Об асимптотических свойствах вековой части пертурбационной функции в ограниченной круговой задаче трех тел
- Authors: Красильников П.С.1, Доброславский А.В.1
-
Affiliations:
- Московский авиационный институт (национальный технический университет)
- Issue: Vol 62, No 3 (2024)
- Pages: 275-284
- Section: Articles
- URL: https://journals.rcsi.science/0023-4206/article/view/271737
- DOI: https://doi.org/10.31857/S0023420624030058
- EDN: https://elibrary.ru/JJYWGK
- ID: 271737
Cite item
Full Text
Abstract
Исследованы асимптотические свойства вековой части пертурбационной функции в ограниченной пространственной круговой задаче трех тел, когда вековая часть представлена в виде степенного ряда по малому параметру μ, равному отношению большой полуоси невозмущенной орбиты точки нулевой массы к радиусу круговой орбиты внешнего тела (Юпитера). Предполагается, что μ < 1 (внутренний вариант). Описан новый вывод вековой части на основе применения формулы Парсеваля с последующим представлением коэффициентов ряда через функции Гаусса и Клаузена. Исследован — в плоскости оскулирующих элементов e, ω — радиус сходимости редуцированного ряда для разных значений μ при фиксированных значениях константы Лидова–Козаи, построены области сходимости и расходимости ряда. Показано, что в областях расходимости степенной ряд является асимптотическим по Пуанкаре, при этом степень аппроксимации ряда его частичной суммой сохраняет высокие значения вплоть до семидесяти членов ряда. Показано, что асимптотические свойства ряда ухудшаются на кривых неаналитичности ряда и полностью пропадают в малой окрестности μ = 1. Асимптотичность ряда позволяет, используя традиционные методы теории возмущений, исследовать эволюцию кеплеровских элементов орбиты для всех значений μ из интервала [0, 1), исключая случай μ ≈ 1.
Full Text
ВВЕДЕНИЕ
Как известно, вычисление вековой части пертурбационной функции в ограниченной задаче трех тел — одна из классических задач небесной механики. Первые результаты принадлежат Лапласу и Леверье [1, 2]: главная часть fmj /Δ пертурбационной функции раскладывалась в ряд по степеням эксцентриситета и наклона с использованием коэффициентов Лапласа. Этот подход эффективно используется для изучения движений планет Солнечной системы.
Представление главной части пертурбационной функции в виде ряда по полиномам Лежандра при любых значениях эксцентриситетов и наклонностей орбит (эксцентриситеты и углы наклонений входят в виде конечных выражений в коэффициенты ряда) впервые получены в работах [3–5]. Развитие космической техники возродило интерес к разложению по полиномам Лежандра, которое было использовано для построения теории движений спутников вблизи Земли. Наиболее значимые результаты описаны в публикациях [6–8]. Статья [9] посвящена астероидному варианту круговой ограниченной задачи трех тел, получено выражение для дважды усредненной по Гауссу пертурбационной функции в виде степенного ряда, коэффициенты которого выражены через функции Гаусса и Ганзена (см. формулы (72)–(74) в статье [9]). Работа [10] содержит описание некоторой модификации традиционной техники вычисления вековой части пертурбационной функции для эллиптической задачи в виде ряда по степеням μ, равному отношению большой полуоси невозмущенной орбиты точки нулевой массы к радиусу круговой орбиты внешнего тела (Юпитера). В статье [11] представлены разложения вековой части пертурбационной функции в круговой задаче до членов четырнадцатого порядка по μ (внутренний вариант) и до членов пятнадцатого порядка для внешнего варианта задачи. Отметим, что явные формулы для общего члена ряда содержатся только в статьях [8, 9].
В работе [12] получен ряд Фурье по аргументу перицентра ω для дважды усредненной пертурбационной функции, когда усреднение проводилось по долготе внешнего тела и истинной аномалии в оскулирующем движении малой частицы.
В данной работе дано описание нового вывода степенного ряда для вековой части пертурбационной функции на основе равенства Парсеваля, при этом коэффициенты ряда получат новое представление через функции Гаусса и Клаузена.
