] равен
(13)
Тогда спектр мощности суперпозиции односторонних экспоненциальных импульсов [1]
(14)
имеет форму функции Лоренциана. Эта функция плоская на низких частотах и имеет степенную форму с индексом наклона 2 на высоких частотах.
В качестве иллюстрации приведем график (рис. 1) функции Лоренциана (или распределения Коши – Лоренца, или Брейт – Вигнера) в логарифмическом масштабе.
Интересно отметить, что для нормированного случайного процесса Φ(t) (1), состоящего из двухсторонних экспоненциальных импульсов, равномерно случайно распределенных во времени, с экспоненциальным распределением амплитуды импульсов, случайная величина сигнала Φ’(t) = (Φ – <Φ>)/Φrms, имеет Гамма-распределение [2]
P(Φ’) = (g1/2/Γ(g))∙(g+g1/2∙Φ’)γ–1exp(–g –g1/2∙Φ’),
где Γ – гамма-функция, γ = (τd/τw) — параметр формы или перемежаемость (8).
Спектр мощности одного двухстороннего экспоненциального импульса равен [1]
(15)
Спектр мощности суперпозиции двухсторонних экспоненциальных импульсов с постоянной длительностью [1, 2] имеет вид
(16)
также, переходя от угловой частоты ω к частоте колебаний n = ω/2p, можно записать
(17)
или
(18)
где две частоты n1 и n2 определяют положение изломов спектра
(19)
(20)
Преимущество в использовании пары параметров λ и τd будет объяснено ниже.
Как следует из формул (17) и (18) средний спектр мощности <PDS> суперпозиции двухсторонних экспоненциальных импульсов имеет три степенных участка с разными наклонами [1]. При малых n → 0 средний спектр мощности PDS плоский, т.е. индекс наклона равен 0. При n1 < n < n2 индекс наклона <PDS> равен 2, а при n > n2 индекс наклона <PDS> равен 4. Иначе говоря, первые два участка имеют форму Лоренциана, а третий участок — форму произведения «хвостов» двух Лоренцианов. Как будет показано ниже, три степенных участка в <PDS> становятся явно выраженными при l < 0.1.
Заметим, что, функционально подобная (18), формула (20) для спектра мощности одиночного двухстороннего экспоненциального импульса была получена в работе [9]. Однако это не привело авторов [9] к объяснению особенностей формы PDS.
В статьях [1–3] были рассмотрены сигналы с разнообразными формами импульсов, с разнообразными распределениями длительности, и получены формулы для <PDS>.
Для большинства из рассмотренных в работах [1–3] форм импульсов и распределений длительности <PDS> имеет Лоренциан-подобную форму.
Отметим наличие явных параллелей между особенностями средних спектров мощности, найденными в теоретических работах [1–3], и особенностями средних спектров мощности, обнаруженными при исследованиях GRB [4–7]. Отличие состоит только в том, что величина индексов наклона в <PDS> GRB для второго и третьего участков <PDS> меньше, чем индексы наклонов в формулах (17), (18).
МОНТЕ-КАРЛО ИССЛЕДОВАНИЕ <PDS>
Монте-Карло моделирование результатов исследований работ [1–3]
Во всех симуляциях предполагается, что фон отсутствует.
Положение каждого импульса на временной шкале (в массиве из L = 4000 бинов длительностью по dT = 0.02 секунды) подчиняется однородному распределению (как и в работах [1–3]), т.е. пуассоновскому распределению интервалов между импульсами. Никаких корреляций между параметрами и между распределениями параметров не вводилось. Для каждого массива вычислялся спектр мощности PDS в нормировке “Leahy” [14]. Затем вычислялся средний спектр мощности <PDS> за K = 1000 Монте-Карло симуляций.
Влияние параметра асимметрии на форму <PDS>
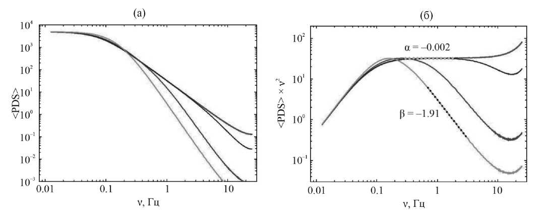
На каждом из K = 1000 массивов длиной L = 4000 бинов разыгрывается положение только одного двухстороннего экспоненциального импульса постоянной амплитуды A = 25 при постоянной величине параметра длительности τd = 2. Параметр асимметрии принимает несколько значений λ = τrise/τduration = (0.001, 0.01, 0.1, 0.5). Результат МК-симуляции представлен на рис. 2а,б в виде зависимости <PDS> и <PDS>×n2 от частоты для разных значений параметра асимметрии l.
Рис. 2. Зависимость и ×n2 от частоты для разных значений параметра асимметрии. Кривые для разных величин (l = 0.001, 0.01, 0.1, 0.5) — красная, синяя, фиолетовая, зелёная кривая соответственно (сверху вниз по правому краю), для двухсторонних экспоненциальных импульсов постоянной амплитуды и постоянной длительности td = 2. На рис. 2б точками на кривых показаны участки аппроксимации, которым соответствуют (в шкале PDS×n2) индексы наклона α = –0.02 и β = –1.91.
Загиб вверх хвоста PDS на высоких частотах — следствие эффекта просачивания мощности (leakage) из следующего, соседнего, периода спектра PDS; т.е. появления высокочастотных составляющих, которых не было в исходном сигнале из-за ограничения длительности массива данных прямоугольным окном. На эту особенность в спектрах <PDS> не следует обращать внимание здесь и далее.
