Оценка ожидаемых доз радиации при перелете к Луне с использованием двигателей малой тяги
- Authors: Турундаевский А.Н.1, Николаева Н.И.1, Панов А.Д.1, Подзолко М.В.1, Подорожный Д.М.1, Рахимчанова К.Р.1
-
Affiliations:
- Московский государственный университет имени М. В. Ломоносова
- Issue: Vol 62, No 4 (2024)
- Pages: 385-388
- Section: Articles
- URL: https://journals.rcsi.science/0023-4206/article/view/272118
- DOI: https://doi.org/10.31857/S0023420624040081
- EDN: https://elibrary.ru/JIRENO
- ID: 272118
Cite item
Full Text
Abstract
Выполнены оценки поглощенных доз внутри космического аппарата при полете к Луне с помощью двигателей малой тяги. Учитываются особенности траектории, существенно отличающейся от гомановской. В частности, такая траектория связана с длительным пребыванием внутри радиационных поясов, что может вызвать нарушения в работе бортовой аппаратуры. Оказалось, что при длительной транспортировке пищевых продуктов возможна их порча под действием радиации. Это крайне важно для снабжения перспективных обитаемых станций на поверхности Луны или окололунной орбите. Представленные результаты могут быть использованы при подготовке будущих космических экспериментов.
Full Text
ВВЕДЕНИЕ
Идея использования при космических полетах двигателей малой тяги (обычно электрореактивных) развивается много лет [1–3]. Такой двигатель, в отличие от обычного жидкостного ракетного двигателя (ЖРД), работает в течение длительного времени. Разгон от опорной околоземной орбиты к Луне при этом идет не по гомановской эллиптической траектории, а по спирали. Полет занимает длительное время, но расход рабочего тела мал по сравнению с расходом топлива в ЖРД.
При использовании ядерного реактора в качестве источника энергии возможно создание многоразового межорбитального буксира. Такой аппарат может обеспечить доставку грузов с низкой околоземной орбиты на окололунную с существенно меньшими затратами, чем при использовании традиционных разгонных блоков с ЖРД. Это крайне важно в случае создания обитаемых станций на поверхности Луны или на окололунной орбите.
Еще в начале 1990-х гг. велись работы по ядерному межорбитальному буксиру «Геркулес» [1], был накоплен немалый задел, но работы были свернуты в силу известных политических причин. Сейчас ведутся работы по программе «Зевс» [3].
Особенности траектории при использовании двигателя малой тяги приводят к длительному (по сравнению с гомановской траекторией) пребыванию в пределах радиационных поясов. Требуются количественные оценки поглощенных доз.
МЕТОДИКА РАСЧЕТА
Для оценки доз, полученных при перелете, необходимо описать траекторию, потоки заряженных частиц на различных участках траектории, и поглощение этих частиц в слоях защиты.
Расчет траектории проводился в соответствии с работой [4]. Предполагалось, что сила тяги постоянна в течение всего полета и направлена по касательной к траектории. Тяга реактивного двигателя определяется скоростью истечения рабочего тела и расходом массы рабочего тела в единицу времени.
Прежде чем включится электрореактивный двигатель, аппарат должен быть выведен на низкую околоземную орбиту обычной ракетой-носителем. При расчете предполагалось, что начальной является круговая орбита высотой 800 км с наклонением 51.6°. Такая орбита достаточно высока, чтобы торможение остаточной атмосферой было несущественно. Изменение наклонения орбиты и маневры при приближении к Луне не учитываются. Возможные характеристики электрореактивного двигателя и космического аппарата опираются на информацию из открытых источников [1–4].
Рассматриваются два варианта использования двигателя: с тягой 6.5 и 13 Н. Рабочее тело – ксенон, скорость истечения принималась равной 45 км/с. Первоначальная масса аппарата на орбите 30 т, включая запасы ксенона.
В отличие от полета по гомановской траектории, при использовании двигателя малой тяги космический аппарат движется по спирали, постепенно увеличивая радиус орбиты. При этом в течение нескольких месяцев, даже в случае более высокой тяги, аппарат находится на высотах менее нескольких десятков тысяч километров, т.е. в пределах радиационных поясов Земли (РПЗ).