Основная цель статьи — исследовать области сходимости и расходимости ряда через построение его радиуса сходимости в плоскости оскулирующих элементов e, ω, доказать асимптотичность ряда в областях его расходимости, что позволит применять классические методы теории возмущений.
ПОСТАНОВКА ЗАДАЧИ
Рассмотрим круговую пространственную ограниченную задачу трех тел. Предположим, что пассивно гравитирующее тело P (спутник) находится в гравитационном поле двух массивных тел, движущихся друг относительно друга по круговой орбите радиуса rJ; центральное тело S (Солнце) имеет массу mS и воздействует на спутник с силой FS; второе тело J (Юпитер) массы mJ оказывает возмущающее действие с силой FJ. Считаем, что невозмущенная траектория точки P есть кеплеровский эллипс с фокусом в S, плоскость которого П образует с плоскостью движения П0 притягивающих тел угол i (рис. 1).
Рис. 1. Системы координат, переменные задачи
Введем неинерциальную гелиоцентрическую систему координат с центром в S. Ось Sx направим в точку весеннего равноденствия, SN — линия узлов орбиты спутника, остальные оси, образующие правую систему координат, на рис. 1 не указаны. Пусть r — радиус-вектор тела P, rJ — радиус-вектор тела J.
Пусть Ω — долгота восходящего узла невозмущенной орбиты точки P на плоскости П0, e, ω — эксцентриситет и аргумент перицентра этой орбиты, λJ — долгота тела J, а λ — долгота тела P в плоскости П0.
Рассмотрим “внутренний” вариант задачи трех тел, когда параметры движения тела P удовлетворяют условию: Здесь a < rJ — большая полуось невозмущенной орбиты Р.
Запишем выражение для пертурбационной функции задачи:
,
, (1)
где f — постоянная тяготения; γ — угол между rJ и r,
, (2)
ν — истинная аномалия движения тела P вдоль невозмущенной орбиты.
Функция (1) может быть разложена в ряд по полиномам Лежандра с точностью до членов, не зависящих от координат тела P:
. (3)
Отметим, что ряд (3) сходится тогда и только тогда, когда r / rJ < 1. Действительно, этот ряд совпадает, с точностью до первых двух отброшенных членов, с выражением fmJΔ−1 зависящим от α = r / rJ. Особые точки этой функции (точки ветвления) имеют вид , (j2 = −1).
Они принадлежат единичной окружности, поэтому радиус сходимости ряда (3) в комплексной плоскости равен единице.
УСРЕДНЕНИЕ ПЕРТУРБАЦИОННОЙ ФУНКЦИИ
Как видно из рис. 1, долгота λ малого тела P в плоскости орбиты внешней планеты можно представить в виде λ = Ω + w, где w — угол между линией узлов SN и проекцией радиус-вектора точки P на указанную плоскость. Угол w описывается формулами [12]
,
.
Тогда уравнение (2) можно переписать в виде
. (4)
Для преобразования выражения (3) к удобному для усреднения виду воспользуемся теоремой сложения для полиномов Лежандра. C учетом равенства (4), будем иметь
(5)
Здесь — присоединенные функции Лежандра. Далее считаем, что частота не резонирует со средним движением n невозмущенного движения точки P. Проводя усреднение выражения (3) по долготе λJ тела J, получим (с учетом формул (2), (5) и равенства P2n+1(0) = 0) однократно усредненную пертурбационную функцию задачи:
(6)
Выражение (6) совпадает с пертурбационной функцией кольца Гаусса в случае r < rJ, что было впервые установлено в работе Аксенова [12], с учетом ссылки на книгу [13].
