Влияние ионов кислорода на формирование тонкого токового слоя геомагнитного хвоста
- Авторы: Домрин В.И.1, Малова Х.В.2,3, Попов В.Ю.4,2,5, Григоренко Е.Е.2, Зеленый Л.М.2
-
Учреждения:
- Научно-исследовательский институт ядерной физики им. Д.В. Скобельцына МГУ
- Институт космических исследований РАН
- Научно-исследовательский институт ядерной физики имени Д.В. Скобельцына МГУ им. М.В. Ломоносова
- Московский государственный университет имени М.В. Ломоносова
- Национальный исследовательский университет “Высшая школа экономики”
- Выпуск: Том 61, № 3 (2023)
- Страницы: 215-229
- Раздел: Статьи
- URL: https://journals.rcsi.science/0023-4206/article/view/137339
- DOI: https://doi.org/10.31857/S0023420622600271
- EDN: https://elibrary.ru/BVIGWS
- ID: 137339
Цитировать
Полный текст
Аннотация
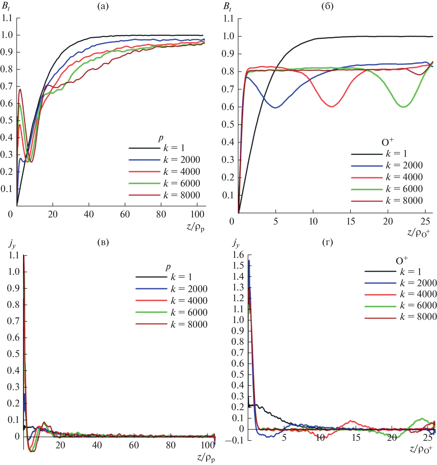
Тонкий токовый слой в хвосте магнитосферы Земли, имеющий характерную толщину от одного до нескольких протонных гирорадиусов, часто наблюдаются во время магнитосферных возмущений — суббурь, когда сравнительно толстая токовая конфигурация в хвосте сужается до предельно малой толщины, а затем может спонтанно разрушаться. Процесс разрушения, как правило, сопровождается активными процессами: ускорением и нагревом плазмы, генерацией переменных электрических полей и магнитогидродинамических волн. В настоящей работе развита и исследована модель формирования тонкого токового слоя, в котором, наряду с протонами, присутствуют однозарядные ионы кислорода, поступающие из ионосферы в токовый слой хвоста в магнитоактивные периоды. Целью моделирования является изучение закономерностей образования равновесного тонкого токового слоя в плазме, состоящей из двух сортов ионов, и исследование его структуры. Показано, что равновесная конфигурация может иметь особенности. В частности, если в системе присутствуют только протоны или только тяжелые ионы, то формируется одномасштабное токовое равновесие, определяемое частицами, движущимися вдоль квазиадиабатических траекторий. При формировании токового слоя в плазме, состоящей из смеси протонов и ионов кислорода в сопоставимых концентрациях, с большой вероятностью образуется токовый слой, в котором носителями тока являются тяжелые ионы, а траектории протонов хаотизируются и вносят отрицательный вклад в ток, благодаря чему профиль плотности тока становится расщепленным с минимумом в центре и максимумами на периферии слоя. Полученные результаты могут быть полезными для интерпретации данных наблюдений в хвосте магнитосфере Земли.
Об авторах
В. И. Домрин
Научно-исследовательский институт ядерной физики им. Д.В. Скобельцына МГУ
Email: hmalova@yandex.ru
Россия, Москва
Х. В. Малова
Институт космических исследований РАН; Научно-исследовательский институт ядерной физики имени Д.В. Скобельцына МГУ им. М.В. Ломоносова
Email: hmalova@yandex.ru
Россия, Москва; Россия, Москва
В. Ю. Попов
Московский государственный университет имени М.В. Ломоносова; Институт космических исследований РАН; Национальный исследовательский университет “Высшая школа экономики”
Email: nn.levashov@physics.msu.ru
Россия, Москва; Россия, Москва; Россия, Москва
Е. Е. Григоренко
Институт космических исследований РАН
Email: hmalova@yandex.ru
Россия, Москва
Л. М. Зеленый
Институт космических исследований РАН
Автор, ответственный за переписку.
