The Influence of Small Variations of Plasma Density on Conditions of Propagation of Electromagnetic Waves of the Whistle Range through the Morning Ionosphere
- Authors: Mizonova V.G.1,2, Bespalov P.A.2,3
-
Affiliations:
- Alekseev Nizhny Novgorod State Technical University, 603155, Nizhny Novgorod, Russia
- National Research University “Higher School of Economics”, 603155, Nizhny Novgorod, Russia
- Institute of Applied Physics, Russian Academy of Sciences, 603155, Nizhny Novgorod, Russia
- Issue: Vol 61, No 2 (2023)
- Pages: 91-102
- Section: Articles
- URL: https://journals.rcsi.science/0023-4206/article/view/137321
- DOI: https://doi.org/10.31857/S0023420622100077
- EDN: https://elibrary.ru/LSBSIO
- ID: 137321
Cite item
Full Text
Abstract
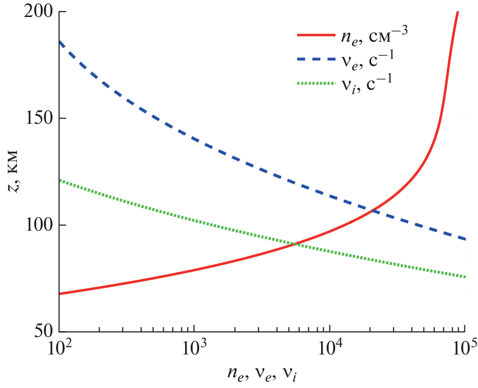
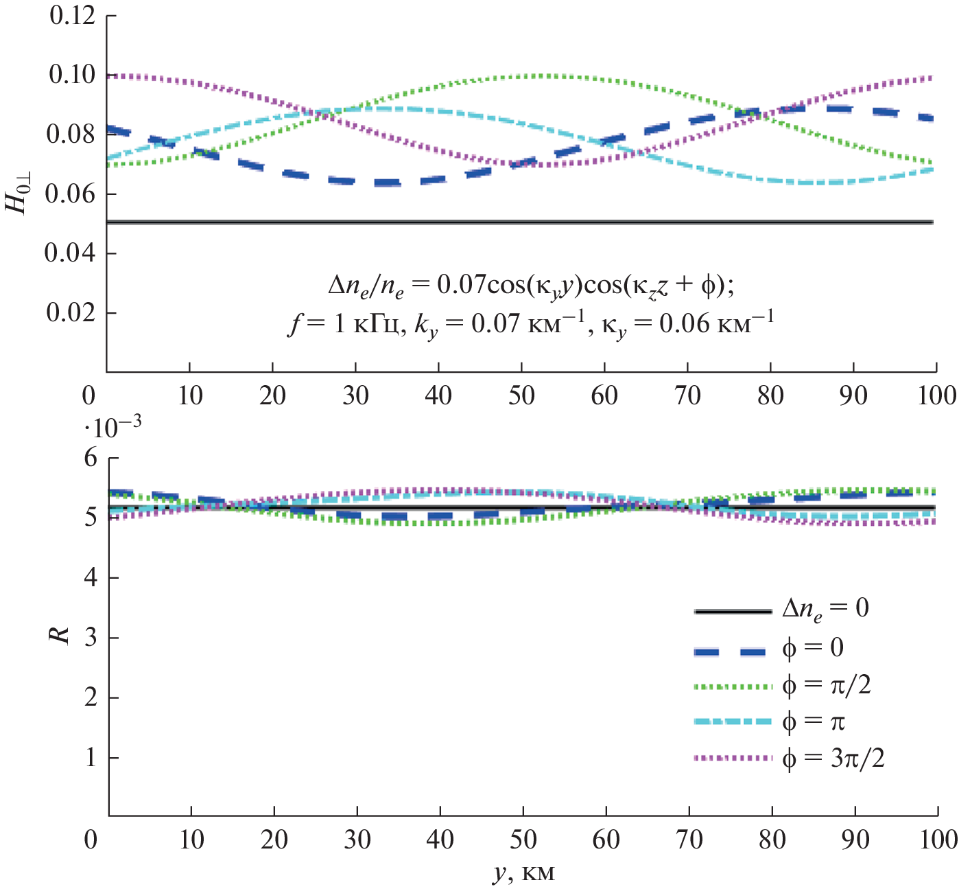
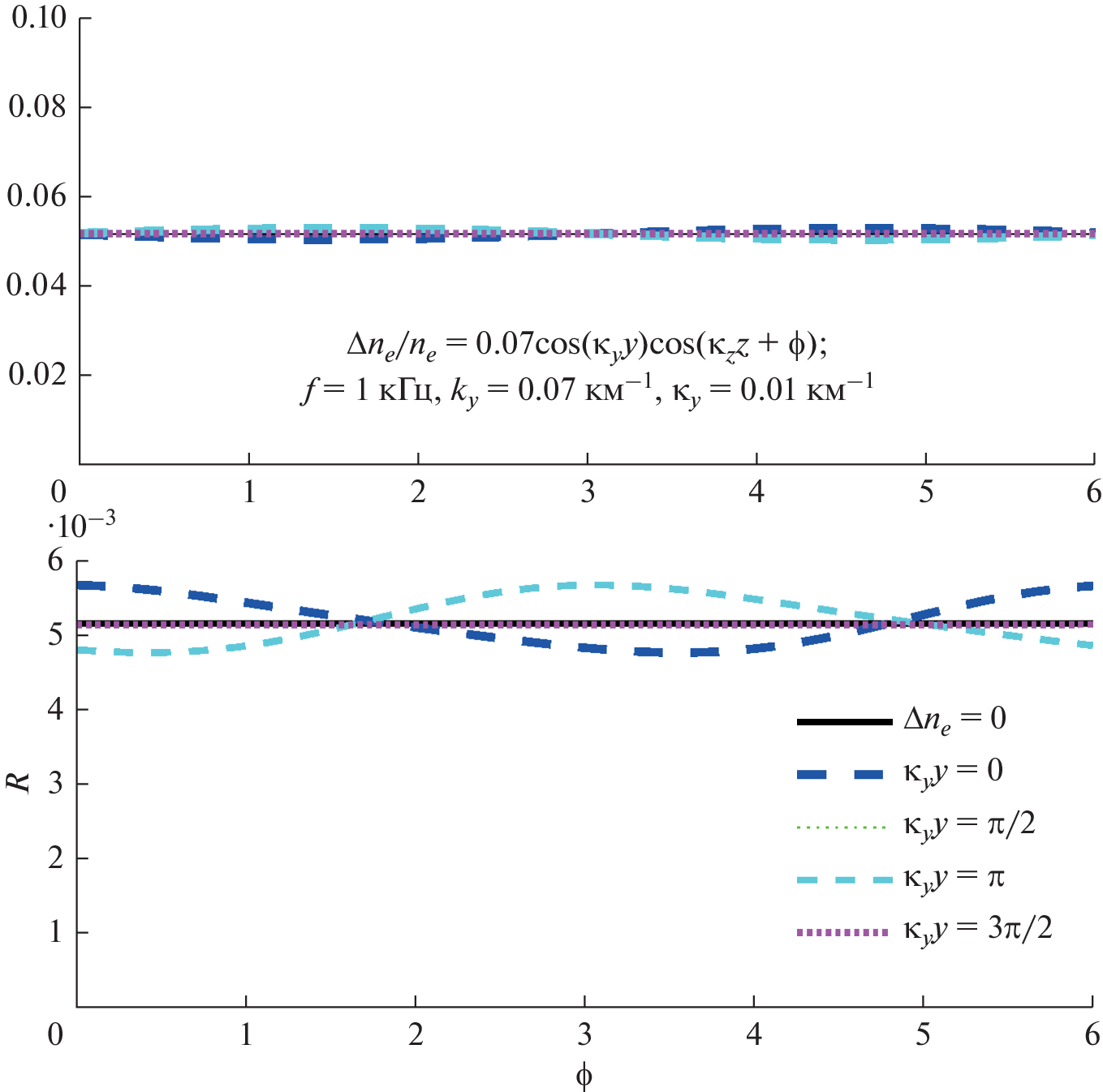
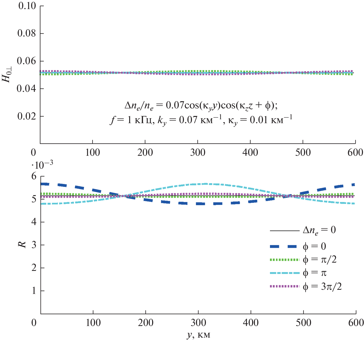
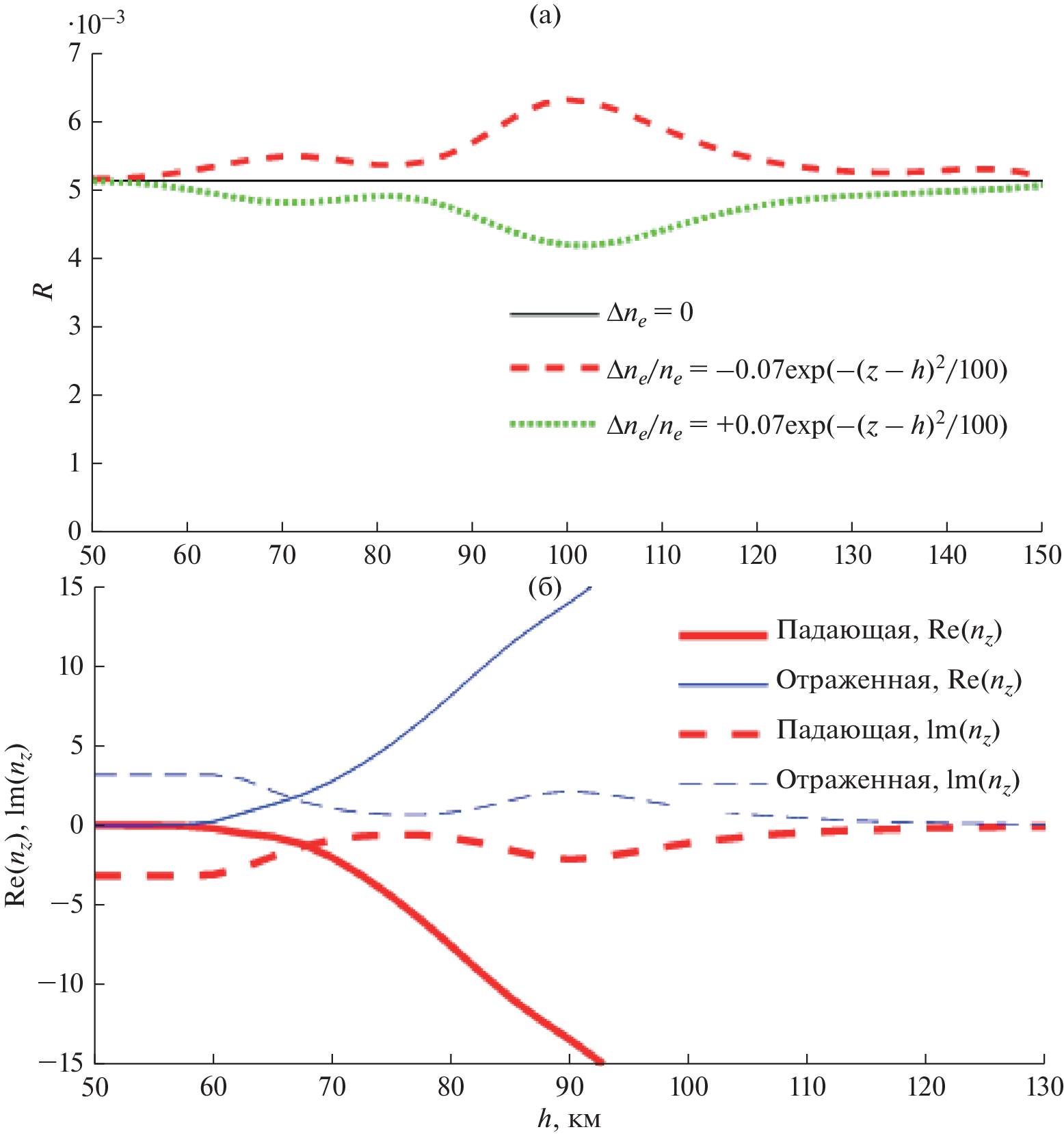
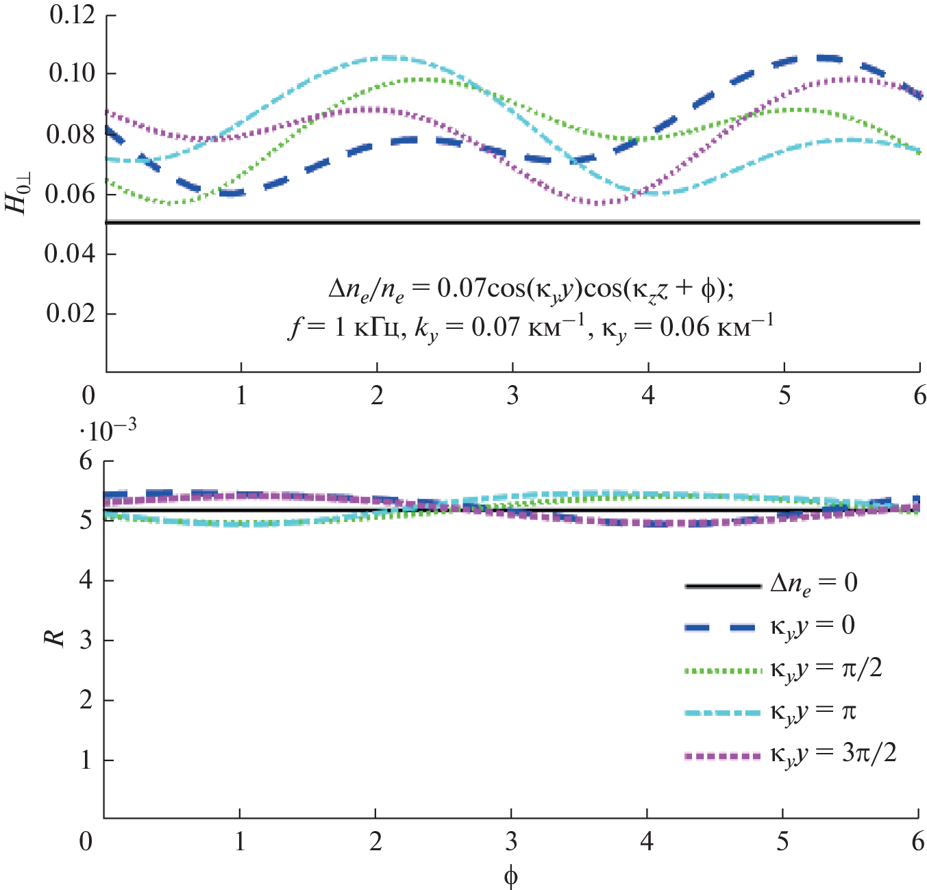
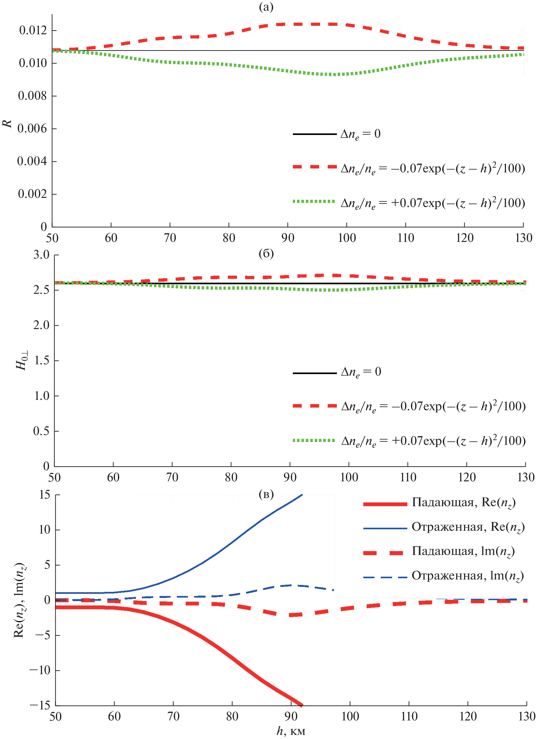
The problem of the effect of plasma-density disturbances caused by infrasonic waves on the propagation and reflection of whistler electromagnetic waves