Функция R∗ не зависит от λ, но зависит от истинной аномалии ν как быстрой переменной задачи. Для того чтобы повторное усреднение пертурбационной функции соответствовало усреднению по Гауссу, необходимо провести усреднение по средней долготе l пробной частицы P. Имеем:
. (7)
Вычисления показывают, что функция R∗ содержит под знаком суммы произведение двух периодических по ν функций: (1 + e cos ν)−2n−2 и P2n(sin i × cos θ), θ = ν + ω − π / 2. Основная техническая проблема исследований — подсчитать среднее от этого произведения. Современные программные комплексы, такие как Wolfram Mathematica и Maple, с этой задачей не справляются. Для этого воспользуемся формулой Парсеваля, описывающей главный (вековой) член произведения двух рядов Фурье:
(8)
Здесь {a0, am, bm} — коэффициенты Фурье функции (1 + e cos ν)−2n−2, а {α0, αm, βm} — коэффициенты Фурье функции P2n(sin i × cos θ). Выражения для этих коэффициентов имеют вид:
Здесь F2,1 — гипергеометрическая функция Гаусса, а (z — комплексное число), есть регуляризованная обобщенная гипергеометрическая функция Клаузена,
Отметим, что функция является аналитическим продолжением обобщенного гипергеометрического ряда, описывающим эту функцию в области сходимости |z| < 1:
.
Здесь (⋅)n — символ Похгаммера; Γ(⋅) — гамма-функция. Функция Клаузена является решением линейного уравнения третьего порядка с переменными коэффициентами
имеет особенности в точках z = 0, 1, ∞.
В итоге дважды усредненная пертурбационная функция принимает вид:
. (9)
Здесь
(10)
Достоверность формулы (10) была подтверждена численными расчетами формул (8), (10): результаты вычислений совпадают по всем значащим цифрам для следующего декартового произведения значений параметров: e от 0 до 1 с шагом 0.1, ω от 0 до 2π с шагом π / 6, i от –π / 2 до π / 2 с шагом π / 6 и n от 1 до 15 с шагом 1.
Выражение для усредненной пертурбационной функции (9), (10) можно разложить в ряд Фурье по ω. Представляя конечную сумму в формуле (10) в виде тригонометрического полинома, получим
Гармоники с sin(2k + 1)ω пропадают в силу равенства . Используя равенство
,
можем представить выражение для R∗∗ в виде ряда Фурье по косинусам:
(11)
Здесь следует отметить, что аналитическое представление дважды усредненной пертурбационной функции задачи в виде ряда Фурье по ω было получено в работе [12], в которой повторное усреднение проводилось по истинной аномалии, поэтому результат усреднения отличается от усреднения по Гауссу. Коэффициенты этого ряда автор статьи выразил через вновь введенные специальные функции, имеющие вид квадратур. Поэтому использовать результаты статьи [12] в аналитических исследованиях затруднительно.
Преобразуем ряд Фурье (11), группируя члены при (a / rJ)2k
(12)
Полученные разложения удобны с аналитической и вычислительной точки зрения. Более того, с каждым из этих разложений можно работать как с единой однозначной аналитической функцией: вычислять производные любого порядка по аргументам e, ω, i, μ, раскладывать R∗∗ в ряды по кеплеровским элементам, проводить усечение этих рядов до членов любого порядка малости, если использовать Wolfram Mathematica.
Отметим, что иное представление степенного ряда (12) через специальные функции Ганзена и функции наклона Fk,0,p(i) содержится в статье [8] (см. также работу [14]):
. (13)
Здесь
Ekm — целая часть выражения (k − m) / 2, а суммирование выполняется по всем значениям c, при которых биномиальные коэффициенты отличны от нуля, (α)m — символ Похгаммера.
Было показано аналитически, что ряды (13), (12) совпадают, по крайней мере, для усечений этих рядов со второго по восьмой порядок малости включительно (сравнение усечений проводилось с помощью операторов Simplify и Reduce программы Wolfram Mathematica).