Email: nn.levashov@physics.msu.ru
Россия, Москва
Список литературы
- Ness N.F. The Earth’s magnetic tail // J. Geophys. Res. 1965. V. 70. Iss. 13. P. 2989–3005. https://doi.org/10.1029/JZ070i013p02989
- Zelenyi L.M., Malova H.V., Artemyev A.V. et al. Thin current sheets in collisionless plasma: equilibrium structure, plasma instabilities, and particle acceleration // Plasma Physics Reports. 2011. V. 37. Iss. 2. P. 137–182. https://doi.org/10.1134/S1063780X1102005X
- Axford W.I., Hines C.O. A Unifying Theory of High-Latitude Geophysical Phenomena and Geomagnetic Storms // The Upper Atmosphere in Motion / ed. C.O. Hines. 1974. V. 18. 1974. P. 936–967. Geophysical Monograph Series. https://doi.org/10.1029/GM018p0936
- Sergeev V.A., Mitchell D.G., Russell C.T. et al. Structure of the tail plasma/current sheet at ∼11 RE and its changes in the course of a substorm // J. Geophys. Res. 1993. V. 98. Iss. A10. P. 17345–17365. https://doi.org/10.1029/93JA01151
- Sanny J., McPherron R.L., Russell C.T. et al. Growth-phase thinning of the near-Earth current sheet during the CDAW 6 substorm // J. Geophys. Res. 1994. V. 99. Iss. A4. P. 5805–5816. https://doi.org/10.1029/93JA03235
- Asano Y., Mukai T., Hoshino M. et al. Evolution of the thin current sheet in a substorm observed by Geotail // J. Geophys. Res. 2003. V. 108. Iss. A5. CiteID 1189. 10 p. https://doi.org/10.1029/2002JA009785
- Coppi B., Laval G., Pellat R. Dynamics of the Geomagnetic Tail // Phys. Rev. Letters. 1966. V. 16. Iss. 26. P. 1207–1210. https://doi.org/10.1103/PhysRevLett.16.1207
- Daughton W. The unstable eigenmodes of a neutral sheet // Phys. Plasmas. 1999. V. 6. Iss. 4. P. 1329–1343. https://doi.org/10.1063/1.873374
- Lui A.T.Y., Lopez R.E., Anderson B.J. et al. Current disruptions in the near-Earth neutral sheet region // J. Geophys. Res. 1992. V. 97. Iss. 2. P. 1461–1480. https://doi.org/10.1029/91JA02401
- Zelenyi L.M., Malova Kh.V., Popov V.Yu. et al. Albert Galeev: The Problem of Metastability and Explosive Reconnection // Plas. Phys. Rep. 2021. V. 47. Iss. 9. P. 857–877.https://doi.org/10.1134/S1063780X21090075
- Harris E.G. On a plasma sheath separating regions of oppositely directed magnetic field // Nuovo Chimento. 1962. V. 23. № 1. P. 115–121. https://doi.org/10.1007/BF02733547
- Kann J.R. A globally integrated substorm model: Tail reconnection and magnetosphere-ionosphere coupling // J. Geophys. Res. 1998. V. 103. P. 11787–11795. https://doi.org/10.1029/98JA00361
- Birn J., Sommer R., Schindler K. Open and closed magnetospheric tail configurations and their stability // Astrophys. Space Sci. 1975. V. 35. Iss. 7. P. 389–402. https://doi.org/10.1007/BF00637005
- Birn J., Schindler K. Thin current sheets in the magnetotail and the loss of equilibrium // J. Geophys. Res. 2002. V. 107. Iss. A7. Art. № 1117. 10 p. https://doi.org/10.1029/2001JA000291
- Zelenyi L.M., Delcourt D., Malova H.V. et al. Forced current sheets in the Earth’s magnetotail: Their role and evolution due to nonadiabatic particle scattering // Advances in Space Research. 2002. V. 30. Iss. 7. P. 1629–1638. https://doi.org/10.1016/S0273-1177(02)00427-1
- Asano Y., Mukai T., Hoshino M. et al. Evolution of the thin current sheet in a substorm observed by Geotail // J. Geophys. Res. 2003. V. 108. Iss. A5. Art. 1189. https://doi.org/10.1029/2002JA009785
- Runov A., Sergeev V.A., Nakamura R. et al. Local structure of the magnetotail current sheet: 2001 Cluster observations // Annales Geophysicae. 2006. V. 24. Iss. 1. P. 247–262. https://doi.org/10.5194/angeo-24-247-2006
- Runov A., Angelopoulos V., Sergeev V.A. et al. Global properties of magnetotail current sheet flapping: THEMIS perspectives // Ann. Geophys. 2009. V. 27. P. 319–628. https://doi.org/10.5194/angeo-27-319-2009
- Kistler L.M., Mouikis C., Mobius E. et al. Contribution of nonadiabatic ions to the cross-tail current in an O+ dominated thin current sheet // J. Geophys. Res. 2005. V. 110. Iss. 6. Art. № A06213. 15 p. https://doi.org/10.1029/2004JA010653
- Kronberg E., Ashour-Abdalla M., Dandouras I. et al. Circulation of Heavy Ions and Their Dynamical Effects in the Magnetosphere: Recent Observations and Models // Space Science Review. 2014. V. 184. P. 173–235. https://doi.org/10.1007/s11214-014-0104-0