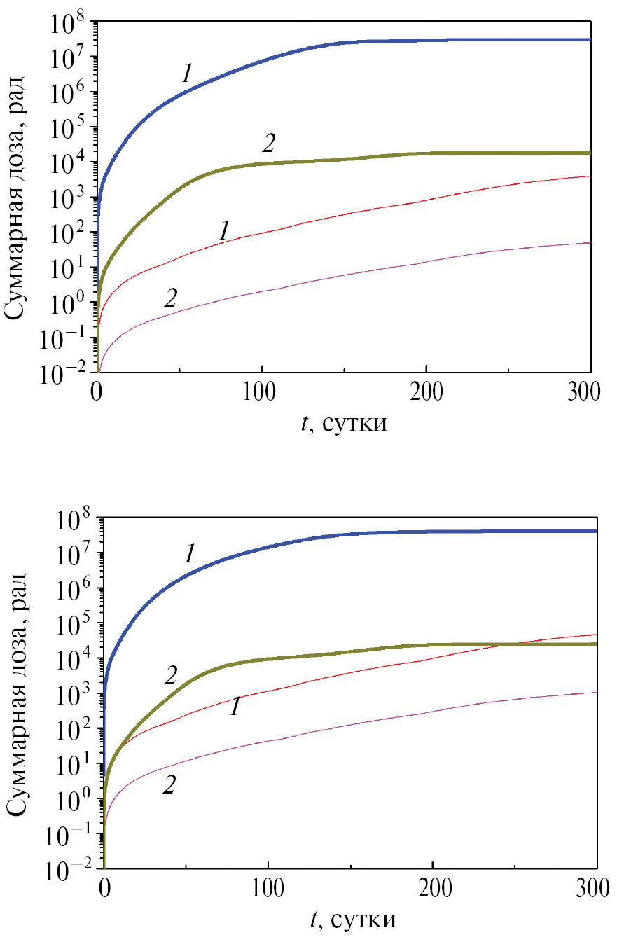
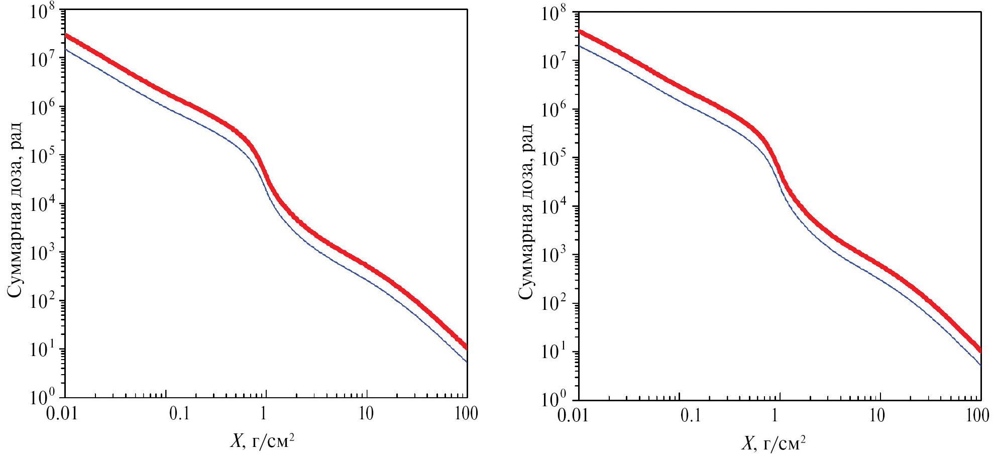
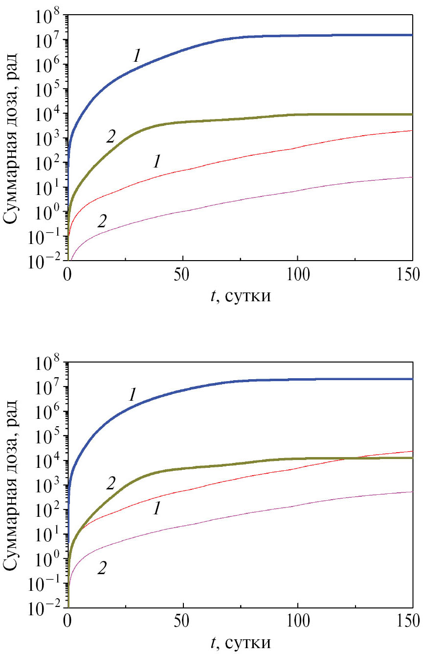
Радиационный фон формируется протонами и электронами радиационных поясов, а также потоками галактических космических лучей (ГКЛ) и солнечных космических лучей (СКЛ). Расчет проводился для минимума и максимума солнечного цикла по программе COSRAD, версия 4.3.0.5 [5]. В программе задаются параметры геоцентрической орбиты и характеристики солнечного цикла. Для расчета потоков частиц РПЗ применяется интерполяция таблиц, ранее рассчитанных по моделям AP8, AE8. Спектры частиц ГКЛ рассчитываются по динамической модели, учитывающей солнечную модуляцию. Для расчета энергетических спектров СКЛ используется вероятностная модель, которая устанавливает значения потока (в результате суммирования множества событий СКЛ) и его пиковой плотности. В данном расчете вероятность превышения расчетного потока СКЛ бралась равной 0.1. В принципе, за время полета может не быть высокоинтенсивных солнечных событий. Программа дает средний поток при заданной фазе солнечного цикла. Потоки и дозы за защитой оцениваются с использованием отдельно рассчитанных банков данных. Подробнее программа COSRAD описана в работе [5]. При расчете рассматривались различные возможные толщины защиты. На рис. 1 показана зависимость суточных доз радиации при толщинах защиты 0.01 и 1 г/см2 от радиуса орбиты. Кроме суммарных доз на рисунке показан вклад РПЗ и СКЛ. Вклад ГКЛ отдельно не показан, поскольку он многократно меньше, чем от других компонент, но учтен при расчете суммарной дозы. Чтобы описать спиральную орбиту, наигрывались банки данных для виртуальных круговых орбит, затем проводилась интерполяция с учетом времени пребывания космического аппарата на различных расстояниях от Земли. На рис. 2 показана зависимость накопленных доз от времени полета при тяге двигателя 6.5 Н. На рис. 3 – аналогичная зависимость при тяге двигателя 13 Н. На рис. 4 показана зависимость суммарной дозы радиации от толщины защиты. При увеличении толщины защиты доза быстро спадает. Причиной такого падения является то, что значительную часть частиц радиационных поясов составляют низкоэнергичные протоны и электроны, а в составе солнечных космических лучей много низкоэнергичных протонов и ядер. Низкоэнергичная компонента поглощается в наружном слое защиты.
