Structuring of graphene oxide interacting with nanodiamonds in aqueous dispersions
- Authors: Lebedev V.T.1, Kulvelis Y.V.1, Rabchinskii M.K.2, Dideikin A.T.2, Shvidchenko A.V.2, Tudupova B.B.1,2, Kuular V.I.1,2, Yevlampieva N.P.3, Kuklin A.I.4
-
Affiliations:
- Петербургский институт ядерной физики им. Б.П. Константинова, НИЦ «Курчатовский институт»
- Физико-технический институт им. А.Ф. Иоффе
- Санкт-Петербургский государственный университет
- Объединенный институт ядерных исследований
- Issue: Vol 86, No 6 (2024)
- Pages: 789-804
- Section: Articles
- Submitted: 20.02.2025
- Accepted: 20.02.2025
- Published: 15.11.2024
- URL: https://journals.rcsi.science/0023-2912/article/view/280804
- DOI: https://doi.org/10.31857/S0023291224060113
- EDN: https://elibrary.ru/VKXLJO
- ID: 280804
Cite item
Full Text
Abstract
Mechanisms of self-organization of graphene oxide in aqueous dispersions during interaction with detonation nanodiamonds having different surface potential signs were studied using small-angle neutron scattering technique. Negatively charged graphene oxide, mixed with a hydrosol of positively charged diamonds, created a stable colloid due to the formation of planar heterostructures in the form of a pair of sheets, tightly connected through diamonds (weight fraction 25%) when the sheets were joined. Diamonds with a negative potential under similar conditions were localized between graphene sheets, forming at an increased fraction (44 wt. %) less dense assemblies with a gap between the sheets around a diamond particle radius. The binding of graphene oxide to diamonds was confirmed by transmission electron microscopy data.
Keywords
Full Text
ВВЕДЕНИЕ
Графен и материалы на его основе востребованы во многих областях применений – в энергетике для создания суперкоденсаторов [1], технологиях катализаторов [2], для модификации полимерных и металлических матриц [3–7], керамик [8] в целях улучшения их механических, теплофизических, ионообменных и газоразделительных свойств. В связи с этим требуется знать структуру частиц графена и степень его агрегации [9], для чего используют микроскопию (электронную, атомно-силовую), рамановскую спектроскопию и рентгеновскую дифракцию для определения фазового состава, межплоскостных расстояний, размеров кристаллитов в образцах [10].
Частицы графена в зависимости от числа слоев (до 10; 60) подразделяют на нанолисты (Graphene NanoSheets, GNS) и пластинки (Graphene NanoPlatelets, GNP) [11, 12]. При количестве слоев выше десяти частицы приближаются по свойствам к макроматериалам [13], поэтому классификация [9] относит к наноструктурам только однослойный, малослойный (до 5 слоев) и многослойный (до 10 слоев) графены.
При решении фундаментальных и прикладных задач [1–8] важен не только анализ строения частиц графена и производных типа оксида графена (ОГ), но и изучение механизмов конформационных изменений и агрегации углеродных листов в зависимости от специфики синтеза [10, 14–16]. Прогресс технологий производства графена связывают с разработками самораспространяющего высокотемпературного синтеза (СВС), который использует энергию химических реакций между исходными веществами при окислении прекурсоров – биополимеров (целлюлозы, крахмала, глюкозы, лигнина) [10, 17, 18], а не традиционный способ восстановления прекурсора при внешнем нагреве [15, 19, 20].
При этом получаемые частицы состоят из нескольких слоев графена (1–5) [10] без дефектов атомарного размера (соединенных углеродных колец из 5 и 7 атомов углерода, Stone–Wales defects) [21], тогда как графены, восстановленные из ОГ традиционным способом по Хаммерсу [19], обычно содержат такие дефекты. Из СВС-графена высокого качества [21] получали пятислойные ОГ пластины – эффективные модификаторы полимеров, у которых повышались прочность, термическая стойкость к разрыву, теплопроводность, ударная вязкость, предел рабочей температуры и антифрикционные свойства [6, 22].
Расширение применений углеродных 2D-структур сопряжено с усилением требований к их аттестации по количеству, размерам, геометрии и характеру упаковки слоев графена. Чтобы охарактеризовать эти материалы, вместе с традиционными подходами материаловедения (электронная и атомно-силовая микроскопия, рентгеновская дифракция, рамановская, ИК и ЭПР спектроскопия) необходим развитый количественный анализ наноструктур с помощью малоуглового рассеяния нейтронов (МУРН). Проникающее нейтронное излучение позволяет изучать образцы в объеме, точно определять характер упаковки и количества слоев в углеродных частицах, что обычно оценивают лишь приближенно по ширине рефлексов на рентгенограммах [16, 17].
МУРН позволяет анализировать не только молекулярные (надмолекулярные), но и магнитные структуры. Методом рассеяния поляризованных нейтронов в полимерных композитах с восстановленным оксидом графена (вОГ) при намагничивании в полях ~1 Тл детектировали магнитные корреляции и определили их масштаб (100 нм) [23], что не удается реализовать другими методами.
Для усиления магнитных свойств материала между листами ОГ внедряли наночастицы феррита [24, 25] в целях медицинских применений гибридных структур (тераностика, гипертермия, магнитно-резонансная томография). Данные гамма-резонансной спектроскопии подтвердили механохимическое связывание компонент в твердой фазе при перемалывании их смесей [24, 25]. Чтобы синтезировать магнитные люминесцентные материалы (магнитоплазмоника, оптоэлектроника), в ОГ связывали с частицами Co, определяя распределения исходных и композитных частиц по размерам с помощью просвечивающей электронной микроскопии (ПЭМ), малоуглового рассеяния рентгеновских лучей (МУРР) и МУРН [26].
С участием ОГ формируют различные полимерные композиты, в частности, с полистиролом и полиметилметакрилатом [27]. По данным атомно-силовой микроскопии и МУРР/МУРН в этих матрицах ОГ листы локально имеют плоскую геометрию (на масштабах ≤ 16 нм) и создают развитые межфазные границы с полимером, но на более протяженных масштабах поверхность ОГ шероховатая (складчатая) с фрактальной размерностью DS > 2 [27].
Следует пояснить, что у графена и производных (ОГ) отклонение геометрии от плоской в пределах ≤ 1 нм вызвано тепловыми флуктуациями [28], а более значительные изменения конформации – дефектами, функциональными группами и внешними напряжениями [29, 30]. У форм графена с высокой функционализацией (ОГ) степень гофрирования гораздо выше вследствие прерываний в сетке sp2-связанного углерода из-за функциональных групп, что способствует деформациям [31]. У однослойных листов графена (ОГ) механизмы образования морщин, их влияние на модуль Юнга моделировали методом молекулярной динамики и показали, что волнистость ОГ в основном это результат взаимодействий между краями листов, а их плоские контакты играли меньшую роль [29].