Можно видеть, что, в соответствии с формулами (17), (18) средний спектр мощности [1–3] имеет предсказанную форму <PDS> ~ [1+(n/n1)2 ]–1 × × [1+(n/n2)2]–1, где две частоты n1 и n2 определяют положение изломов спектра n1 = (2π τd)–1 ·(1–λ)–1, n2 = (2π τd)–1·λ-1.
Причем, первый участок PDS плоский, т.е. имеет индекс наклона, приблизительно равный 0; второй участок имеет индекс наклона, равный примерно –2; третий участок имеет наклон приблизительно –4.
При 0.5 > l ≥ 0.1 выделить оба излома становится трудно, они сливаются в один перегиб на низкой частоте. Только один низкочастотный излом может наблюдаться и при λ ≪ 1.
Положение изломов на графиках зависимости <PDS> от частоты, как следует из формул (17)–(20), определяется величиной параметра асимметрии λ и величиной параметра длительности τd.
Если τdecay > τrise, или λ < 0.5, положение низкочастотного излома n1 определяется длительностью «хвоста» импульса, а положение высокочастотного излома n2 — длительностью «фронта» импульса.
Влияние распределения амплитуды на форму <PDS>
Хотя в работе [1] показано, что <PDS> не зависит от распределения амплитуды, тем не менее, имея в виду найденную в работах [4–7] зависимость индекса наклона <PDS> от яркости группы GRB, с помощью МК-симуляции проверим, имеется ли зависимость <PDS> от распределения амплитуды.
Рассмотрим результаты МК-симуляции одного двухстороннего экспоненциального импульса для различных распределений амплитуды при постоянных значениях параметров td и l.
Если амплитуда имеет «нормальное» распределение A ~ N(mA, sA2) с постоянным средним (mA = 25) и стандартным отклонением (σA = 0, 2.5, 5, 10, 20) то, как видно из рис. 3, форма среднего спектра мощности PDS не изменяется, при постоянных (td = 2), (l = 0.01). При большой величине σA = 20 форма <PDS> также не изменяется, но увеличивается величина <PDS>.
Рис. 3. Зависимость и ×n2 от частоты для разных значений величины стандартного отклонения амплитуды (σA = 0, 2.5, 5, 10 и 20), распределённой по нормальному закону N(А, σA2) для среднего A = 25, при постоянных величинах параметра асимметрии (l = 0.01) и длительности (td = 2). Для значений величины стандартного отклонения амплитуды (σA = 0, 2.5, 5, 10) четыре кривых сливаются в одну.
На рис. 4 представлены средние спектры мощности для равномерного и лог-нормального распределений амплитуды, при постоянных величинах параметра асимметрии (l = 0.02) и длительности (td = 10).
Рис. 4. (а) — зависимость ×n2 от частоты, для равномерного распределения амплитуды, при постоянных величинах параметра асимметрии (l = 0.02) и длительности (td = 10). Сплошным кривым (снизу вверх) соответствуют однородно распределенные амплитуды (Amax = 20, 50, 200). Точечным кривым, снизу вверх, соответствуют постоянные значения амплитуд (Amax = 10, 25, 100). (б) — зависимость ×n1.6 от частоты, при постоянных величинах параметра асимметрии (l = 0.02) и длительности (td = 10). Для равномерного распределения амплитуды сплошным кривым, снизу вверх, соответствуют амплитуды (Amax = 20, 50, 200). Для логнормального распределения амплитуды, A ~ LogN(m, s), точечным кривым, снизу-вверх, соответствуют значения (m = 2, 3, 4) при (s = 1). (в) — зависимость ×n1.6 от частоты, при постоянных величинах параметра асимметрии (l = 0.02) и длительности (td = 10). Для логнормального распределения амплитуды, A ~ LogN(mA, sA2), сплошным кривым, снизу вверх, соответствуют значения (mA, sA) = (1.5, 0.5),(2.3, 1.2), (3.2, 1.6).
Если амплитуда имеет равномерное распределение, то форма среднего спектра мощности <PDS>, как видно из рис. 4, почти не изменяется и практически совпадает со спектром <PDS> для постоянной амплитуды (на рис. 4а трудно различить сплошные и точечные кривые).
Если амплитуда имеет логнормальное распределение A ~ LogN(mA, sA2), с плотностью вероятности fA(x) = (xs(2p)1/2)–1 exp[–(lnx–m)2/(2s2)], то при (sA = 1) форма среднего спектра мощности <PDS> также не изменяется и совпадает с формой <PDS> для равномерного распределения амплитуды.
Если амплитуда имеет логнормальное распределение A ~ LogN(mA, sA2) и оба параметра (mA, sA2) переменные, тогда, как можно видеть на рис. 4в, форма <PDS> также не изменяется.
Таким образом, в соответствии с теорией [1–3], ни величина амплитуды, ни закон распределения амплитуды практически не влияют на форму <PDS>.
Это не соответствует найденной в работах [4–7] зависимости наклона <PDS> от яркости выделенной группы GRB. Но, может быть, изменение яркости приводит к изменению каких-то других параметров? Возможно, эта зависимость обусловлена не величиной «яркости» (амплитуды), а связана с изменением формы импульсов и величины перемежаемости (наложения импульсов) при изменении наблюдаемой яркости GRB.
Вспомним, (например рис. 1 в работе [5]), что яркие GRB, как правило, имеют многопиковую структуру с большой долей перекрывающихся импульсов, а, наложение импульсов приводит к изменению их формы.