ВЕРИФИКАЦИЯ ДВУКРАТНО УСРЕДНЕННОЙ ПЕРТУРБАЦИОННОЙ ФУНКЦИИ
Сравним формулу (11) пертурбационной функции задачи с результатами численных расчетов интеграла R(int), где
. (14)
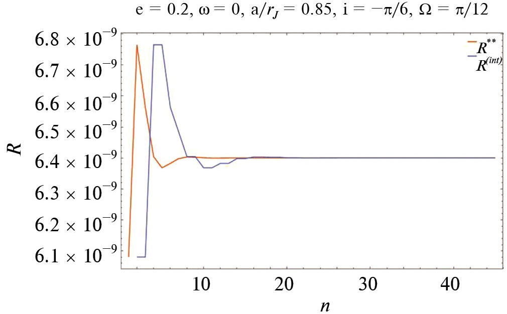
Фиксируем следующие параметры: e = 0.2, i = −π / 6, ω = 0, a / rJ = 0.85, Ω = π / 12.
Из рис. 2 видно, что функция R∗∗ выходит на свое значение в фиксированной точке, начиная с частичной суммы, содержащей 12 членов ряда (коричневая кривая), в то время как результат численного интегрирования представлен в виде колебаний вплоть до n = 20 (синяя кривая), с последующим выходом кривой на значение функции в той же точке. Показано, что при n ≥ 20 результаты расчетов по формуле (11) совпадают с результатами численного интегрирования R(int) на сетке значений e ∈ [0, 0.9] с шагом 0.1, (a / rJ) ∈ [0.5, 0.95] с шагом 0.05, ω ∈ [0, π] с шагом π / 6, i ∈ [−π / 2, π / 2] с шагом π / 6.
Рис. 2. Сравнение ряда Фурье (11) с (14)
Для верификации ряда (12) запишем его хилловское приближение, в котором удерживается только первый член ряда:
.
Здесь
Подставляя вышеперечисленное в выражение для и упрощая, получим:
(15)
Это выражение тождественно совпадает с хилловским приближением усредненной пертурбационной функции, представленным, например, в монографии [14] (оригинальные результаты, записанные в гамильтоновых переменных, содержаться в статьях [15, 16]). Заметим также, что этот результат получается также путем выделения вековых слагаемых пертурбационной функции из ее полного выражения.
УСЛОВИЯ ПЕРЕСЕЧЕНИЯ ОРБИТ. СХОДИМОСТЬ РЯДА ДЛЯ УСРЕДНЕННОЙ ПЕРТУРБАЦИОННОЙ ФУНКЦИИ ЗАДАЧИ
Одна из возможных причин расходимости ряда (12) — расходимость исходного ряда (3) в области r > rJ. Выполнение неравенства r > rJ (a < rJ) возможно — на некотором участке траектории — тогда и только тогда, когда оскулирующий эллипс удовлетворяет условию ra > rJ, где ra = a (1 + e) — расстояние до апоцентра орбиты. Положим μ = a / rJ. Тогда, при
(16)
тело P выходит за пределы сферы радиуса rJ. Очевидно, неравенство (16) имеет место только при μ > 1/2, учитывая, что μ < 1 по условию. Ниже будет показано, что одной из причин такого поведения тела P является пересечение орбиты частицы P с круговой орбитой внешнего тела. Поэтому приведем геометрическое описание условий пересечения орбит, следуя работе Цейпеля [9]. Будем считать, что изменение оскулирующих элементов a, e во времени описывается первым приближением метода усреднения. Тогда оскулирующие элементы подчиняются трем законам сохранения [9, 16, 17]: a = const, , R∗∗ = h, Отсюда следует, в частности, что 0 ≤ e ≤ e∗, (0 ≤ c1 < 1).
Условия пересечения орбит имеют вид
, (17)
поскольку точки пересечения должны совпадать с узлами оскулирующего эллипса на плоскости Sxy (узлам соответствуют точки орбиты при ν = −ω, ν = π − ω, i ≠ 0). Положим x = e cos ω, y = e sin ω.
Равенство (17) можно представить в виде
. (18)
Его следует дополнить условием полосы 0 ≤ e ≤ e∗, 0 ≤ ω < 2π, которое запишем в виде
. (19)
Точки пересечения орбит лежат на дугах окружностей (18), принадлежащих кругу (19).