В реальных условиях механизмы конформационных изменений графена, ОГ и других производных усложнены взаимодействиями листов между собой и окружением в твердых матрицах [3–8], жидких дисперсиях [32, 33] и аэрогелях [34], в особенности при формировании композитов с наночастицами [24, 25, 35, 36]. Так в металло-композитах графена с алюминием по данным нейтронных экспериментов листы графена создавали агломераты диаметром ~ 80 нм с фрактальной поверхностью размерностью 2.1–2.8. Агломераты, составленные из пластин (10–25 листов, сложенных, скомканных и агрегированных), формировали наноразмерную армирующую фазу в композите [37]. Авторы [33] получали полимерные гибридные структуры путем плотной прививки поли(ε-капролактона) к пластинам графена. Такие структуры изучали в растворах методами ультрамалоуглового и малоуглового рассеяния нейтронов (УМУРН/МУРН) при вариации их контраста при замене протонированного растворителя на дейтерированный, что позволило оценить толщины пластин графена (~ 1 нм) и слоев привитых полимерных цепей (~20 нм) [33]. Прививка приводила к конформационным изменениям цепей, что способствовало их кристаллизации, улучшению термических свойств композита, повышению температуры его термодеструкции. Данная методология [33] может быть распространена на различные полимеры для изготовления нанокомпозитов с графеном.
В жидкой фазе особый интерес представляют бинарные системы ОГ и наноалмазов [34–36, 38]. В смешанных дисперсиях варьировали заряды и пропорции компонентов, чтобы выявить возможности формирования гибридных структур, полезных для применений, в частности, для модификации ионообменных мембран [39, 40].
Авторы [38] методами МУРР/МУРН и электронной микроскопии тестировали смеси гидрозоля детонационного наноалмаза (DNDZ+, размер 4–5 нм, положительный поверхностный потенциал [41]) и водной ОГ дисперсии при вариации массовых пропорций компонент (mGO/mDND = 0.27–2.4). Результаты сравнивали с данными для ОГ и алмазов по отдельности [38]. В дисперсии ОГ наблюдали листы в виде дисков (диаметр ~ 10 мкм, толщина ~ 0.5 нм), в алмазном гидрозоле – отдельные частицы и фрактальные агрегаты. В бинарной системе при наибольшем обогащении алмазами поведение сечения рассеяния σ(q) как функции переданного импульса q подчинялось степенному закону σ ~ q—2.3, примерно, как в гидрозоле DNDZ+. Однако в образце с минимальной долей алмазов сечение при малых импульсах следовало закону ~ q–2. Это отвечало рассеянию на дисках с поперечным размером 2.7 нм, значительно больше, чем у листов ОГ. Данный факт объяснили двухсторонним осаждением алмазов на ОГ листы, на что указывали и данные электронной микроскопии. Альтернативную возможность – интеркаляцию частиц алмаза между листами ОГ не рассматривали.
Нейтронные эксперименты подтвердили [42], что частицы ОГ в воде имеют геометрию плоских листов с показателем Df = 2 в законе рассеяния ~ q–Df. При смешивании дисперсии ОГ с гидрозолем алмазов DNDZ+ в пропорциях ОГ : алмаз = 10 : 1 и 1 : 1 фрактальное поведение сечения сохранилось, но показатель вырос (Df = 2.1; 2.25), что объяснили формированием гибридных структур с листами ОГ, искривленными при связывании с алмазными 2D-агрегатами из водного окружения [36]. Адсорбционную емкость ОГ определяли в дисперсии с фиксированной долей ОГ, куда добавляли алмазы для покрытия ОГ поверхности в пределах от 10 до 90%, удаляя оставшиеся свободные алмазы. По мере обогащения системы алмазами наблюдали рост сечения рассеяния до насыщения при покрытии ~ 30% поверхности ОГ, когда масштаб неоднородности распределения алмазов на ней сокращался до размера алмазных частиц. Отрицательно заряженные листы ОГ демонстрировали способность связывать положительно заряженные частицы DNDZ+. Листы ОГ сворачивались, охватывая алмазы, что выразилось в увеличении фрактальной размерности у гибридных структур (Df > 2). Более детального анализа данных не проводилось ввиду сложности моделирования гибридных структур, поскольку такого рода задачи решены лишь для объектов типа тонких частиц оксида графита (графена) [31].
Структурный фактор P(q) был рассчитан для двумерной гибкой макромолекулы (2D-FM) в виде развертывающейся поверхности круглого (эллиптического) диска с двойным гофром (складчатость Миуры). Данный объект представлял собой трехмерную складываемую и растягиваемую форму без самопересечений с учетом случайного сжатия и полидисперсности размеров. Структурный фактор P(q) сильно варьировался в зависимости от формы частицы. Она менялась при сокращении размера от плоской вытянутой (диск) до трехмерно-изотропной плотной в сжатом состоянии (короткий цилиндр), составленной из малых плоских фрагментов, которые в трехмерной геометрии не были изотропными и плотными. Модельные расчеты позволили объяснить данные рентгеновского рассеяния на тонких листах ОГ [43].
Подходы моделирования [31] учитывали сложную геометрию частиц ОГ, структурные факторы которых лишь ограниченно могут быть приближены фрактальными функциями рассеяния. Прямое применение модельных расчетов [31] также затруднительно при обработке данных рассеяния нейтронов в дисперсиях ОГ и других производных графена, тем более в смесях с другими наночастицами.
При изучении бинарных систем ОГ с детонационными наноалмазами [34] с помощью рассеяния нейтронов (МУРН) морфологию образовавшихся нанокомпозитов анализировали в зависимости от знака поверхностного потенциала алмазных частиц, используя фрактальные представления о геометрии рассеивающих объектов с учетом корреляций между ними, детектируемых в прямом и обратном пространствах. В сравнении с отрицательно заряженными алмазами DNDZ–, частицы DNDZ+ с положительным потенциалом демонстрировали более активное связывание ОГ в водных дисперсиях. Гибридные частицы сохраняли примерно плоскую геометрию как у тонких дисков. Предполагалось, что это могут быть сборки из листов ОГ, соединенных алмазами, задающими зазор между листами, но детального анализа и моделирования интеграции компонент не проводилось [34].
В работе [43] показано, что самоорганизация листов ОГ и алмазов DNDZ+ в воде ведет к формированию нанокомпозитов с чередующимися слоями ОГ и алмазов в виде плоских агрегатов, что важно для создания структур с развитой системой малых пор для применений в энергетике, технологиях мембран и сорбентов.
Исследования [34, 38, 42, 44] структурирования ОГ в дисперсиях и коллоидах на его основе с наноалмазами выявили закономерности взаимодействий и упорядочения тех и других наночастиц в зависимости от их концентраций и зарядов, когда наблюдалось образование гетероструктур с интегрированными в них плоскими алмазными агрегатами в окружении планарных (свернутых) листов ОГ. Анализ такого рода объектов методами МУРР/МУРН и электронной микроскопии носил в основном качественный характер без построения количественных моделей. Рассматривалась взаимная интеграция компонентов при адсорбции алмазов на листы ОГ, интеркаляция алмазов между ними и формирование слоистых структур с чередованием ОГ листов и плоских алмазных агрегатов.