В соответствии с формулой (10), <PDS> зависит от pf, спектра мощности импульса, и от Pτ — плотности функции распределения длительности импульсов.
Влияние перемежаемости на форму <PDS>
Величина перемежаемости, определяемая как отношение средней длительности импульса к среднему времени между импульсами (g = td/tw), характеризует перекрытие (наложение) соседних импульсов. На рис. 5 для иллюстрации показан временной профиль десяти (Np = 10), однородно распределенных на временной шкале, двухсторонних экспоненциальных импульсов, с параметром длительности, имеющим однородное распределение с максимальной длительностью (td_max = 10); при постоянной амплитуде A = 25 и параметре асимметрии l = 0.02. В этом случае величина перемежаемости равна g = 0.625.
Рис. 5. Интенсивность двухсторонних экспоненциальных импульсов, с однородным распределением на временной шкале, для средней величины перемежаемости g = 0.625 (количество импульсов, случайно распределенных на массиве, Np = 10), равномерно распределенной длительности td_max = 10, постоянных амплитуде A = 25 и параметре асимметрии l = 0.02.
На следующем рис. 6 представлен график зависимости <PDS>×n2 двухсторонних экспоненциальных импульсов от частоты (при постоянной амплитуде A = 25 и параметре асимметрии l = 0.02) для трех значений постоянной длительности (td = 5, 10, 20) и двух значений количества импульсов (Np = 1 или 10) (сверху вниз, попарно). Сплошным кривым соответствует (Np = 1), а пунктирным (Np = 10). Импульсы равномерно случайно распределены на массиве длиной TL = 80 с. Среднее время между импульсами для (Np = 1 или 10), соответственно, (tw = TL/Np = = 80 или 8). Тогда для Np = 1 получаем величины перемежаемости g = td/tw = (0.0625, 0.125, 0.25), а для Np = 10 величины перемежаемости g = (0.625, 1.25, 2.5). На рис. 6, для лучшего представления, средние <PDS>×n2 для (td = 10, 20) умножены, соответственно, на 0.4 и 0.1.
Рис. 6. Графики зависимости ×n2 двухсторонних экспоненциальных импульсов от частоты, при постоянной длительности (td = 5, 10, 20) и постоянной амплитуде импульсов, соответствуют значениям перемежаемости g = td/tw = (0.0625, 0.125, 0.25) или (0.625, 1.25, 2.5) (сверху вниз) для количества импульсов (Np = 1 или 10), равномерно случайно распределенных на массиве длиной TL = 80 секунд. Среднее время между импульсами tw = TL/Np. Средние ×n2 для (td = 10, 20) умножены соответственно на 0.4 и 0.1. Сплошные кривые соответствуют Np = 1, а пунктирные кривые Np = 10.
При малых величинах перемежаемости (g << 1) (верхняя пара кривых) перекрытие импульсов происходит редко и PDS практически не зависит от g, но при (g >≈ 1) форма <PDS> существенно изменяется (рис. 6). Причина изменения очевидна — это результат изменения формы импульсов вследствие наложения соседних импульсов.
Влияние распределения длительности импульсов на форму <PDS>
Нормальное распределение длительности двухсторонних экспоненциальных импульсов. Рассмотрим, как зависит <PDS> от стандартного отклонения нормально распределенной длительности двухсторонних экспоненциальных импульсов с параметром асимметрии l = 0.01, при Np = 1.
Если длительность имеет нормальное распределение td ~ N(md, sd2) с постоянным средним (md = 2), то, как видно на рис. 7, для нескольких значений стандартного отклонения (σd = 0, 1, 2, 3, 4), форма (наклон второго участка <PDS>) среднего спектра мощности <PDS> изменяется. Причем, сначала монотонно (для σd = 0, 1, 2), затем — немонотонно (для σd = 3, 4). Наименьший наклон для второго участка <PDS> равен ~1.7 (точечная кривая).
Рис. 7. Зависимость ×n2 от частоты для разных значений величины стандартного отклонения длительности (td = 2, σd = 0, 1, 2, 3, 4), распределённой по нормальному закону, при постоянных величинах параметра асимметрии (l = 0.01) и амплитуды (A = 25). Форма изменяется сначала монотонно (σd = 0, 1, 2) — красная, синяя, фиолетовая кривые (снизу вверх), затем — немонотонно (σd = 3, 4) — черная точечная, зеленая пунктирная кривые.
Рассмотрим два примера с широким распределением длительности импульсов: равномерное и логнормальное.