Рис. 1. Зависимость суточной дозы радиации от радиуса орбиты: 1 – при толщине защиты 0.01 г/см2; 2 – при 1 г/см2. Пунктир – вклад РПЗ; тонкая сплошная линия – вклад СКЛ; толстая сплошная – поглощенная доза от всех компонент (РПЗ, СКЛ, ГКЛ). Сверху – графики для солнечного минимума, снизу – для максимума. Вклад ГКЛ отдельно не показан (он очень мал), но учтен при расчете суммарной дозы.
Рис. 2. Зависимость накопленной поглощенной дозы радиации от времени полета при тяге двигателя 6.5 Н: 1 – при толщине защиты 0.01 г/см2; 2 – при 1 г/см2. Тонкая сплошная линия – вклад СКЛ; толстая сплошная – поглощенная доза от всех компонент (РПЗ, СКЛ, ГКЛ). Сверху – графики для солнечного минимума; снизу – для максимума. Вклад РПЗ в этом масштабе сливается с линией общей поглощенной дозы. Вклад ГКЛ отдельно не показан (он очень мал), но учтен при расчете общей поглощенной дозы.
Рис. 3. То же, что на рис. 2, но при тяге двигателя 13 Н.
Рис. 4. Зависимость общих поглощенных доз радиации (за весь полет) от толщины защиты. Толстая линия – тяга 6.5 Н, тонкая линия – тяга 13 Н. Слева – графики для солнечного минимума, справа – для максимума.
СУММАРНЫЕ ДОЗЫ И ВОЗДЕЙСТВИЕ РАДИАЦИИ НА ПРОДУКТЫ ПИТАНИЯ
В ходе математического моделирования были получены следующие основные результаты. Суммарная поглощенная доза за весь полет может достигать ~4·107 рад или ~400 кГр при толщине защиты 0.01 г/см2; ~2.6·106 рад или ~26 кГр при защите 0.1 г/см2; ~2.5·104 рад или ~0.25 кГр при защите 1 г/см2; 2350 рад или 23.5 Гр при защите 3 г/см2. Это может создать сложности, несмотря на существенный выигрыш в массе полезной нагрузки по сравнению с доставкой грузов по гомановской траектории. Для сравнения на орбите МКС суммарная поглощенная доза при годичной экспозиции может достигать ~9.3·104 рад или ~930 Гр при толщине защиты 0.01 г/см2; ~7.8·103 рад или ~78 Гр при защите 0.1 г/см2; ~160 рад или ~1.6 Гр при защите 1 г/см2; ~40 рад или 0.4 Гр при защите 3 г/см2. Поглощенные дозы при полете к Луне по описанной траектории многократно выше, чем на орбите МКС за год полета.
Для определения угрозы электронике требуется дополнительный расчет с учетом характеристик конкретных микросхем и пространственного распределения вещества в космическом аппарате.