Цель настоящей работы – изучение механизмов самоорганизации водных коллоидных систем ОГ и наноалмазов методами малоуглового рассеяния нейтронов и электронной микроскопии в зависимости от поверхностного потенциала (положительного либо отрицательного) алмазных частиц и пропорции компонент, обеспечивающей стабильность коллоидов со взвешенными гетероструктурами ОГ-наноалмаз, и в итоге – расшифровка их строения с созданием структурных моделей. Это позволит направленно формировать такого рода новые наноматериалы для актуальных применений [1–8].
ЭКСПЕРИМЕНТАЛЬНАЯ ЧАСТЬ
Приготовление образцов
Для изготовления образцов сначала получали дисперсии компонентов. ОГ был произведен при окислении и эксфолиации графита модифицированным методом Хаммерса [19, 34] без ультразвуковой обработки, чтобы не допустить деструкции материала. Частицы ОГ имели отрицательный электрокинетический потенциал (–60 мВ, модель Смолуховского). В нейтронных экспериментах использовали водную дисперсию ОГ с концентрацией 1.2 масс. % (образец 1, табл. 1), которая была стабильной при комнатной температуре и служила образцом сравнения в экспериментах с бинарными системами ОГ и алмазов. Детонационные наноалмазы (ДНА) готовили на основе промышленных алмазных порошков детонационного синтеза (ФГУП «СКТБ Технолог»), удаляя из них металлические и инертные примеси (<0.1 масс. %) [45]. Для получения гидрозоля с отрицательно заряженными алмазами DNDZ– (электрокинетический потенциал –74 мВ, модель Хюккеля) очищенный DND порошок отжигали на воздухе (430оC, 6 часов) [46], диспергировали в деионизованной воде, подвергали центрифугированию и обработке ультразвуком. Гидрозоль на основе положительно заряженных алмазов DNDZ+ (электрокинетический потенциал частиц +70 мВ, модель Хюккеля) готовили тем же способом из очищенного алмазного порошка, отожженного в атмосфере водорода (600оC, 3 часа) [47]. В гидрозолях максимум распределения объемных долей частиц по данным динамического рассеяния света соответствовал размеру dP ≈ 4.5 нм (ΔdP/dP ≈ 0.5) [35, 45, 46].
Первоначально готовили водные смеси на основе дисперсии ОГ (концентрация 1.8 масс. %), куда добавляли примерно удвоенные количества DNDZ– и DNDZ+ (3.9; 3.3 масс. %) при механическом перемешивании, что вело к частичному осаждению твердой фазы (табл. 1). В итоге, получили устойчивые коллоиды ОГ с частицами DNDZ– и DNDZ+ (образцы 2, 3) с одинаковой концентрацией твердой фазы (2.4 масс. %), но разными пропорциями компонент, регулируемыми в значительной мере силами их электростатического отталкивания (притяжения) при одноименных (разноименных) зарядах (образцы 2, 3) (табл. 1). Ввиду разноименных зарядов компонент, в системе ОГ и DNDZ+ образование гибридных структур было более вероятным, когда происходила частичная компенсация зарядов компонент, и гибриды имели меньший по величине электрокинетический потенциал (–22 мВ, модель Смолуховского), чем исходный ОГ. Структурирование не исключалось и в дисперсии одноименно заряженных ОГ и DNDZ– посредством водородных связей ионных групп и гидрофобных взаимодействий частиц, но в этом случае компенсации зарядов не происходило и гибриды имели потенциал (–39 мВ, модель Смолуховского), что ближе к значению потенциала исходного ОГ.
Таблица 1. Исходные (CIGO, CIDND) и конечные (CFGO, CFDND) концентрации компонентов (ОГ, алмазов) и всей твердой фазы (СIT/СFT) образцах
Образец | CIGO/CFGO, масс. % | CIDND/CFDND, масс. % | СIT/СFT, масс. % |
1, ОГ | 1.2/1.2 | – | 1.2/1.2 |
2, ОГ+DNDZ– | 1.8/1.35±0.37 | 3.9/1.05±0.26 | 5.7/2.4 |
3, ОГ+DNDZ+ | 1.8/1.80±0.03 | 3.3/0.60±0.03 | 5.1/2.4 |
Методы исследования
Анализ размеров частиц алмазов DNDZ+ и DNDZ– в гидрозолях проводили методом динамического рассеяния света (DLS) на анализаторе Zetasizer Nano ZS (Malvern Panalytical, Великобритания), определяя диаметр частиц (dP ≈ 4.5 нм) по позиции максимума распределения их объемных долей и оценивая дисперсию их размера (ΔdP/dP ≈ 0.5). Аналогичным образом анализировали размеры (~ 0.1–10 мкм) частиц ОГ и их гибридов с алмазами в водных дисперсиях.
Электрофоретическую подвижность частиц алмазов, ОГ и композитов в виде суспензий измеряли методом лазерного доплеровского электрофореза (LDV) на анализаторе Zetasizer Nano ZS (Malvern Panalytical, Великобритания).
ИК-спектры измеряли на Фурье-спектрометре (FTIR) ИнфраЛум ФТ-08 (Люмэкс, Россия) в диапазоне волновых чисел 500–4000 см–1. Перед измерениями образцы гидрозолей алмазов, ОГ и гибридных структур сушили под вакуумом в эксикаторе (5 суток) до достижения постоянной массы, затем смешивали с порошком KBr в соотношении 1 : 100.
Образцы алмазов и ОГ были аттестованы с помощью рентгеноструктурного анализа, подтвердившего их однофазный состав и структурные характеристики, при использовании дифрактометра Bruker D2 PHASER (Bruker AXS, Германия) в вертикальной геометрии Брэгга-Брентано, оснащенного полупроводниковым линейным (1D) позиционно-чувствительным детектором (PSD) LYNXEYE с углом раскрытия 5о. Использовали Cu-Kα-излучение рентгеновской трубки с анодом Cu, монохроматизированным Ni-фильтром фильтром (длина волны λ = 0.1541 нм). Дифрактограммы измеряли в симметричном режиме сканирования θ–2θ, когда образец вращался вокруг оси держателя образца, совпадающей с осью дифрактометра гониометра, для снижения влияние возможного эффекта пре- имущественной ориентации кристаллитов. Для корректировки рентгенограмм делали дополнительные измерения на порошковом рентгеновском стандарте Si640d (NIST, США).