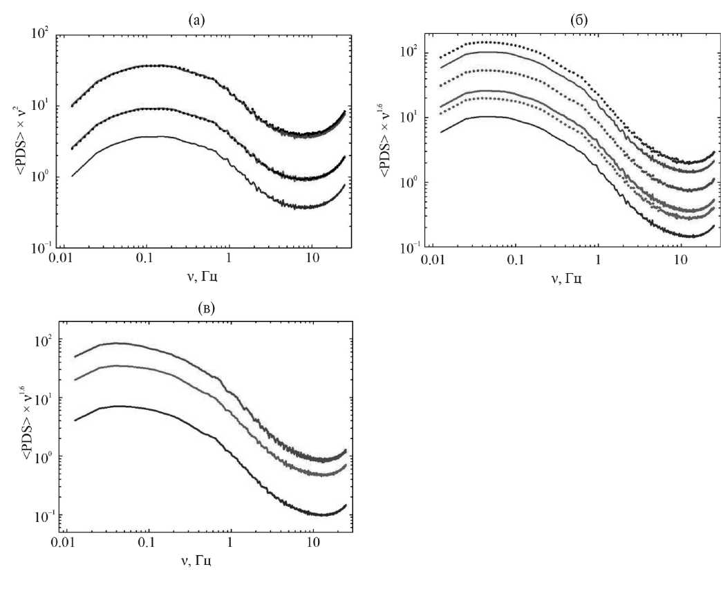
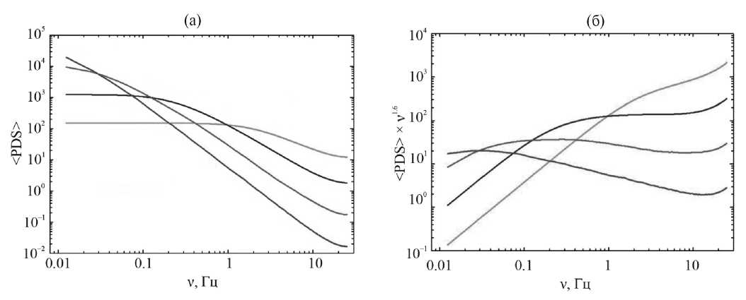
Равномерное распределение длительности τd двухсторонних экспоненциальных импульсов (при Np = 1). Распределение длительности импульсов получается умножением заданной величины длительности τd_max на равномерно распределенную случайную величину ξ (0.02 < ξ < 1).
На рис. 8 приведены графики средних спектров мощности <PDS> в нормировке Leahy [14] для нескольких значений τd_max = 0.1, 1.0, 10, 100 при λ = 0.02 и амплитуде A = 25.
Рис. 8. Зависимость (а) и ×n1.6 (б) от частоты для нескольких значений равномерно распределенного параметра τd_max = 0.1, 1.0, 10, 100 (сверху вниз по правому краю), при постоянных λ = 0.02 и амплитуде A = 25, двухсторонних экспоненциальных импульсов.
Можно видеть (рис. 8), что положение изломов на графиках <PDS> (n1 = (2π τd)–1·(1– λ)–1) и (n2 = (2π τd)–1·λ–1), где τd = τd_max/2 — средняя длительность, соответствует теории [1–3]. При больших значениях τd оба излома находятся в низкочастотной части спектра и сливаются в один изгиб. Форма <PDS>, в соответствии с формулой (10), зависит от функции распределения длительности импульсов и существенно изменяется при изменении τd_max. Индекс a наклона второго участка <PDS> уменьшается при уменьшении τd.
Логнормальное распределение длительности импульсов. Теперь рассмотрим лог-нормальное распределение для двух типов формы импульсов: двухсторонней экспоненциальной формы и “Norris”-формы [10], предложенной для описания средней формы GRB.
Форма “Norris”-импульса определяется функцией I(t) = A∙η·exp(–τ1/t–t/τ2), где η = exp(2k) — нормировочный множитель; k = √(τ1/τ2); A — амплитуда; t > 0. Пик импульса достигается при tpeak = √(τ1τ2).
При МК-симуляции для Norris-импульса использовался параметр асимметрии в виде в виде λ = τ1/(τ1+τ2).
Длительность импульсов имеет логнормальное распределение td ~ LogN(md , sd2), с плотностью вероятности fτ(x) = (xs(2p)1/2)–1 exp[–(lnx–m)2/(2s2)].
На рис. 9 приведены средние спектры мощности <PDS> для двух типов формы импульсов — двухсторонней экспоненциальной формы (пунктирные кривые) и “Norris”-формы [10] (сплошные кривые)), с логнормальным распределением длительности импульсов, при Np = 1, A = 25, l = 0.02, md = 1, (sd = 0.5, 1.0, 1.5).
Рис. 9. Зависимость (а) и×n1.6 (б) от частоты для логнормального распределения длительности td ~ LogN(md , sd2) импульсов, имеющих двухстороннюю экспоненциальную форму (пунктирные кривые) и “Norris”-форму [10, 11] (сплошные кривые), с параметрами логнормального распределения μd = 1; sd = 0.5, 1.0, 1.5 (снизу вверх по правому краю рисунка), при постоянных λ = 0.02 и амплитуде A = 25.
Можно видеть, что (при логнормальном распределении длительности) <PDS> для обеих форм импульсов имеют более плавные изломы при больших величинах sd, причем первый излом смещается к высоким частотам. Наклон третьего участка <PDS> для импульсов с “Norris”-формой больше, чем для импульсов двухсторонней экспоненциальной формы.
Посмотрим (рис. 10), как влияет изменение параметра md (импульсов, имеющих двухстороннюю экспоненциальную форму) на форму <PDS>.
Рис. 10. Зависимость (а) и ×n1.6 (б) от частоты для логнормального распределения длительности td ~ LogN(md , sd2) импульсов, имеющих двухстороннюю экспоненциальную форму, с параметрами логнормального распределения μd =–3, –2, –1, 0, 1, 2 (сверху вниз по правому краю рисунка); sd = 1; при постоянных λ = 0.02 и амплитуде A =25.
Можно видеть (рис. 10), что при больших значениях μd первый излом <PDS> смещается к низким частотам, наклон второго участка <PDS> увеличивается.
Следовательно, при логнормальном распределении длительности, на положение изломов <PDS> влияют оба параметра логнормального распределения (md и sd2).
Только для однородного распределения длительности в работе [1] получено аналитическое выражение для <PDS>. Для логнормального распределения длительности аналитическое выражение для <PDS> в работах [1–3] не приводится.