- Zelenyi L.M., Malova H.V., Popov V.Yu. et al. Nonlinear equilibrium structure of thin currents sheets: influence of electron pressure anisotropy // Nonlinear Processes in Geophysics. 2004. V. 11. P. 579–587. https://doi.org/10.5194/npg-11-579-2004
- Zelenyi L.M., Malova H.V., Grigorenko E.E. et al. Universal Scaling of Thin Current Sheets // Geophysical Research Letters. 2020. V. 47. Iss. 14. Art. № e2020GL088422. 10 p. https://doi.org/10.1029/2020GL088422
- Büchner J., Zelenyi L.M. Regular and chaotic charged particle motion in magnetotaillike field reversals: 1. Basic theory of trapped motion // J. Geophys. Res. 1989. V. 94. Iss. A9. P. 11821–11842. https://doi.org/10.1029/JA094iA09p11821
- Zelenyi L.M., Neishtadt A.I., Artemyev A.V. et al. Quasiadiabatic dynamics of charged particles in a space plasma // Physics — Uspekhi. 2013. V. 56. Iss. 4. P. 347–394. https://doi.org/10.3367/UFNe.0183.201304b.0365
- Zelenyi L.M., Malova H.V., Popov V.Yu. Splitting of thin current sheets in the Earth’s magnetosphere // J. Experimental and Theoretical Physics Letters. 2003. V. 78. Iss. 5. P. 296–299. https://doi.org/10.1134/1.1625728
- Delcourt D.C., Malova H.V., Zelenyi L.M. Dynamics of charged particles in bifurcated current sheets: The κ ≈ 1 regime // J. Geophys. Res. 2004. V. 109. Iss. A1. Art. № A01222. https://doi.org/10.1029/2003JA010167
- Nakamura R., Baumjohann W., Runov A., Asano Y. Thin Current Sheets in the Magnetotail Observed by Cluster // Space Science Reviews. 2006. V. 122. P. 29–38. https://doi.org/10.1007/s11214-006-6219-1
- Domrin V.I., Malova Kh.V., Popov V.Yu. et al. Influence of Oxygen Ions on the Structure of the Thin Current Sheet in the Earth’s Magnetotail // Geomagn. Aeron. 2020. V. 60. Iss. 2. P. 171–183. https://doi.org/10.1134/S0016793220020048
- Kropotkin A.P., Domrin V.I. Theory of a thin one-dimensional current sheet in collisionless space plasma // J. Geophys. Res. 1996. V. 101. P. 19893–19902.
- Domrin V.I., Kropotkin A.P. Dynamics of equilibrium upset and electromagnetic energy transformation in the geomagnetotail: A theory and simulation using particles. 3. Versions of formation of thin current sheets // Geomagn. Aeron. 2007. V. 47. Iss. 5. P. 555–565. https://doi.org/10.1134/S0016793207050039
- Grigorenko E.E., Zelenyi L.M., DiBraccio G. et al. Thin Current Sheets of Sub-ion Scales observed by MAVEN in the Martian Magnetotail // Geophysical Research Letters. 2019. V. 46. Iss. 12. P. 6214–6222. https://doi.org/10.1029/2019GL082709
- Leonenko M.V., Grigorenko E.E., Zelenyi L.M. et al. MMS Observations of Super Thin Electron-Scale Current Sheets in the Earth’s Magnetotail // J. Geophysical Research: Space Physics. 2020. V. 126. Iss. 11. Art. № e2021JA029641. https://doi.org/10.1029/2021JA029641
- Zelenyi L., Malova H., Grigorenko E. et al. Current sheets in planetary magnetospheres // Plasma Physics and Controlled Fusion. 2019. V. 61. Iss. 5. Art. № 054002. https://doi.org/10.1088/1361-6587/aafbbf
- Березин Ю.А., Вшивков В.А. Метод частиц в динамике разреженной плазмы. Новосибирск: Наука, 1980. 95 с.
- Григорьев Ю.Н., Вшивков В.А., Федорук М.П. Численное моделирование методами частиц в ячейках. Новосибирск: Изд-во СО РАН, 2004.
- Бэдсел Ч., Лэнгдон А. Физика плазмы и численное моделирование. М.: Энергоатомиздат, 1989. 452 с.
- Mingalev O.V., Setsko P.V., Mel’nik M.N. et al. Role of Oxygen Ions in the Structure of the Current Sheet of the Near-Earth Magnetotail // Plasma Physics Reports. 2022. V. 48. Iss. 3. P. 242–262. https://doi.org/10.1134/S1063780X22030096
- Domrin V.I., Malova H.V., Popov V.Yu. Time Evolution of the Macroscopic Characteristics of a Thin Current Sheet in the Course of Its Formation in the Earth’s Magnetotail // Plasma Physics Reports. 2018. V. 44. Iss. 4. P. 424–437. https://doi.org/10.1134/S1063780X18040025
- Zelenyi L.M., Malova H.V., Popov V.Yu. et al. “Matreshka” model of multilayered current sheet // Geophysical Research Letters. 2006. V. 33. Iss. 5. Art. № L05105. 4 p. https://doi.org/10.1029/2005GL025117
- Zelenyi L., Artemyev A., Malova H., Popov V. Marginal stability of thin current sheets in the Earth’s magnetotail // J. Atmos. Solar Terr. Phys. 2008. V. 70. Iss. 2–4. P. 325–333. https://doi.org/10.1016/j.jastp.2007.08.019
Дополнительные файлы