Морфология чистого ОГ и материала бинарных смесей была исследована методом просвечивающей электронной микроскопии (ПЭМ). В ПЭМ-экспериментах для наблюдения сборок ОГ и алмазов в высушенных дисперсиях применяли аналитический просвечивающий электронный микроскоп Zeiss Libra 200FE (Междисциплинарный ресурсный центр по направлению «Нанотехнологии» Ресурсного парка СПбГУ). В процессе пробоподготовки водную суспензию исследуемых частиц разбавляли этиловым спиртом и выдерживали в ультразвуковой ванне (2 мин.) до однородного состояния. Затем 1 мкл полученного коллоидного раствора при помощи микродозатора переносили на ультратонкую углеродную мембрану на медном каркасе (TEM сетка), предварительно подготовленную путем травления в кислородной плазме для уменьшения ее толщины. Сразу после нанесения коллоидного раствора ТЕМ сетку подвергали сушке в подвешенном состоянии под действием направленного потока воздуха. Сканирование проб производили при ускоряющем напряжении 200 кВ.
Структуру и упорядочение частиц в дисперсии ОГ и бинарных системах ОГ с алмазами изучали методом МУРН (спектрометр ЮМО, Реактор ИБР-2, ОИЯИ, Дубна) [48–50]. Измеряли распределения интенсивности нейтронов, рассеянных образцами под малыми углами (θ), в диапазоне переданных импульсов q = (4π/λ)sin(θ/2) = 0.05–9.0 нм–1 для спектра падающих на образец нейтронов (длины волн λ ~ 0.05–0.8 нм) [49]. Для калибровки данных использовали стандартный образец ванадия, который рассеивал нейтроны не когерентно. Первичная обработка спектров с вычитанием фона и нормализацией на данные для стандарта с использованием программного комплекса SAS [50] позволила получить сечения рассеяния образцов σ(q) = d∑(q)/dΩ в абсолютных единицах (см–1) в расчете на единичные телесный угол Ω и объем образца (см3) в зависимости от переданного импульса (q). Далее применяли общую методологию обработки данных МУРН и физическое моделирование исследуемых объектов с учетом их контрастов при рассеянии нейтронов [51, 52].
ОБСУЖДЕНИЕ РЕЗУЛЬТАТОВ
ИК-спектроскопия
Образование гибридных структур ОГ с алмазами установлено первоначально по данным ИК-спектроскопии из сравнения спектров для частиц ОГ и объектов в бинарных дисперсиях, содержавших добавки алмазов DNDZ– DNDZ+ (рис. 1).
Рис. 1. ИК-спектры для ОГ (1) и гибридных структур ОГ с алмазами DNDZ– (2) и DNDZ+ (3).
В ИК-спектре ОГ (рис. 1) видны полосы (2920; 2851 см–1) симметричных и асимметричных валентных колебаний связей в CH2 группах. Интенсивная полоса (2500–3700 см–1) включает вклады колебаний связей в группах C—OH, COOH и молекулах H2O [53, 54]. Пики (3380; 3260 см–1) могут быть отнесены к валентным модам связей C—H и O–H [55]. Плечо с волновым числом 3565 см–1 отражает колебания связей C—OH в карбоксилах. В интервале волновых чисел 1700–1850 см–1 детектировались валентные колебания связи C=O (1730 см–1, 1820 см–1) [56–58]. Интенсивная полоса 1629 см–1 включает вклад колебаний C=C связей и деформационных колебаний молекул адсорбированной воды. В интервале 1365–1415 см–1 лежат характеристические полосы деформационных колебаний гидроксильных, карбоксильных и углеводородных групп [53, 54], а при числах 950–1300 см–1 детектируются колебания кислородсодержащих функциональных групп. Пик 1224 см–1 следует отнести к валентным модам связей C—C, C—O—C, C—O [53, 54, 59–62]. Полоса 1281 см–1 соответствует валентным колебаниям связей C—O, O—C—O [54, 60]. Пик в позиции 1091 см–1 может описывать колебания связей C—OH [53, 62], C—O группах C—O—C, O—C—C [59, 63]. Плечо с волновым числом 995 см–1 соответствует деформационным колебаниям вне плоскости связей C—O—C, О—Н [55, 62, 64, 65]. Слабые полосы в интервале 500–600 см–1 характерны для изгиба C—H связей [60]. К изгибным колебаниям связей C—H, C—C—O относятся полосы 705 и 828 см–1 [61, 66].
Связывание GO с DNDZ+ алмазами привело к спектральным изменениям (рис. 1), причем без проявления резонансов, характерных для алмазов, восстановленных в потоке водорода с увеличением количества С—Н связей и удалением большинства кислородсодержащих групп с поверхности частиц. У комплекса поглощение в полосе валентных колебаний (2500–3700 см–1) связей C—OH, COOH, H2O [53, 54] снизилось втрое, характеристические пики стали менее выраженными (2937; 3233; 3380; 3585 см–1), а в интервале 700–900 см–1 не проявились полосы изгибных колебаний связей C—H, C—C—O (705; 828 см–1) [61, 66]. Ослабели перекрывающиеся полосы 1300–1400 см–1 деформационных колебаний гидроксильных, карбоксильных групп и углеводородных групп [53, 54], полоса (1630 см–1) валентных колебаний C=C связей и деформационных колебаний молекул адсорбированной воды, уменьшился пик 1719 см–1, исчезло плечо (1820 см–1) колебаний связи C=O [56–58]. Образование комплексов ОГ+DNDZ+ выразилось в демпфировании колебательных мод ОГ.
У комплекса ОГ+ДНАZ- (рис. 1) спектр при волновых числах 3000–4000 см–1 мало отличается от данных для ОГ+DNDZ+. Наличие алмазов ДНАZ- подтверждается полосой 1770 см–1, отражающей колебания связи C=O в карбоксилах на поверхности алмазов. У алмазов и ОГ полоса 1415 см–1 характеризует деформационные колебания C—O—H в группах –COOH и O—H в плоскости связей. Пик (1264 см–1), кроме указанных мод для ОГ, может относиться к C—O валентным колебаниям карбоксилов, для которых детектируется также полоса 930 см–1 колебаний вне плоскости O—H связи.
Полученные данные ИК-спектроскопии (рис. 1) свидетельствуют о формировании гибридных частиц ОГ с алмазами обоих типов с разными знаками поверхностного потенциала. Последующие структурные исследования показали значительные различия в структурах тех и других бинарных комплексов.
Просвечивающая электронная микроскопия образцов
Просвечивающая электронная микроскопия (ПЭМ) на высушенной разбавленной водной дисперсии ОГ (образец 1) показала, что частицы ОГ являются сплошными с незначительным количеством структурных дефектов, имеют плоскую конформацию и способны образовывать складки (рис. 2а). В бинарных дисперсиях наблюдали частицы из ОГ и плоских агрегатов в виде монослоев частиц алмазов размером ~ 5 нм (рис. 2б, в), что свидетельствовало о связывании алмазов DNDZ– и DNDZ+ с листами ОГ. Более детальная информация о сборках была получена из данных рассеяния нейтронов.