Эти рассуждения Цейпеля можно дополнить следующими выводами. При μ ≤ 1/2 две окружности (18) не имеют пересечений с кругом (19) для любых значений c1 ∈ [0, 1]. При μ > 1/2 в области e∗ ≥ (μ−1 − 1) возможны пересечения орбит: круг (19) содержит две симметричные дуги окружностей (18) (рис. 3).
Рис. 3. Кривые пересечения орбит
Орбиты пересекаются тогда и только тогда, когда (e cos ω, 0) является внутренней точкой сегмента правого (левого) круга, дуга которого принадлежит центральному кругу (19). Аналитически это условие можно записать в виде неравенств на параметры задачи:
. (20)
Здесь (x∗, 0) — координата центра хорды сегмента. Неравенства (20) гарантируют выполнение условий (16), поэтому пересечение орбит ведет к тому, что апоцентр оскулирующего эллипса находится за пределами сферы радиуса rJ. Если нет пересечения орбит, то апоцентр оскулирующей орбиты может находится как за пределами сферы радиуса rJ, так и внутри нее.
Итак, в случае пересечения орбит точка P выходит за пределы сферы радиуса rJ.
Возможны три разных случая взаимного расположения орбит, вызванных пересечением орбит. В первом случае два узла оскулирующего эллипса расположены внутри орбиты внешнего тела, во втором случае один узел находится внутри, другой — с наружи этой орбиты, третий случай — оба узла расположены за пределами орбиты внешнего тела. Во втором случае имеем зацепление орбит подобно кольцам цепи.
Теперь исследуем сходимость ряда (12) с помощью теоремы Коши–Адамара. Как известно, формула
задает радиус сходимости ρ степенного ряда с коэффициентами Dn. Коэффициенты ряда (12) громоздки, поэтому его радиус сходимости строим численно. Учитывая, что коэффициенты Dn зависят от параметров e, ω, область изменения этих параметров , 0 ≤ ω < π покрываем сеткой с шагом по e и π / 100 по ω. Расчеты проводили в Wolfram Mathematica, когда радиус сходимости ρ аппроксимировался выражением . Поверхность ρ = ρ (e, ω, c1) имеет сложный вид, поэтому строим изолинии этой поверхности в плоскости ее аргументов при фиксированных значениях константы c1 = 0.1; 0.4 (рис. 4):
Рис. 4. Изолинии поверхности ρ = ρ (е, ω, c1) при c1 = 0.1 (a) и c1 = 0.4 (б)
Каждая изолиния отвечает фиксированному уровню функции ρ (e, ω, c1) = ℘, ℘ = const совпадающему с радиусом ρ сходимости ряда (12) по μ. Уменьшение ℘ ведет к сдвигу изолинии как целого вдоль оси e вверх, увеличение ℘ — к сдвигу вниз. Поэтому, при фиксированном μ ряд (12) расходится в области, расположенной выше изолинии ρ (e, ω, c1) = μ, сходится при всех e, ω из области, находящейся ниже этой изолинии. Области расходимости обширны: при “больших” μ (0.6 ≤ μ < 1) эти области захватывают значения e ≥ 0.45, где ω — любое.
Отметим, что для разных изолиний имеем один и тот же эффект: при малых ω радиус сходимости практически не зависит от ω, за исключением окрестности ω = π / 2 в которой изолиния изгибается, образуя впадину. Наблюдаются области при малых e, в которых радиус сходимости больше единицы. Однако эти результаты недостоверны, так как при μ → 1 радиус сходимости следует вычислять при n значительно превосходящим n = 100. Здесь мы ограничены возможностями Wolfram Mathematica, которая воспринимает значения коэффициентов Dn ряда (12) равными нулю при n > 101 (минимальные значения чисел с плавающей точкой, с которыми работает система — 10–318).
Заметим также, что ряд (3) расходится при μ < 1, если апоцентр оскулирующего эллипса выходит за пределы сферы радиуса rJ (см. неравенство (16)). Но в этом случае ряд (12), может, как следует из рис. 4, как сходится, так и расходится. Поэтому корреляция между расходимостью рядов (3), (12), предполагаемая априори существенной, является, в действительности, слабой.
