Space–Time Structures in the Auroral Oval: Approaches to Modeling
- Authors: Kozelov B.V.1
-
Affiliations:
- Polar Geophysical Institute, 184209, Apatity, Murmansk oblast, Russia
- Issue: Vol 61, No 3 (2023)
- Pages: 179-188
- Section: Articles
- URL: https://journals.rcsi.science/0023-4206/article/view/137326
- DOI: https://doi.org/10.31857/S0023420622700054
- EDN: https://elibrary.ru/BVLCRW
- ID: 137326
Cite item
Full Text
Abstract
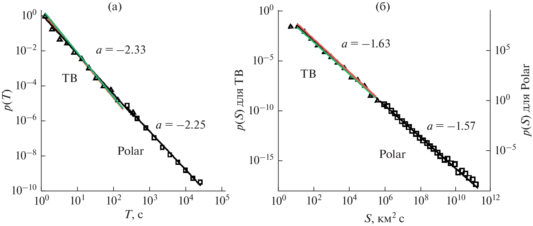
The interaction of the magnetospheric–ionospheric (MI) system surrounding the Earth with the environment (solar wind) occurs in the form of a series of transient processes at different scales. The largest of them, magnetic storms, are obviously triggered by disturbances in the solar wind (direct driving). The role of the internal dynamics of the MI system, which is caused to a large extent by the nonlinearity and temporal delays of the loading–unloading processes of energy and particle from the solar wind into the magnetosphere, becomes more significant at smaller scales (substorms, pseudobreakups, injections, and activations). A typical dynamic state of the MI system is characterized as self-organized criticality or turbulence, which are characterized by statistical scale invariance (scaling) in the fluctuation distributions of many characteristics. The dynamics of the MI system is projected into the region of the auroral oval, the very existence of which is due to this dynamics. The space–time structure of auroral disturbances largely reflects the structure of processes in the MI plasma. The description of this structure is important both for studying the fundamental study of plasma processes and for many topical applied problems related to the propagation of radio waves in the ionosphere and vital activity at high latitudes. The paper discusses approaches and developments for constructing a model of the space–time structure of the auroral oval, based on fractal and multifractal characteristics.
About the authors
B. V. Kozelov
Polar Geophysical Institute, 184209, Apatity, Murmansk oblast, Russia
Author for correspondence.
Email: boris.kozelov@gmail.com
Россия, Мурманская область, Апатиты
References
- Akasofu S.-I. Polar and magnetospheric substorm. Dordrecht, Holland: D. Reidel Publishing Company, 1968. https://doi.org/10.1007/978-94-010-3461-6
- Козелов Б.В. Природа полярных сияний и подходы к описанию структуры аврорального свечения // Мат. исслед. в естеств. науках: Тр. 7-й Всероссийской науч. шк. Апатиты, Геолог. ин-т КНЦ РАН, Кольское отд-ние РМО. 3–6 окт. 2011 / под ред. Ю.Л. Войтеховского. Апатиты: Изд-во K&M, 2011. С. 32–47.
- Yahnin A.G., Despirak I.V., Lubchich A.A. et al. Relationship between substorm auroras and processes in the near-Earth magnetotail // Space Sci. Reviews. 2006. V. 122. P. 97–106.
- Сахаров Я.А., Мингалев И.В., Козелов Б.В. и др. Влияние геомагнитного возмущения на зоны доступности односкачковой связи коротковолнового диапазона // Изв. РАН. Сер. физ. 2022. Т. 86. № 3. С. 386–392.
- Chernyshov A.A., Kozelov B.V., Mogilevsky M.M. Study of auroral ionosphere using percolation theory and fractal geometry // J. Atmos. Solar-Terrest. Phys. 2017. V. 161. P. 127–133.
- Milovanov A.V., Zelenyi L.M., Zimbardo G. Fractal structures and power law spectra in the distant Earth’s magnetotail // J. Geophys. Res. 1996. V. 101(A9). P. 19903–19910.
- Каррерас Б.А., Ньюман Д., Линч В.Е., Даймонд П.Х. Самоорганизованная критичность как парадигма для процессов переноса в плазме, удерживаемой магнитным полем // Физика плазмы. 1996. Т. 22. № 9. С. 819–833.
- Frisch U. Turbulence: The Legacy of A.N. Kolmogorov. Cambridge University Press, 1995.
- Bak P. How nature works. The science of self-organized criticality: Oxford University Press, 1997.
- Jensen H.J. Self-organized criticality. Cambridge University Press, 1998.
- Lui A.T.Y. Multiscale phenomena in the near-Earth magnetosphere // J. Atm. Solar-Terr. Phys. 2002. V. 64. P. 125–143.
- Mandelbrot B. The fractal geometry of nature. San-Francisco: Freeman, 1982.
- Wendt H., Roux S.G., Jaffard S., Abry P. Wavelet leaders and bootstrap for multifractal analysis of images // Signal Proces. 2009. V. 89. P. 1100–1114.
- Uritsky V., Pudovkin M.I., Steen A. Geomagnetic substorm as perturbed self-organized critical dynamics of the magnetosphere // J. Atm. Solar-Terr. Phys. 2001. V. 63. P. 1415–1424.