Рис. 2. Изображения листов ОГ (а) и его композитов с алмазами DNDZ– (б) и DNDZ+ (в) по данным ПЭМ.
Рассеяние нейтронов в водных дисперсиях оксида графена и его смесях с алмазами
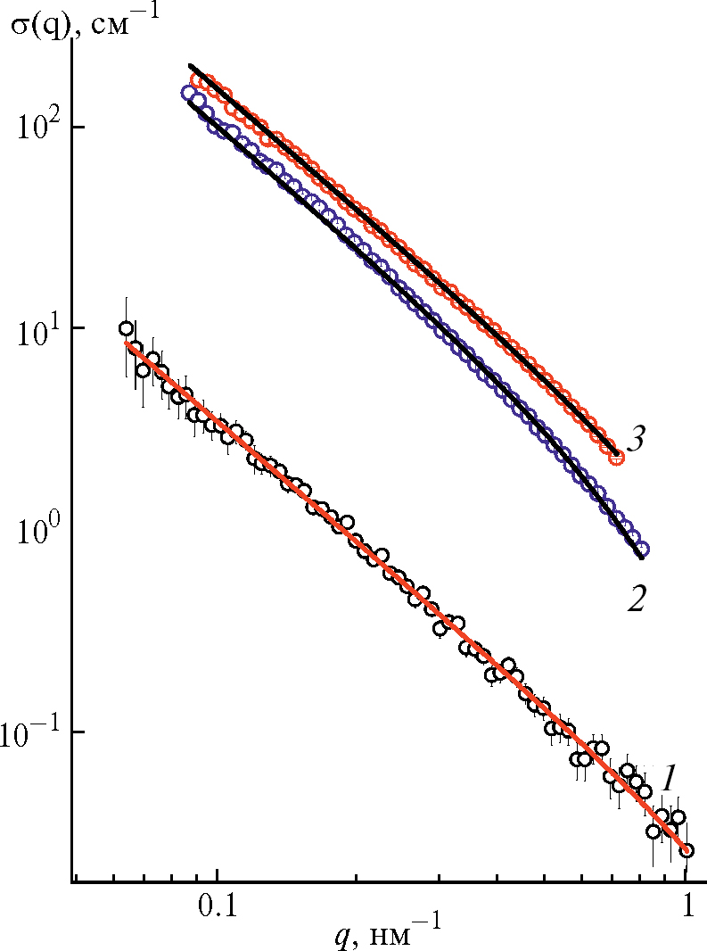
Данные МУРН демонстрируют сходство в поведении дифференциальных сечений рассеяния σ(q) в дисперсиях (образцы 1–3) при 20оC в зависимости от переданного импульса q = 0.06–9.0 нм–1 (рис. 3).
Рис. 3. Импульсные зависимости сечений рассеяния нейтронов σ(q) в дисперсиях ОГ (1) и системах ОГ+DNDZ– и ОГ+DNDZ+ на водной основе (2, 3). Прямыми линиями показано поведение сечений σ(q) ~ q–2 и q–4. Отмечена точка кроссовера (q*).
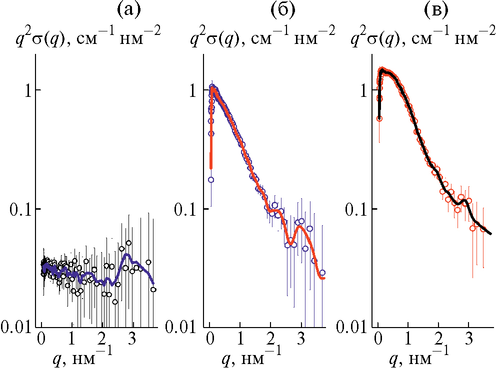
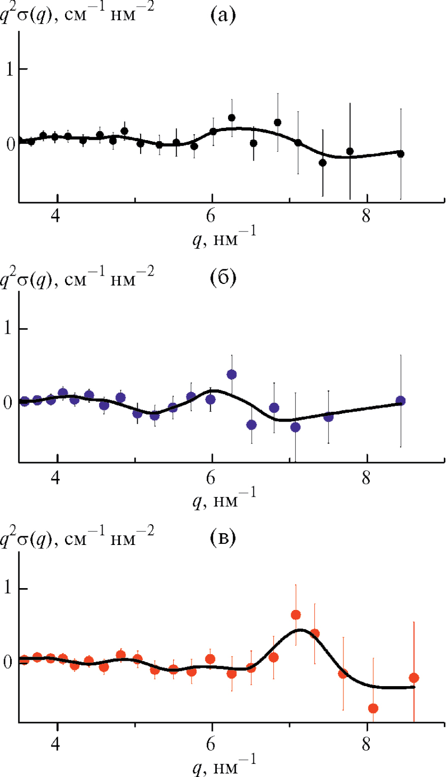
В дисперсии ОГ (образец 1) сечение во всем диапазоне импульсов снижается по закону σ(q) ~ q–2, характерному для тонких плоских объектов – листов (сборок) ОГ (рис. 3). В бинарных системах (образцы 2, 3) данные подчиняются подобным зависимостям только ниже точки q* ~ 1 нм–1 ~ 2π/dp, сопряженной диаметру алмазов (dp ~ 4.5 нм). При q ≥ q* наблюдается закон Порода σ(q) ~ q–4, когда доминирует рассеяние от частиц c резкими границами, т. е. от алмазов и возможно коагулированного ОГ (рис. 3). Чтобы выявить структурные особенности систем, обусловленные взаимодействиями, контактами, корреляциями частиц (листами ОГ, алмазами, сборками ОГ и алмазов) на масштабах R ~ 2π/q ~ 1–100 нм, данные анализировали в представлении Кратки q2σ(q) (рис. 4, 5).
Рис. 4. Данные в представлении Кратки для дисперсии ОГ (а) и бинарных систем с алмазами DNDZ– и DNDZ+ (б, в) при импульсах q > 3 нм–1. Линии – сплайн-функции экспериментальных данных.
Рис. 5. Данные в представлении Кратки для дисперсии ОГ (а) и бинарных систем с алмазами DNDZ– и DNDZ+ (б, в) при импульсах q ≤ 3 нм–1. Линии – сплайн-функции экспериментальных данных.
В образцах на кривых рассеяния видны характерные пики в позициях q ≈ 6.3; 6.0; 7.1 нм–1, отражающие контакты между листами ОГ на расстояниях δ = 2π/q ≈ 1.0; 1.1; 0.9 нм (рис. 4). В дисперсии ОГ значение δ = Lt + 2δw складывается из толщин листа Lt и двойного гидратного слоя δw = (Mw/ρwNA)1/3 ≈ 0.3 нм (NA – число Авогадро) согласно плотности (ρw) и молекулярной массе (Mw) воды. Отсюда для листа ОГ получается оценка толщины Lt = δ-2δw ≈ 0.4 нм. В дисперсии ОГ алмазы по-разному влияют на контактное расстояние. При наличии частиц DNDZ– с отрицательным потенциалом (образец 2) расстояние δ ≈ 1.1 нм больше невозмущенного значения δ ≈ 1.0 нм, что указывает на связывание алмазов с листами ОГ, когда их отрицательный заряд увеличивается, а взаимное отталкивание усиливается. Положительно заряженные алмазы DNDZ+, притягивая к себе листы ОГ, способствуют их сближению на расстояние δ ≈ 0.9 нм меньше исходного.