АСИМПТОТИЧЕСКОЕ ПОВЕДЕНИЕ УСРЕДНЕННОЙ ПЕРТУРБАЦИОННОЙ ФУНКЦИИ R∗∗ В ОБЛАСТЯХ РАСХОДИМОСТИ. КРИВЫЕ НЕАНАЛИТИЧНОСТИ
Рассмотрим поведение функции R∗∗ областях ее расходимости. Положим μ = 0.6, c1 = 0.1 и фиксируем точку e = 0.885, ω = π / 2 из области расходимости. На рис. 5 изображен график поведения функции R∗∗ в указанной точке в зависимости от числа удерживаемых членов ряда (до 100 включительно).
Рис. 5. График поведения функции R∗∗
Сумма первых 70 членов ряда хорошо приближает значение усредненной пертурбационной функции R∗∗ с точностью порядка 10–8 и только удержание бо́льшего числа членов ряда приводит к его расходимости. Аналогичное поведение функции имеет место и в остальных точках области расходимости. Это говорит о том, что ряд (12) является асимптотическим по Пуанкаре в области расходимости, при этом расходимость ряда сопровождается осциллирующим нарастанием амплитуды колебаний.
Напомним, что степенной по μ ряд R∗∗ называют асимптотическим по Пуанкаре ([18], с. 335), если при любом N и малом μ имеет место равенство .
Другими словами, при любом N существует α > 0 такое, что при достаточно малом μ частичная сумма приближает ряд R∗∗ с точностью порядка μN+α на конечном промежутке времени, т. е. . При фиксированном μ норма разности будет стремиться к бесконечности при N → ∞ в силу расходимости ряда. Однако при заданном N мы всегда можем добиться выполнения условия , уменьшая μ. Итак, частичная сумма ряда дает хорошее приближение, что позволяет использовать традиционные методы теории возмущений, основанные на идее укорочения усредненной пертурбационной функции, в областях расходимости ряда (12).
Отметим, что асимптотические свойства ряда (12) ухудшаются при стремлении m к единице. Так, при μ = 0.999 и e ≈ e∗ имеем расхождение по экспоненциальному типу уже в первых членах ряда (N = 0); в случае 0 < e < e∗ наблюдается тот же самый эффект, но расходимость имеет осцилляционной тип. Исключение составляет малая окрестность e = 0, в которой ряд сходится. Итак, в случае μ ≈ 1, 0 < e < e∗ необходимо пользоваться разложением, отличным от (12), рассмотренным в работе [19].
Исследуем поведение ряда (12) на кривых (17), которым отвечают пересечения орбит точек P и J. Представим их в виде
(21)
Кривые (21) часто называют “сепаратрисами” [19, 20], название условное, так как эти кривые не являются интегральными для усредненных уравнений.
Результат первого усреднения пертурбационной функции R по λJ имеет вид [20]
,
где φ — широта точки P относительно плоскости орбиты внешнего тела; F — гипергеометрическая функция Гаусса. В точках пересечения орбиты P с орбитой внешнего тела имеем r = 1, φ = 0 (в статье [20] характерная единица длины — радиус орбиты возмущающего тела), поэтому z = 1. Точка z = 1 является полюсом для F, поэтому R∗ неаналитична на кривых (21).
Неаналитичность вдоль указанных кривых сохраняется и для двукратно усредненной пертурбационной функции R∗∗ ([9], с. 369–375). Действительно, после интегрирования R∗ по l в окрестности кривых (21) имеем ([9], формула (66)):
.
Здесь Hj — аналитические по e, ω, μ, c1 функции, при этом H2 обращается в ноль на кривых (21) и меняет знак при их пересечении. Таким образом, R∗∗ непрерывна в окрестности кривых (21), но ее производные терпят разрыв на (21). Разрыв производных по e, ω подтвержден численным счетом [20].