- Uritsky V.M., Klimas A.J., Vassiliadis D.et al. Scale-free statistics of spatiotemporal auroral emissions as depicted by POLAR UVI images: Dynamic magnetosphere is an avalanching system // J. Geophys. Res. 2002. V. 107(A12), Art. № 1426. https://doi.org/10.1029/2001000281
- Kozelov B.V., Uritsky V.M., Klimas A.J. Power law probability distributions of multiscale auroral dynamics from ground-based TV observations // Geophys. Res. Lett. 2004. V. 31. Art. № L20804.
- Козелов Б.В., Ролдугин А.В. Пространственно-временное самоподобие на малых масштабах в суббуревых активизациях по данным высокоскоростной камеры в Ловозеро // Изв. РАН. Сер. физ. 2022. Т. 86. № 3. С. 335–339.
- Uritsky V., Klimas A., Vassiliadis D. Evaluation of spreading critical exponents from the spatiotemporal evolution of emission regions in the nighttime aurora // Geophys. Res. Lett. 2003. V. 30(15). https://doi.org/10.1029/2002GL016556
- Uritsky V.M., Donovan E., Trondsen T. et al. Data-derived spatiotemporal resolution constraints for global auroral imagers // J. Geophys. Res. 2010. V. 115. Art. № A09205.
- Kozelov B.V., Rypdal K. Intermittence in auroral fluctuations during substorm // Physics of Auroral Phenomena. Proc. 29th Annual Seminar. Apatity, 2006. P. 48–51.
- Kozelov B.V., Rypdal K. Spatial scaling of optical fluctuations during substorm-time aurora // Ann. Geophys. 2007. V. 25. P. 915–927.
- Golovchanskaya I.V., Kozelov B.V., Sergienko T.I. et al. Scaling behavior of auroral luminosity fluctuations observed by Auroral Large Imaging System (ALIS) // J. Geophys. Res. 2008. V. 113. Art. № A10303.
- Abry P., Flandrin P., Taqqu M.S., Veitch D. Wavelets for the analysis, estimation and synthesis of scaling data // Self-Similar Network Traffic and Performance Evaluation / ed. K. Park, W. Willinger. Hoboken, NJ: Wiley-Interscience, 2000. P. 39–88. https://doi.org/10.1002/047120644X.ch2
- Козелов Б.В. Фрактальные характеристики пространственной структуры полярных сияний // Физика околоземного космич. пространства. Апатиты: Изд-во КНЦ РАН, 2000. С. 572–597.
- Kozelov B.V. Fractal approach to description of the auroral structure // Ann. Geophys. 2003. V. 21. P. 2011–2023.
- Kozelov B.V., Golovchanskaya I.V., Mingalev O.V. Inverse cascade in the structure of substorm aurora and non-linear dynamics of field-aligned current filaments // Ann. Geophys. 2011. V. 29. P. 1349–1354.
- Chang T., Tam S.W.Y., Wu C. Complexity induced anisotropic bimodal intermittent turbulence in space plasmas // Phys. Plasma. 2004. V. 11(4). P. 1287–1299.
- Kozelov B.V., Golovchanskaya I.V. Scaling of electric field fluctuations associated with the aurora during northward IMF // Geophys. Res. Lett. 2006. V. 33. Art. № L20109.
- Takens F. On the numerical determination of the dimension of an attractor // Dynamical Systems and Bifurcations / ed. Braaksma B.L.J., Broer H.W., Takens F. Book ser. Groningen. Lecture Notes in Mathematics. Berlin: Springer-Verlag, 1985. V. 1125. P. 99–106.
- Grassberger P., Procaccia I. Characterization of strange attractors // Phys. Rev. Let. 1983. V. 50(5). P. 346–349.
- Kozelov B.V., Vjalkova N.Y. Search of temporal chaos in TV images of aurora // Intern. J. Geomagn. Aeron. 2005. V. 5. Art. № GI3005. https://doi.org/10.1029/2005GI000102
- Kozelov B.V., Kozelova T.V., Kornilova T.A. Dynamics of auroral intensification as an output of magnetosphere-ionosphere system // Proc. 6th Intern. Conf. Substorms. University of Washington, Seattle, 25–29 Mar. 2002. P. 432–437.
- Козелов Б.В., Ролдугин А.В. Получение информации об ионосферно-магнитосферной плазме по наблюдениям полярных сияний // Изв. РАН. Сер. физ. 2021. Т. 85. № 3. С. 366–371.
- Козелова Т.В., Пудовкин М.И., Лазутин Л.Л. Особенности развития стимулированных и спонтанных магнитосферных суббурь по спутниковым и наземным данным // Геомагнетизм и аэрономия. 1989. Т. 29. № 6. С. 910–915.
- Kozelov B.V., Pilgaev S.V., Borovkov L.P., Yurov V.E. Multi-scale auroral observations in Apatity: winter 2010–2011 // Geosci. Instrum. Method. Data Syst. 2012. V. 1. Iss. 1. P. 1–6. https://doi.org/10.5194/gi-1-1-2012
- Kozelov B.V., Golovchanskaya I.V. Derivation of aurora scaling parameters from ground-based imaging observations: Numerical tests // J. Geophys. Res. 2010. V. 115. Art. № A02204.
- Chernyshov A.A., Mogilevsky M.M., Kozelov B.V. Use of fractal approach to investigate ionospheric conductivity in the auroral zone // J. Geophys. Res. 2013. V. 118(7). P. 4108–4118.
Supplementary files