Наряду с прямыми контактами (рис. 4), в дисперсиях обнаружены корреляции листов ОГ на большем расстоянии δef = 2π/q ≈ 2 нм, согласно позиции пика, q ≈ 3 нм–1,на кривых сечений (рис. 5), что указывает на контакты волнистых участков поверхности листов с эффективным поперечным размером δef > Lt. Эффект наиболее выражен в дисперсии ОГ (образец 1) без других заметных особенностей в поведении сечения (рис. 5а) и менее проявлен в бинарных дисперсиях, где доминируют взаимодействия ОГ с алмазами (рис. 5б, в).
Данные для бинарной дисперсии (образец 2) демонстрируют дополнительный пик (q ≈ 2 нм–1) (рис. 5б), отвечающий расстоянию между листами ОГ δL ≈ 2π/q ≈ 3 нм, сопоставимому с диаметром частицы алмаза. Следовательно, алмазы DNDZ– связывают листы, сближая их в среднем на расстояние ~ δL (рис. 5б). Такая интеграция проявляется сильнее в дисперсии с разноименно заряженными компонентами (образец 3) ввиду их взаимного притяжения. Об этом свидетельствует значительный прирост сечения в области q ≤ 1 нм–1 (рис. 5в), обусловленный образованием сборок, когда ОГ покрывает алмазы DNDZ+, так что поперечный размер сборок превышает их диаметр. При этом происходит изгиб листов, охватывающих алмазы, поэтому в образце 3 латеральный размер сборок (~ 40 нм) меньше чем в образце 2 (~ 70 нм) согласно позициям максимумов главных пиков (0.15; 0.11 нм–1) (рис. 5б, в).
Проведенное сопоставление результатов дает качественное представление о механизмах структурирования ОГ и его дисперсий с разными типами алмазов. Количественная информация следует из анализа данных с использованием модельных функций рассеяния (рис. 6).
В области q < q* сечения следуют общей зависимости
(1)
с параметрами аппроксимации (AF, rgt), приведенными в табл.2.
Согласно данным (рис. 6) при переходе от дисперсии ОГ к бинарным системам поведение сечений ~ q–2 сохраняется, но поперечный размер (rgt) и рассеивающая способность (AF) наблюдаемых частиц возрастают при степени увеличения до двух и пятидесяти раз соответственно (табл. 2). Несмотря на сильные различия характеристик, частицы в образцах имеют общую планарную геометрию и малый поперечный размер (rgt ≤ 1 нм). Тот факт, что в бинарных дисперсиях он вдвое ниже радиуса алмаза dP/2 = 2.25 нм, означает формирование в них плоских сборок из листов ОГ, скрепленных алмазами, чему благоприятствует удельная площадь поверхности ОГ (2418 м2/г) [67] вшестеро выше, чем у алмазов (~400 м2/г) [35]. Ранее [38], в водных дисперсиях наблюдали гибридные структуры ОГ с агрегатами алмазов, которые вообще склонны объединяться в цепные структуры за счет притяжения между разноименно заряженными гранями [36, 68, 69]. В данных экспериментах, при тонком диспергировании ОГ в воде (рис. 6, табл. 2), алмазы (агрегаты) внедряются между листами ОГ. Алмазный монослой связывает их посредством электростатических сил, гидрофобных взаимодействий, ионных групп (H, OH, COOH), т. е. образуются сборки с поперечным радиусом инерции rgt ≤ Rd/2. Альтернативный вариант без интеркаляции – листы, с обеих сторон покрытые алмазами, противоречит данным (табл. 2). Тогда при той же пропорции компонент поперечный размер наблюдаемых объектов (листов с алмазами) был бы вдвое выше, rgt ~ Rd. С учетом этих соображений последующий анализ данных для ОГ исходного и интеркалированного алмазами основывался на модели планарных частиц (тонких дисков).
Рис. 6. Аппроксимация сечений рассеяния σ(q) при импульсах ниже точки кроссовера в дисперсии ОГ (данные 1) и водных смесях ОГ с алмазами DND Z– и DND Z+ (данные 2 и 3) функцией (1)
Рассеяние нейтронов на дисперсии ОГ
Данные для дисперсии ОГ (рис. 6) подчинялись модельной функции (1) с параметрами (AF, rgt), указанными в табл. 1. Функция (1) представляет собой сечение σ(q) = σoF2(q), где σo =σ(q→0) – его предел при малых импульсах. Использован квадрат форм-фактора дисков F2(q) = [2/(qRd)2]exp[–(qδd)2/12] толщиной много меньше радиуса (δd << Rd) при qRd >> 1, qδd << 1. Здесь первый множитель характеризует рассеяние в пределе тонких дисков, [2–J1(2qRd)/(2qRd)]/(qRd)2 ≈ 2/(qRd)2, qRd >> 1, второй множитель, exp[–(qδd)2/12], учитывает их поперечный радиус инерции rgt =δd/√12 [51, 52].
Отсюда ясно, каким образом измеряемый параметр AF = 2σo/Rd2=2π(ΔK)2φδd связан с сечением рассеяния σo = (ΔK)2φπδd на частицах в форме дисков каждый объемом πδdRd2 с учетом их фактора контраста (ΔK) и объемной доли (φ) в дисперсии. Значение AF (табл. 2), как и величина rgt, может служить для определения толщины частиц, δd = rgt√12 = AF/2π(ΔK)2φ. Здесь важно учитывать, что экспериментальные параметры (rgt, AF) содержат также информацию о контактах листов ОГ и отклонениях их геометрии от плоской.
Согласно данным при больших импульсах (рис. 4), листы ОГ контактируют на минимальном расстоянии ~ 1 нм, что соответствует их толщине Lt ~ 0.4 нм близкой к оценке Lt = 2/(Sspρgo) = 0.46 нм из плотности и удельной площади поверхности ОГ (ρgo = 1.8 г/см3, Ssp =2418 м2/г) [67], подтвержденной данными АСМ [70]. В приближении однородного слоя лист имеет поперечный радиус инерции атомного масштаба, rgt = Lt/√12 ≈ 0.13 нм. Это вчетверо меньше измеренного значения rgt = 0.54 нм (табл. 2). Ему соответствует слой толщиной LF = rgt√12 ≈ 1.87 нм > Lt. Такое значение LF может быть связано как с агрегацией, так и с волнистостью листов.