На рис. 6а представлено значение пертурбационной функции (12) в точке e, ω, удовлетворяющей условию f1 = 0 , i ≠ 0. Частичная сумма первых сорока членов ряда (12) хорошо приближает усредненную пертурбационную функцию R∗∗ задачи, и только удержание бóльшего количества членов ряда приводит к его расходимости. Таким образом, ряд (12) является асимптотическим по Пуанкаре, при этом расходимость ряда сопровождается осциллирующим нарастанием амплитуды колебаний. На рис. 6б имеем вековой уход значений пертурбационной функции с ростом числа удерживаемых членов ряда (случай i = 0).
Рис. 6. (a) — расходимость по осцилляционному типу; (б) — расходимость по вековому типу
Таким образом, ряд (12) удовлетворяет условию асимптотичности по Пуанкаре вдоль кривых неаналитичности (21). Отметим только, что асимптотические свойства ряда (12) ухудшаются в сравнении с тем, как ведет себя этот же ряд вне кривых (21) в области расходимости: число первых членов ряда, сумма которых аппроксимирует функцию R∗∗ с точностью порядка μN+α, уменьшается.
Обозначим также существенную особенность кривых неаналитичности: в их окрестности нарушаются условия существования среднего. Действительно, производная меняется скачком, поэтому нарушается условие существования пространственного среднего от функции , входящей в эволюционные уравнения по переменным i и e.
Отметим, что впервые на это обстоятельство обратили внимание авторы статей [21, 22], предложившие свою схему усреднения в окрестности этих кривых.
ЗАКЛЮЧЕНИЕ
Описано представление вековой части пертурбационной функции в ограниченной круговой задаче трех тел в виде степенного ряда, коэффициенты которого выражаются через функции Гаусса и Клаузена. Валидация ряда проведена численно, путем сравнения его с интегральным представлением ряда, и аналитически — с рядом Брумберга и с предельным Хилловским случаем. Получены необходимые и достаточные условия появления кривых неаналитичности ряда (кривых пересечения орбит) в виде неравенств на кеплеровские элементы оскулирующей орбиты.
Исследованы — в плоскости оскулирующих элементов e, ω — радиусы сходимости степенного ряда при разных значениях параметра μ и константы Лидова — Козаи c1, построены области сходимости и расходимости ряда. Показано, в частности, что при “больших” μ (0.6 ≤ μ ≤ 1) области расходимости обширны, захватывают значения e ≥ 0.45 для произвольных ω. Показано, что в областях расходимости ряд является асимптотическим по Пуанкаре, при этом степень аппроксимации ряда его частичной суммой сохраняет высокие значения вплоть до первых семидесяти членов ряда. Асимптотические свойства ряда сохраняются и на кривых неаналитичности, но ухудшаются в сравнении с тем, как ведет себя ряд вне кривых неаналитичности в областях расходимости ряда. Асимптотические свойства исчезают в предельном случае μ ≈ 1.
Асимптотичность ряда позволяет использовать традиционные методы теории возмущений при значениях μ из интервала [0,1), исключая случай μ → 1.
АВТОРСКИЙ ВКЛАД
Постановка задачи, идея применения формулы Парсеваля, представление усредненной пертурбационной функции в виде рядов, анализ кривых пересечения орбит, описание свойств асимптотичности рядов принадлежат П. С. Красильникову.
Громоздкие аналитические и численные вычисления, требующие использования программных продуктов, написание кодов численной верификации пертурбационной функции, численное построение областей расходимости и сходимости степенного ряда, численное исследование поведение ряда в областях расходимости выполнены А. В. Доброславским.
ФИНАНСИРОВАНИЕ РАБОТЫ
Исследование выполнено в Московском авиационном институте при финансовой поддержке РНФ, проект № 22-21-00560.
КОНФЛИКТ ИНТЕРЕСОВ
Авторы данной работы заявляют, что у них нет конфликта интересов.
About the authors
П. С. Красильников
Московский авиационный институт (национальный технический университет)
Author for correspondence.