incident on the morning ionosphere from above is considered. The influence of the parameters of an infrasonic wave on the coefficient of reflection of a whistler wave from the ionosphere from above in the general case of oblique propagation is studied. The strongest changes in the reflection coefficient of whistler waves are associated with concentration perturbations at heights of the order of 80–100 km, where the rate of decay of propagating electromagnetic radiation modes increases by more than an order of magnitude within a region that is quite local in height (less than 10–15 km). The features of the parametric effect of plasma density fluctuations in an infrasonic wave on the field of a whistler wave that reached the Earth’s surface are analyzed. At close values of the horizontal wavenumbers of the whistler and infrasonic waves, the field of the whistler wave near the Earth’s surface can increase by several times. The results obtained are important for understanding the relationship between magnetospheric wave processes of different nature. The study of the modulation of the coefficient of reflection of whistler waves from the ionosphere by infrasonic waves from above is relevant for explaining the operating modes of a plasma magnetospheric maser.
About the authors
V. G. Mizonova
Alekseev Nizhny Novgorod State Technical University, 603155, Nizhny Novgorod, Russia; National Research University “Higher School of Economics”, 603155, Nizhny Novgorod, Russia
Email: vermiz@mail.ru
Россия, Нижний Новгород; Россия, Нижний Новгород
P. A. Bespalov
National Research University “Higher School of Economics”, 603155, Nizhny Novgorod, Russia; Institute of Applied Physics, Russian Academy of Sciences, 603155, Nizhny Novgorod, Russia
Author for correspondence.