Таблица 2. Параметры аппроксимации данных функциями (1, 2)
Образец | AF, см-1нм-2 | Rgt, нм | A, см-1нм-2 | B, см-1нм-4 |
1, ОГ | 0.0327 ± 0.0004 | 0.54 ± 0.07 | 0.024 ± 0.002 | – |
2, ОГ+DNDZ– | 0.96 ± 0.01 | 1.10 ± 0.02 | 0.027 ± 0.007 | 0.33 ± 0.02 |
3, ОГ+DNDZ+ | 1.47 ± 0.01 | 0.71 ± 0.01 | – | 0.75 ± 0.01 |
Контакты частиц ОГ при сближении на расстояние δef ≈ 2 нм ≈ LF, действительно, регистрировались (рис. 5). Выяснить, что представляют собой эти частицы, позволяет параметр AF1 = 2π(ΔKgo)2φ1L1 = 0.0327 см–1нм–2 (табл. 2). Он зависит от фактической толщины частицы L1, фактора ее контраста в воде ΔKgo, объемной доли φ1 = C1go/ρgo = 0.00667 при массовой концентрации C1go = 1.2% и плотности ρgo= 1.8 г/см3 [67]. Для ОГ значение ΔKgo = [Kgo–KW] = 5.732·1010cm-1 рассчитано из плотности длины когерентного рассеяния Kgo = bm/vm для суммы длин рассеяния ядер С2О-группы, bm = 2bC + bO, с атомным весом AC2O и объемом vm = AC2O/(ρgoNA), где NA – число Авогадро, за вычетом плотности длины рассеяния для воды KW = – 0.56·1010 см–2 [71]. Как выяснилось, фактическая толщина пленки ОГ составила ~ 2 атомных диаметра, L1= AF1/2πφ1(ΔKgo)2 = 0.24 ± 0.01 нм, т. е. соответствовала остову листа ОГ без поверхностных групп. Таким образом, ОГ находился в воде в виде гофрированных листов с отклонением от центральной плоскости на расстояние ~ LF/2 ~ 1 нм.
Структуры дисперсий ОГ с алмазами по данным рассеяния нейтронов
Как отмечалось выше, в бинарных системах у частиц параметр rgt ~ 1 нм, в 1.5–2 раза выше, чем в дисперсии ОГ (табл. 2). Их поперечный размер rgt√12 ~ dP сопоставим с диаметром частиц алмаза, и, следовательно, это листы ОГ, связанные через слой алмазных частиц (рис. 7). Толщина таких сборок зависит от пропорции и упаковки компонентов, и в образце 2 она выше, чем в образце 3, ввиду взаимного отталкивания компонентов (табл. 2).
Рис.7. Сборки ОГ с алмазами DND Z– и DND Z+ (а, б). Обозначения: G – зазор между листами ГО, 2Lt – толщина слоя листов, R – радиус частицы алмаза.
В качестве альтернативы выбранной модели (рис. 7) рассматривали водную смесь компонентов с функцией рассеяния σ(q) = Аgo/q2 + Аd/qDfd, где первое слагаемое относилось к ОГ, второе – к алмазным агрегатам с фрактальной размерностью Dfd ~ 2.3 как у аналогичных структур в воде [36, 68, 69]. Данные для образца 2 сильнее, чем для образца 3, отклонялись от закона рассеяния ~1/q2 (рис. 5), поэтому анализировали кривую сечения для образца 2, приближая ее аддитивной функцией рассеяния в интервале q = 0.08–0.8 нм–1. Однако параметр Аd оказался отрицательным. Следовательно, образец 2 не содержал свободных агрегатов. Таким образом, модель интеркаляции нашла подтверждение.
Структуру частиц в бинарных дисперсиях определяли в рамках моделей (Рис. 7) с помощью характеристик (AF, rgt), найденных из данных при q < q*, и параметров сечений при q > q* (Рис. 8), когда вклады компонент разделялись,
. (2)
Здесь коэффициенты A, B характеризуют рассеяние от планарных и глобулярных фракций в дисперсиях (табл. 2).
В образце 1 глобулярные структуры отсутствовали (B1 = 0), наблюдалось рассеяние от фрагментов листов ОГ по закону A1/q2 (рис. 8, табл. 2).
Рис. 8. Аппроксимация сечений рассеяния σ(q) водных дисперсий ОГ (1) и его смесей (2, 3) с алмазами DNDZ– и DNDZ+ функцией (2) при больших импульсах.
В образце 2 детектировали рассеяние от планарных (ОГ) и глобулярных (DNDZ–) частиц (рис. 8, табл. 2). Доли ОГ (CFGO = C2go) и алмазов (CFDND = C2d) в общей концентрации CFT = Ct = C2go + C2d = 2.4 масс. % составили: C2go = C1go(A2/A1) = 1.35 ± 0.37 масс. %, C2d=Ct– C2go =1.05 ± 0.37 масс. % (табл. 1). При этом расчетный коэффициент B2c = 2πS2d(ΔKd)2 = 0.37 см– 1нм–4, пропорциональный площади поверхности алмазов (S2d) вполне соответствовал измеренному значению (табл. 2), что повысило точность определения CFDND =C2d = 1.05 ± 0.26% (табл. 1).
В образце 2 эффективная толщина сборок L2 = rgt2·√12 = 3.81 ± 0.07 нм ≤ dp, оцененная из поперечного радиуса инерции rgt2 = 1.10 ± 0.02 нм как для однородного слоя, была меньше диаметра алмазов в согласии с моделью (рис. 7а). В ней зазор между листами варьировался в плоскости сборки от диаметра алмазов dp = 4.5 нм в областях с агрегатами до значения G = 2.1 ± 0.1 нм < dp на свободных участках.
В сборках при плотной упаковке алмазных частиц в агрегатах на одну алмазную частицу с каждой стороны приходилась площадь листа s1=πR2/β с учетом коэффициента заполнения поверхности β = 0.906 проекциями частиц радиусом R на плоскость листа. Суммарно у агрегатов площадь покрытия по обе стороны сборок составила Sd = 2s1Nd при количестве алмазов Nd = C2d/(ρdvd) = 6.3·1016 см–3, заданным концентрацией C2d, плотностью ρd = 3.5 г/см3, объемом алмаза vd = (4π/3) R3 = 48 нм3. Свободную площадь ОГ по обе стороны сборок SF=St–Sd находили из полной односторонней площади ОГ, St = (1/2) C2go/(ρgoLt) за вычетом Sd при известной концентрации C2go, плотности ρgo, толщине Lt листов ОГ.