В случае однородного распределения длительности импульсов эффективное τd = τd_max/2. В случае логнормального распределения длительности, естественно предположить, что эффективное τd пропорционально величине, соответствующей максимуму распределения, т.е. величине моды распределения длительности Mode(fτ(x)) = exp(md – sd2).
Для описания формы распределения PDS в случае Лоренциан-подобных распределений можно предложить более общую формулу
<PDS> ~ [1 + (n /n1)δ1]–1 × [1 + (n /n2)δ2]–1, (21)
где наклоны второго и третьего участков PDS определяются индексами (δ1 и δ2), а частоты изломов (n1 и n2) по-прежнему определяются формулами (19) и (20).
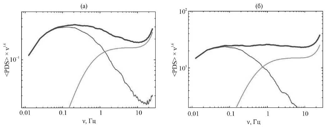
На рис. 11в приводится аппроксимация по формуле (27) <PDS>, полученного МК-симуляцией импульсов, имеющих “Norris”-форму, при постоянных λ = 0.02 и A = 25, с логнормальным распределением длительности td ~ LogN(md, sd2), с параметрами m1 = 2.5, σ1 = 2.
Рис. 11. Зависимость ×n1.6 от частоты для логнормального распределения длительности td ~ LogN(md, sd2) импульсов, имеющих “Norris”-форму, при постоянных λ = 0.02 и A = 25. представлен в виде суммы = = (m1, σ1)+ε×(m2, σ2), где (mj, σj) параметры лог-нормальных распределений импульсов td ~ LogN(md, sd2), (j =1, 2), ε – малая константа. (а) — красной кривой соответствуют параметры (m1 = 2, σ1 = 1), (m2 = –1.5, σ 1= 0.5), ε = 0.1; фиолетовой кривой — (m1 = 2, σ1 = 0.5), (m2 = –1.5, σ1 = 0.5), ε = 0.11; синей точечной кривой — (m1 = 2.5, σ1 = 2), (m2 = –1.5, σ1 = 0.5), ε =0.02. Три прямых, наложенных на точечную кривую, участки степенной аппроксимации с индексами наклона (1.6–0.37, 1.6–0.006, 1.6+0.36) (слева направо). (б) — отдельно показаны компоненты синей точечной кривой из рис. 11a. Здесь сплошная синяя кривая соответствует синей точечной кривой из рис. 11a; точечная кривая — с параметрами (m1 = 2.5, σ1 = 2), пунктирная кривая 0.02×(m2 = –1.5, σ1 = 0.5); (в) — точечная кривая из рис. 11б соответствует (m1 = 2.5, σ1 = 2) только «длинных импульсов». Сплошная линия — аппроксимация по формуле (21).
Подводя промежуточный итог МК-симуляций отметим, что амплитуда импульсов и ее распределение практически не влияет на форму <PDS>, в то время как форма импульсов и распределение длительности оказывают такое влияние. Кроме того, отметим, что при больших величинах перемежаемости (g ≈> 1) изменяется форма импульсов, (что приводит к изменению формы <PDS>), а также изменяется эффективная длительность, (что приводит к изменению положения изломов в <PDS>).
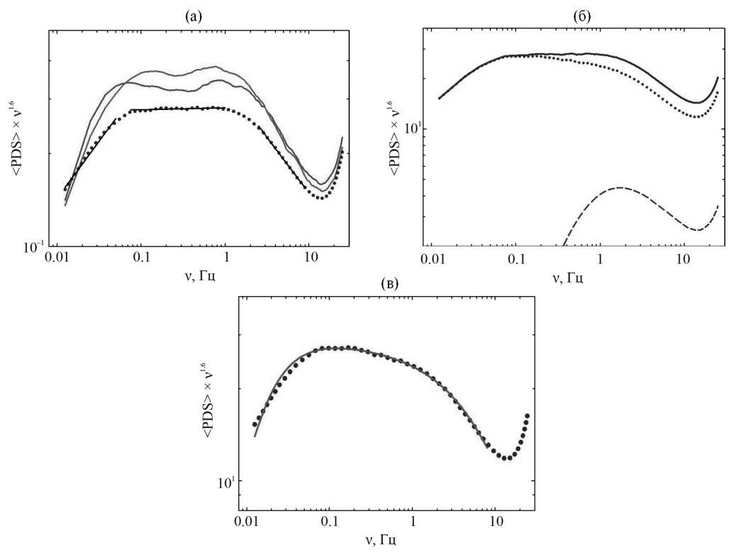
СРАВНЕНИЕ С ЭКСПЕРИМЕНТАЛЬНЫМ <PDS>
Попытаемся сконструировать <PDS>, подобный полученному в эксперименте среднему спектру мощности GRB (рис. 2 в статье [6]) с индексом наклона второго участка <PDS> a ≈ 1.6 и индексом наклона третьего участка b ≥ 2. Известно, что распределение параметров T90 и T50 хорошо описывается логнормальным распределением. Естественно ожидать, что и распределение эффективной длительности отдельных импульсов GRB имеет подобное распределение. При этом нужно помнить, что GRB часто имеют многопиковую структуру [10].
Следовательно, реальная средняя длительность и форма импульсов, из которых состоит GRB, существенно меньше полной длительности GRB, и параметры логнормального распределения длительности импульсов могут значительно отличаться от параметров распределений T90 и T50.
Оказалось, что получить один PDS с двумя изломами на нужных частотах и с индексом наклона между изломами ≤1.6 трудно. Поэтому, для объяснения формы <PDS>, полученной в нашей предыдущей работе [6], будет использован <PDS> в виде суммы двух <PDS> с разными параметрами и разными весами.