Email: a.dobroslavskiy@gmail.com
Russian Federation, Москва
А. В. Доброславский
Московский авиационный институт (национальный технический университет)
Email: a.dobroslavskiy@gmail.com
Russian Federation, Москва
References
- Laplace P. Traité de mécanique céleste. V. 1. Paris: Charles Crapelet, 1799.
- Le Verrier U.-J. Annales de l’Observatoire de Paris. V. 1. Chapitre IV. Développement de la fonction qui sert de base au calcul des perturbations des mouvements des planètes. Recherches astronomiques. Paris: Mallet-Bachelier, 1855. P. 258–342.
- Hansen P. A. Entwickelung des Products einer Potenz des Radius Vectors mit dem Sinus oder Cosinus eines Vielfachen der wahren Anomalie in Reihen. Leipzig, 1852. P. 181–281.
- Hill G. W. On the development of the perturbative function in periodic series // The Analyst. 1875. V. 2. Iss. 6. P. 161–180.
- Tisserand F. Traité de Mécanique Céleste. Paris: Gauthier-Villars, 1889.
- Kozai Y. The motion of a close earth satellite // Astronomical J. 1959. V. 64. P. 367–377. doi: 10.1086/107957.
- Kaula W. M. Development of the Lunar and Solar Disturbing Functions for a Close Satellite // Astronomical J. 1962. V. 67. doi: 10.1086/108729.
- Брумберг В. А. Разложение пертурбационной функции в спутниковых задачах // Бюл. Ин-та теорет. астрономии. 1967. Т. 11 № 2. С. 73–83.
- von Zeipel H. Sur ľapplication des séries de M. Lindstedt a l’etude du mouvement des cometes periodiques // Astronomische Nachrichten. 1910. V. 183. P. 345–418.
- Laskar J., Boué G. Explicit expansion of the three-body disturbing function for arbitrary eccentricities and inclinations // Astronomy and Astrophysics. 2010. V. 522. Art. ID. A60.
- Ito T. High-Order Analytic Expansion of Disturbing Function for Doubly Averaged Circular Restricted Three-Body Problem // Advances in Astronomy. 2016. Art. ID8945090. doi: 10.1155/2016/8945090.
- Аксенов Е. П. Осредненная ограниченная круговая задача трех тел // Тр. Ун-та дружбы народов им. П. Лумумбы. 1967. Т. 21. С. 184–202.
- Дубошин Г. Н. Теория притяжения. М.: ГИФМЛ, 1961.
- Емельянов Н. В. Динамика естественных спутников планет на основе наблюдений. Фрязино: Век 2, 2019. 575 с.
- Lidov M. L., Ziglin S. L. Non-restricted double-averaged three body problem in Hill’s case // Celestial Mechanics. 1976. V. 13. P. 471–489.
- Kozai Y. Secular perturbations of asteroids with high inclination and eccentricity. // Astronomical J. 1962. V. 67. P. 591–598.
- Лидов М. Л. Эволюция орбит искусственных спутников планет под действием гравитационных возмущений внешних тел // Искусственные спутники Земли. 1961. Т. 8. С. 5–45.
- Пуанкаре А. Избранные труды в трех томах. Т. 1. М.: Наука, 1971. 772 с.
- Lidov M. L., Ziglin S. L. The analysis of restricted circular twice-averaged three body problem in the case of close orbits // Celestial Mechanics. 1974. V. 9. Iss. 2. P. 151–173.
- Вашковьяк М. А. Эволюция орбит в ограниченной круговой двукратно осредненной задаче трех тел. I. Качественное исследование // Косм. исслед. 1981. Т. 19. № 1. С. 5–18. (Cosmic Research. 1981. V. 19. P. 1–10.)
- Gronchi G. F. Generalized averaging principle and the secular evolution of planet crossing orbits // Celestial Mechanics and Dynamical Astronomy. 2002. V. 83. P. 97–120.
- Gronchi G. F., Milani A. The stable Kozai state for asteroids and comets with arbitrary semimajor axis and inclination // Astronomy and Astrophysics. 1999. V. 341. P. 928–935.
Supplementary files