Email: vermiz@mail.ru
Россия, Нижний Новгород; Россия, Нижний Новгород
References
- Srivastava R.N. VLF hiss, visual aurora and geomagnetic activity // Planet. Space Sci. 1976. V. 24. P. 375–379. https://doi.org/10.1016/0032-0633(76)90050-7
- Manninen J., Kleimenova N.G., Kozyreva O.V. et al. Experimental evidence of the simultaneous occurrence of VLF chorus on the ground in the global azimuthal scale – from pre-midnight to the late morning // Ann. Geophys. 2012. V. 30. P. 725–732. https://doi.org/10.5194/angeo-30-725-2012
- Nemec F., Santolık O., Parrot M. et al. Conjugate observations of quasi-periodic emissions by Cluster and D-EMETER spacecraft // J. Geophysical Res. Space Physics. 2013. V. 118. P. 198–208. https://doi.org/10.1029/2012JA018380
- Manninen J., Kleimenova N.G., Kozyreva O.V. et al. Non-typical ground-basedquasi-periodic VLF emissions observed at L 5.3 under quiet geomagnetic conditions at night // J. Atmos. Solar Terr. Phys. 2013. V. 99. P. 123–128. https://doi.org/10.1016/j.jastp.2012.05.007
- Titova E.E., Kozelov B.V., Demekhov A.G. et al. Identification of the source of quasiperiodic VLF emissions using ground-based and Van Allen Probes satellite observations // Geophys. Res. Lett. 2015. V. 42. P. 6137–6145. https://doi.org/10.1002/ 2015GL064911
- Sonwalkar V.S., Harikumar J. An explanation of ground observations of auroral hiss: Role of density depletions and meter-scale irregularities // J. Geophys. Res. 2000. V. 105. P. 18867–18883. https://doi.org/10.1029/1999JA000302
- Bell T.F., Ngo H.D. Electrostatic lower hybrid waves excited by electromagnetic whistler mode waves scattering from planar magnetic-field-aligned plasma density irregularities // J. Geophys. Res. 1990. V. 95. P. 149–172. https://doi.org/10.1029/JA095iA01p00149
- Shklyar D., Chum J., Jiricek F. Characteristic properties of Nu whistlers as inferred from observations and numerical modelling // Ann. Geophys. 2004. V. 22(10). P. 3589–3606. https://doi.org/10.5194/angeo-22-3589-2004
- Kuzichev I.V. On whistler mode wave scattering from density irregularities in the upper ionosphere // J. Geophys. Res. 2012. V. 117. Art. № A0632. https://doi.org/10.1029/2011JA017130
- Blanc E. Observations in the upper atmosphere of infrasonic waves from natural or artificial sources-A summary // Ann. Geophys. 1985. V. 3. P. 673–687.
- Госсард Э., Хук У. Волны в атмосфере. М.: Мир, 1978.
- Беспалов П.А., Трахтенгерц В.Ю. Альфвеновские мазеры. Горький: ИПФ АН СССР, 1986.
- Budden K.G. The Propagation of Radio Waves: The Theory of Radio Waves of Low Power in the Ionosphere and Magnetosphere. Cambridge: Cambridge Univ. Press, 1985.
- Беспалов П.А., Мизонова В.Г. Особенности распространения падающих на ночную ионосферу сверху электромагнитных волн свистового диапазона // Космич. исслед. 2018. Т. 56. № 1. С. 33–39. https://doi.org/10.7868/S0023420618010041. (Cosmic Research. 2018. V. 56. P. 26–31.)10.7868/S0023420618010041
- Bilitza D., Reinisch B. International Reference Ionosphere 2007: Improvements and new parameters // J. Adv. Space Res. 2007. V. 42. P. 599–609. https://doi.org/10.1016/j.asr.2007.07.048
- Гуревич А.В., Шварцбург А.Б. Нелинейная теория распространения радиоволн в ионосфере. М.: Наука. 1973.
- Савина О.Н., Беспалов П.А. Особенности фильтрации длинных акустико-гравитационных волн в безветренной атмосфере // Изв. вузов. Радиофизика. 2014. Т. 57. № 2. С. 129–136. https://doi.org/10.1007/s11141-014-9497-6
- Ортега Дж., Пул. У. Введение в численные методы решения дифференциальных уравнений. М.: Наука, 1986.
- Bespalov P.A., Mizonova V.G. Propagation of a whistler wave incident from above on the lower nighttime ionosphere // Ann. Geophys. 2017. V. 35. P. 671–675. https://doi.org/10.5194/angeo-35-671-2017
- Bespalov P.A., Mizonova V.G., Savina O.N. Reflection from and transmission through the ionosphere of VLF electromagnetic waves incident from the mid-latitude magnetosphere // J. Atmos. Solar Terr. Phys. 2018. V. 175. P. 40–48. https://doi.org/10.1016/j.jastp.2018.04.018
Supplementary files