Напомним, что в работах [6, 7] исследовались средние спектры мощности <PDS> временных профилей «длинных» GRB, длительностью (T90 > 2 с), полученных в эксперименте BATSE. А распределение GRB по величинам T90 двухпиковое, со слегка перекрывающимися логнормальными пиками. Следовательно, в исследованной выборке GRB [6, 7] могла присутствовать малая доля коротких GRB. В среднем спектре <PDS> были найдены два излома на частотах n1 ≈ 0.07 Гц и n2 ≈ 1.0 Гц. Индекс наклона <PDS> между изломами примерно равен 1.6.
Используем возможность наличия малой примеси коротких GRB в исследованной выборке для получения «нужной» (найденной в работе [6]) величины индекса наклона.
Т.е. представим <PDS> в виде суммы
<PDS> = <PDS>(m1, σ1)+ε×<PDS>(m2, σ2), (22)
где (mj, σj) — параметры логнормальных распределений длительности импульсов (j = 1, 2); ε — малая константа.
Была сделана попытка подобрать параметры двух компонент формулы (22) для описания формы <PDS> реальных GRB (рис. 2 в статье [6]).
На рис. 11 представлены графики средних спектров мощности <PDS>×n1.6 МК-симуляции импульсов “Norris”-формы с параметром асимметрии l = 0.02, и логнормальным распределением длительности td ~ LogN(md, sd2) двух компонент. Амплитуда A = 25, N = 1.
Можно видеть, что синяя кривая (рис. 11а,б), соответствующая сумме (22) «длинных импульсов» (m1 = 2.5, σ1 = 2) с примесью ε = 0.02 «коротких импульсов» (m2 = –1.5, σ1 = 0.5) достаточно хорошо повторяет все особенности <PDS> реальных GRB (рис. 2 в статье [6]).
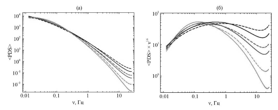
Если вместо логнормального распределения длительности импульсов использовать равномерное распределение, то, как видно на рис. 12, <PDS> становится более плавным, без резких изломов. В этом случае появляется возможность получения более протяженного по частоте квазистепенного участка <PDS> с индексом наклона ~1.6.
На рис. 12 показаны графики для суммы двух средних <PDS> с равномерными распределениями длительности двухсторонних экспоненциальных импульсов, (при l = 0.02, A = 25), т.е. <PDS> = <PDS>(td_1)+ε×<PDS>(td_2).
Рис. 12. График суммы двух средних спектров мощности×n1.6 для равномерного распределения длительности двухсторонних экспоненциальных импульсов. (а) соответствует = (td_max = 16)+0.07× ×(td_max = 0.5); (б) — = (td_max = 32)+0.1×(td_vax = 0.5).
Подбирая соотношение двух средних<PDS> с разными длительностями (рис. 12б), можно получить квазистепенной спектр на протяжении более двух порядков величины по частоте.
ОБСУЖДЕНИЕ
В настоящей статье проведена МК-симуляция двухсторонних экспоненциальных импульсов и “Norris”-импульсов. Показано, что все основные свойства среднего спектра мощности <PDS> таких импульсов соответствуют теоретическим работам [1–3].
В <PDS> можно выделить три участка, причем первые два имеют форму, подобную Лоренциан-функции. Если длительность постоянная, то (рис. 2) в соответствии с формулами (17)–(18) первый участок <PDS> имеет индекс наклона, равный ≈0; второй участок имеет индекс наклона, равный ≈–2; третий участок имеет наклон ≈–4.
Положение двух изломов n1 и n2 в спектре <PDS> определяется величинами двух параметров импульса: длительностью τd и асимметрией λ, но может быть также выражено через длительность фронта импульса (τr ≡ τrise) и длительность спада импульса τdecay.
В спектре <PDS> [1–3] положение «низкочастотного» излома (19) приходится на величину частоты n1 ≈ (2π τd)–1·(1–λ)–1 = (2π τdecay)–1 , т.е. определяется величиной времени спада импульса, а положение «высокочастотного» излома (20) на частоту n2 ≈ (τd 2π)–1 ·λ–1 = (2π τrise)–1, т.е. определяется временем фронта импульса.
Наличие изломов в <PDS> обязательно. Но, если импульсы симметричные, два излома сливаются в один. Весь спектр мощности <PDS> импульсов не может описываться одним степенным законом.
Низкочастотный участок <PDS> вплоть до первого излома — это переходная область Лоренциан-функции от величины индекса наклона, равной нулю, до величины индекса наклона среднего участка <PDS>. Поэтому, величина индекса наклона первого участка <PDS> не существенна.
В случае «широких распределений» длительности (равномерного или логнормального) наклоны 2-го и 3-го участков <PDS> изменяются (становятся меньше).
Действительно, из теоретической формулы (10) [1] следует, что <PDS> зависит от распределения длительности (Pt) импульсов и формы (pf ~ <PDS> формы) импульсов.
По теории [1] <PDS> не зависит от перемежаемости. Однако МК-симуляция показала, что форма <PDS> не зависит от перемежаемости только при малых величинах γ < 1. Наложение импульсов при γ ≥ 1 приводит к изменению формы и длительности импульсов.
И теория [1–3] и МК-симуляции настоящей работы показывают, что форма <PDS> практически не зависит от амплитуды.