Спутники, длительное время работавшие в радиационных поясах (например, Van Allen Probes) показывают возможность создания аппаратуры для таких полетов (https://www.nasa.gov/mission_pages/rbsp/mission/index.html).
Однако существенные проблемы могут возникнуть при транспортировке продуктов питания на обитаемые станции на поверхности Луны или на окололунной орбите. Облучение продуктов давно применяется для консервирования, но дозы при этом обычно не превышают 10 кГр [6–8]. При высоких дозах происходит расщепление жирных кислот, ухудшающее вкус продукта. Максимальные допустимые дозы для облучения продуктов составляют от 10 кГр в Голландии и Бельгии, до 30 кГр в США, но чувствительность различных продуктов к радиации отличается [8].
При этом, как видно из рис. 3, даже тонкая защита толщиной 1 г/см2 снижает суммарную дозу на три порядка.
Проведенный расчет показывает необходимость проведения дополнительных исследований аспектов доставки грузов к Луне с участием различных специалистов, включая как физиков, так и химиков, и биологов.
ЗАКЛЮЧЕНИЕ
Выполнен расчет доз радиации на борту космического аппарата при перелете с низкой околоземной орбиты к Луне с помощью двигателей малой тяги. Суммарная доза на поверхности аппарата может составлять ~4·107 рад, но быстро убывает при увеличении толщины защиты.
В случае транспортировки пищевых продуктов на будущие обитаемые лунные станции необходимо учитывать радиационное воздействие на эти продукты и размещать их за достаточным слоем защиты.
Рассматриваемая тема требует дополнительных междисциплинарных исследований.
About the authors
А. Н. Турундаевский
Московский государственный университет имени М. В. Ломоносова
Author for correspondence.
Email: turun1966@yandex.ru
Научно-исследовательский институт ядерной физики имени Д. В. Скобельцына
Russian Federation, МоскваН. И. Николаева
Московский государственный университет имени М. В. Ломоносова
Email: turun1966@yandex.ru
Научно-исследовательский институт ядерной физики имени Д. В. Скобельцына
Russian Federation, МоскваА. Д. Панов
Московский государственный университет имени М. В. Ломоносова
Email: turun1966@yandex.ru
Научно-исследовательский институт ядерной физики имени Д. В. Скобельцына
Russian Federation, МоскваМ. В. Подзолко
Московский государственный университет имени М. В. Ломоносова
Email: turun1966@yandex.ru
Научно-исследовательский институт ядерной физики имени Д. В. Скобельцына
Russian Federation, МоскваД. М. Подорожный
Московский государственный университет имени М. В. Ломоносова
Email: turun1966@yandex.ru
Научно-исследовательский институт ядерной физики имени Д. В. Скобельцына
Russian Federation, МоскваК. Р. Рахимчанова
Московский государственный университет имени М. В. Ломоносова
Email: turun1966@yandex.ru
Научно-исследовательский институт ядерной физики имени Д. В. Скобельцына
Russian Federation, МоскваReferences
- Синявский В.В. Научно-технический задел по ядерному электроракетному межорбитальному буксиру «Геркулес» // Космическая техника и технологии. 2013. № 3. С. 25–45.
- Горопаев Д.А. Многоуровневый принцип проектирования и перспективы использования транспортного энергетического модуля с ядерной электроракетной двигательной установкой мегаваттного класса // Космонавтика и ракетостроение. 2013. № 2(71). C. 125–133.
- Афанасьев И.Б. Буксир ложится на курс // Русский космос. 2022. № 4. С. 10–15.
- Старинова О.Л. Расчет межпланетных перелетов космических аппаратов с малой тягой. Самара: Издательство Самарского научного центра РАН, 2007.
- Кузнецов Н.В., Малышкин Ю.М., Николаева Н.И. и др. Программный комплекс COSRAD для прогнозирования радиационных условий на борту космических аппаратов // Вопросы атомной науки и техники. Сер.: физика радиационного воздействия на радиоэлектронную аппаратуру. 2011. № 2. С. 72–78.
- Петриченко Л.К., Васильева А.Г. Влияние ионизирующих излучений на продукты питания // Известия вузов. Пищевая технология. 2004. № 1. C. 95–98.
- Gecgel U. Changes in some physicochemical properties and fatty acid composition of irradiated meatballs during storage // J. food science and technology. 2013. V. 50. Iss. 3. P. 505–513. https://doi.org/10.1007/s13197-011-0375-3.
- Черняев А.П., Розанов В.В., Беклемишев М.К. и др. Применение низкоэнергетических электронов для антимикробной обработки мяса птицы // Известия РАН. Сер. Физическая. 2020. Т. 84. № 11. С. 1617–1622.
Supplementary files