В работах [4–8] найдена зависимость формы <PDS> от амплитуды GRB, однако в публикациях [1–3] утверждается, что <PDS> не зависит от амплитуды, что подтверждает и проведенная МК-симуляция. Решение этого «противоречия» состоит в том, что, вследствие корреляции между амплитудой в пике импульса и длительностью импульса [15], найденная в работах [4–8] зависимость формы <PDS> от амплитуды GRB, на самом деле, является проявлением зависимости формы <PDS> от длительности.
Поскольку при больших энергиях импульсы у´же (т.е. средняя длительность импульсов меньше), чем на меньших энергиях [10, 11], очевидно, что «зависимость наклона <PDS> от энергии» объясняется зависимостью наклона <PDS> от средней длительности импульсов.
Отсутствие в работе [8] высокочастотного излома около ~1 Гц можно также объяснить тем, что структура исследованных SWIFT BAT GRB состояла из импульсов, имеющих отношение (R = trise/tdecay)~(0.3–0.5) (или, соответственно, параметр асимметрии l ≈ R/(1+R) ≈ 0.2–0.3). При таких величинах параметра асимметрии (рис. 2) оба излома попадают в низкочастотную область, в результате чего в <PDS> [8] вместо резкого излома появляется плавный перегиб в низкочастотной области.
Поскольку параметр асимметрии λ не зависит от величины z красного смещения GRB, когда <PDS> строится с учетом z, только эффективная величина длительности τd импульсов влияет на изменение положения изломов [8].
ЗАКЛЮЧЕНИЕ
Все основные свойства <PDS> теоретически выведенные в исследованиях [1–3] подтверждены посредством МК-симуляции временных рядов, состоящих из случайных импульсов. В общем случае форма <PDS> состоит из трех квазистепенных участков (с увеличивающимися индексами наклона), разделенных двумя изломами. Частоты изломов вычисляются по формулам (19)–(20). Распределение длительности импульсов и форма импульсов влияют на форму <PDS>. Распределение амплитуды импульсов практически не влияет на форму <PDS>.
Дополнительно показано, что широкие распределения длительности импульсов (логнормальное и равномерное) приводят к уменьшению индексов наклона второго и третьего квазистепенных участков <PDS>. Величина перемежаемости (при больших значениях γ ~>1) влияет на форму <PDS>.
Основываясь на теоретических работах [1–3] и МК-симуляциях настоящего исследования можно утверждать, что все особенности средних спектров мощности <PDS> GRB могут быть объяснены с помощью простой модели кривой блеска в виде суперпозиции некоррелированных случайных двухсторонних импульсов. Основные особенности <PDS> GRB определяются только такими характеристиками импульсов как параметр асимметрии, распределение длительности и форма импульсов.
Для объяснения свойств <PDS> кривых блеска GRB нет необходимости в привлечении гипотезы самоподобия спектров мощности или теории фракталов.
Настоящая статья не претендует на решение проблемы физического механизма, лежащего в основе работы «центральной машины»источника гамма-всплеска. Можно отметить хорошо известные работы [29, 30], в которых вычисляется форма рентгеновского или гамма-импульса, образующегося при диффузионном распространении возмущения в плазменном диске [29] или при комптонизации в шаровой плазме [30]. В статье [29] показано, что в результате диффузионного распространения возмущений в дискообразной конфигурации и диффузионного распространения рентгеновских фотонов из внутренней части источника, появляется импульс, имеющий “FRED”-форму с быстрым нарастанием фронта и экспоненциальным убыванием. Такой импульс похож по форме на “Norris”-импульс. В статье [30] показано, в частности, если источник мгновенного возмущения находится в центре однородной шаровой плазмы [30], то формула для формы выходящего импульса имеет экспоненциальный множитель аналогичный множителю формы “Norris”-импульса.
About the authors
В. М. Лозников
Институт космических исследований РАН
Author for correspondence.
Email: vloznikov@yandex.ru
Russian Federation, Москва
References
- Garcia O.E., Theodorsen A. Auto-correlation function and frequency spectrum due to a super-position of uncorrelated exponential pulses // Physics of Plasmas. 2017. V. 24. Iss. 3. Art.ID. 032309. doi: 10.1063/1.4978955
- Theodorsen A., Garcia O.E. , Kube R., et al., Relationship between frequency power spectra and intermittent, large-amplitude bursts in the Alcator C-Mod scrape-off layer // Nucl. Fusion. 2017. V. 57. Art.ID. 114004. doi: 10.1088/1741-4326/aa7e4c
- Garcia O.E., Theodorsen A. Skewed Lorentzian pulses and exponential frequency power spectra // Physics of Plasmas. 2018. V. 25. Iss. 1. Art.ID. 014503. doi: 10.1063/1.5004811
- Beloborodov A.M., Stern B.E., Svensson R. Self-similar temporal behavior of Gamma-Ray Bursts // Astrophysical J. 1998. V. 508. P. L25–L27. doi: 10.1086/311710
- Beloborodov A.M., Stern B.E., Svensson R. Power Density Spectra of Gamma Ray Bursts // Astrophysical J. 2000. V. 535. P. 158–166.
- Pozanenko A., Loznikov V. Aperiodic properties of Gamma-Ray Bursts // GAMMA-RAY BURSTS: 5-th Huntsville Symposium. AIP Conf. Proc. 2000. V. 526. P. 220–224.
- Pozanenko A., Loznikov V. High Frequencies in Power Spectrum of Gamma-Ray Bursts // Lighthouses of the Universe: The Most Luminous Celestial Objects and Their Use for Cosmology: Proc. MPA/ESO/MPE/USM Joint Astronomy Conference. Garching, Germany, 6–10 August 2001. ESO ASTROPHYSICS SYMPOSIA. ISBN 3-540-43769-X / Ed. M. Gilfanov, R. Sunyaev, and E. Churazov. Springer-Verlag, 2002. Art.ID. 194.
- Guidorzi C., Margutti R., Amati L. et al. Average power density spectrum of Swift long gamma-ray bursts in the observer and in the source-rest frames // Mon. Not. R. Astron. Soc. 2012. V. 422. P. 1785–1803.
- Guidorzi C. Power-density spectrum of non-stationary short-lived light curves // Mon. Not. R. Astron. Soc. 2011. V. 415. P. 3561–3570.
- Norris J.P., Bonnell J.T., Kazanas D. et al. Long-Lag, Wide-Pulse Gamma-Ray Bursts // Astrophysical J. 2005. V. 627. Art.ID. 324.
- Norris J.P., Nemiroff R.J., Bonnell J.T. et al. Attributes of Pulses in Long Bright Gamma-Ray Bursts // Astrophysical J. 1996. V. 459. Art.ID. 393.
- Norris J.P., Nemiroff R.J., Scargle J.D. et al. Detection of signature consistent with cosmological time dilation in gamma-ray bursts // Astrophysical J. 1994. V. 424. Iss. 2. P. 540–545. doi: 10.1086/173912
- Meegan C.A., Pendleton G.N., Briggs M.S. et al. The Third BATSE Gamma-Ray Burst Catalog // Astrophysical J. Suppl. Ser. 1996. V. 106. P. 65–110.
- Leahy D.A., Darbro W., Elsner R.F. et al. On searches for pulsed emission with application to four globular cluster X-ray sources — NGC 1851, 6441, 6624, and 6712 // Astrophysical J. 1983. V. 266. P. 160–170.
- Hakkila J., Giblin T.W., Norris J.P. et al. Correlations between Lag, Luminosity, and Duration in Gamma-Ray Burst Pulses // Astrophysical J. 2008. V. 677. Iss. 2. doi: 10.1086/588094
- Hakkila J., Preece R.D. Unification of Pulses in Long and Short Gamma Ray Bursts: Evidence from Pulse Properties and their Correlations // Astrophysical J. 2011. V. 740. Art.ID. 104.
- Hakkila J., Preece R.D. Gamma-Ray burst pulse shapes: evidence for embedded shock signatures? // Astrophysical J. 2014. V. 783. Art.ID. 88.
- Stern B.E., A Stretched Exponential Law for the Average Time History of Gamma-Ray Bursts and Their Time Dilations // Astrophysical J. 1996. V. 464. Art.ID. 111.
- Band D., Matteson J., Ford L. et al., BATSE Observations of Gamma-Ray Burst Spectra. I. Spectral Diversity // Astrophysical J. 1993. V. 413. Art.ID. 281.
- Norris J.P., Davis S.P., Kouveliotou C. et al. Deconvolution of pulse shapes in bright gamma-ray bursts // AIP Conf. Proc. 1993. V. 280. P. 959–963.
- Минаев П.Ю., Позаненко А.С., Мольков С.В. и др. Каталог коротких Гамма-Транзиентов, зарегистрированных в эксперименте SPI INTEGRAL // Письма в астрономический журнал. 2014. Т. 40. № 5. С. 271–305.
- Mitrofanov I.G., Chernenko A.M., Pozanenko A.S. et al. The average temporal profile of BATSE gamma ray-bursts: Comparison between strong and weak events // AIP Conf. Proc. 1994. V. 307. P. 187–191.
- Litvak M.L., Mitrofanov I.G., Briggs M.S. et al. Studies of the time-stretching of GRBs using the average curves of emissivity // AIP Conf. Proc. 1998. V. 428. P. 256–260.
- Litvak M.L., Mitrofanov I.G., Briggs M.S. et al. The time stretching of the average rise fronts and back slopes of different intensity groups of BATSE GRBs // AIP Conf. Proc. 1998. V. 428. P. 176–180.
- Mitrofanov I.G., Litvak M.L., Ushakov D.A. Direct Test of the Cosmological Model for Cosmic Gamma-Ray Bursts Based on Peak Alignment Averaging // Astrophysical J. 1997. V. 490. P. 509–516.
- Mitrofanov I.G., Chernenko A.M., Pozanenko A.S. et al. The Average Intensity and Spectral Evolution of BATSE Cosmic Gamma-Ray Bursts // Astrophysical J. 1996. V. 459. Art.ID. 570.
- Mitrofanov I.G., Litvak M.L., Briggs M.S. et al., Average Emissivity Curve of BATSE Gamma-Ray Bursts with Different Intensities // Astrophysical J. 1999. V. 523. P. 610–616.
- Hakkila J., Horváth I., Hofesmann E. et al. Properties of Short Gamma-ray Burst Pulses from a BATSE TTE GRB Pulse Catalog // Astrophysical J. 2018. V. 855. Art.ID. 101. doi: 10.3847/1538-4357/aaac2b
- Titarchuk L., Shaposhnikov N., Arefiev V. Power Spectra of Black Holes and Neutron Stars as a probe of hydrodynamic structure of the source: Diffusion Theory and its application to Cygnus X-1 and Cygnus X-2 X-Ray observations // Astrophysical J. 2007. V. 660. Art.ID. 556.
- Sunyaev R.A., Titarchuk L.G. Comptonization of X-rays in Plasma Clouds. Typical Radiation Spectra // Astron. Astrophys. 1980. V. 86. Art.ID. 121.
Supplementary files