Для сборки (рис. 7а) с расчетными факторами нейтронного контраста для ОГ и алмазов, ΔKgo = 5.73–1010 см–2 и ΔKd = 12.23·1010 см–2, относительно легкой воды, расстоянием между листами (2R= dp) на участках с агрегатами и зазором (G) на свободных участках вычислили квадрат поперечного радиуса инерции для плотности длины рассеяния
. (3)
Интегрировали квадрат поперечной координаты (z) элемента сборки объемом (dv) с весом фактора контраста ΔK(z, ρ), зависящего от поперечной координаты z и радиуса ρ(x, y) в плоскости, по половине сборки симметричной относительно центральной плоскости (z = 0) (рис. 7a) для ОГ на свободных участках (I1) и в области покрытия (I2), для алмазов (I3), I1 = (2/3) ΔKgoSF[(Lt + G/2)3 – (G/2)3], I2 = (2/3) ΔKgoSd[(R+Lt)5–R5], I3 = (1/5) ΔKdR5vdNd. Cумму интегралов нормировали на величину Vs = ∫ΔK(z, ρ)dv = 2ΔKgoStLt + ΔKdvdNd.
Из (3) для измеренного значения rgt2 = 1.21 ± 0.04 нм2 определили зазор G = 2.1 ± 0.1 нм между листами ОГ на свободных участках сборок (рис. 7а). В приближении однородного слоя такие сборки имели эффективную толщину L2 = rgt√12 = 3.81 ± 0.07 нм, на 30% меньше своего габаритного размера L2max = (dp + 2Lt) = 5.4 нм. В дисперсии при сближении на расстояние L2max сборки могли формировать кластеры с некоторым числом агрегации (n2).
Это число оценивали из коэффициента АF2 = 2(ΔK2)2φ2n2(V2A/R2A2). Он включал фактор контраста (ΔK2), объемную долю (φ2), число (n2) сборок в кластере, объем сборки (V2A), нормированный на квадрат ее радиуса (R2A). Из расчетного отношения V2A/R2A2 ≈ 10.5 нм получается эффективная толщина сборки L2A = (V2A/πR2A2) ≈ 3.3 нм в приближении однородного круглого диска, что на 13% меньше оценки L2g = rgt2·√12 = 3.81 ± 0.07 нм через поперечный радиус инерции. Следует пояснить, что величина L2A, найденная для распределения компонент (концентрации C2go, C2d) с разными факторами контраста в сборке при учете дистанции между листами, покрывающими алмазы, зазора между листами на свободных участках (G = 2.1 ± 0.1 нм), является более точным приближением, чем грубая оценка L2g = rgt2·√12 для слоя однородного материала.
Число агрегации n2 ≈ 2.0 оценили из параметра АF2 = 2π(ΔK2)2φ2(n2L2A) (табл. 2), зависевшего от объемной доли φ2 = (G + 2Lt)SF + 2(R + Lt)Sd = =0.027, фактора контраста сборок ΔK2 = [ΔKgoC2go/ ρgo +ΔKdC2d/ρd]/φ2 = 2.94·1010см–2.
Одноименно заряженные компоненты (ОГ, DNDZ–) формировали планарные сборки из двух листов ОГ, связанных через частицы алмаза, при сближении листов на свободных участках с зазором порядка величины радиуса алмаза. Сборки были хорошо диспергированы в воде и слабо агрегированы в виде пар.
Структурирование было сильно выражено в образце 3 с разноименно заряженными частицами ОГ и DNDZ+. Компоненты взаимно притягивались, что вело к коагуляции, когда при высоких импульсах сечение следовало закону ~ B3/q4, рассеяния характерного для ОГ не наблюдалось (A3 = 0) (рис. 8, табл. 2). В этих условиях ОГ плотно покрывал алмазы согласно модели сборок (Рис. 7б). В них алмазы были заключены в сферические оболочки из ОГ, каждая площадью 4π(R+Lt/2)2, объемом vc=4πLt(R+Lt/2)2 при общей массе покрытия C3gd = [4πLt(R + Lt/2)2ρgo]Nd = C2d(ρgo/ρd)[3Lt(R+Lt/2)2/R3] = C3d·kc пропорциональной доле алмазов с коэффициентом kc = 0.383. Здесь число алмазных частиц Nd = C3d/(ρdvd) было задано их содержанием C3d, плотностью ρd = 3.5 г/см3, объемом частицы vd = 48 нм3.
Правомерность модели (рис. 7б) подтверждена соответствием измеренного коэффициента B3 (табл. 2) расчетному значению B3c = B3cd + B3goa – сумме вкладов от алмазов в тонких оболочках ОГ и коагулированного ОГ из соединенных листов
(4)
.
Здесь Sgoa = Stc – Sgd – площадь внешней поверхности сборок для ОГ вне оболочек, Stc = C2go/(ρgoLt) и Sgd = 4π(R + Lt/2)2Nd – односторонние общие площади коагулировавших листов и фрагментов ОГ в оболочках.
Величины B3сd = 0.37 см–1нм–4, B3goa = 0.39 см–1нм–4 вычислили для концентраций ОГ и алмазов, CFGO= = C3go = 1.80 ± 0.03%, CFDND = C3d = 0.60 ± 0.03%, найденных ниже из анализа данных при q = 0.08–0.8 нм–1 (Табл. 2). Коэффициент B3c = 0.77 см– 1нм–4 хорошо согласуется с измеренным значением B3 = 0.75 ± 0.01, что свидетельствует о справедливости модели (табл. 2).
Детальную информацию получили из данных (рис. 6), приближенных функцией (1) с параметрами (АF3, rgt3) (табл. 2). В сравнении с частицами ОГ+DNDZ–, рассеивающая способность (АF2) плотных сборок ОГ+DNDZ+ была в полтора раза выше при поперечном радиусе инерции rgt3 и эффективной толщине LA3 = rgt3∙√12 = 2.47 ± 0.05 нм меньшими на 30% (рис. 7б).
Для сборок (рис. 7б) рассчитали квадрат поперечного радиуса инерции через интегралы In1–4 по структурным элементам сборки с известными факторами контраста,
(5)
где Y = (C3go/C3d)(ρd/ρgo) – отношение объемов компонент,
In1 = Y(Lt2/3), In2 = (Lt3/R)(1 + Lt/2R)2, In3 = (R2/5)(1+Lt/R)5, In4 = (R2/5)[(ΔKd/ΔKgo)–1].
Из (5) для измеренного rgt2 = 0.50 ± 0.1 нм2 = rgtc2 был найден параметр Y = 5.85 ± 0.36, отношение C3go/ C3d = 3.01 ± 0.19 и значения концентраций, C3go=1.80 ± 0.03%, C3d = 0.60 ± 0.03%.
При данной пропорции, C3go: C3d = 3 : 1, для связывания ОГ в гибридные структуры в объемной доле твердой фазы достаточно всего ~ 15% частиц DNDZ+. В среднем на алмаз в сборке приходится односторонняя площадь ОГ ~ 300 нм2, а средняя дистанция между соседними частицами алмаза ~ 18 нм вчетверо больше их диаметра.
Для гибридных структур ОГ+DNDZ+ характерна плотная упаковка. При концентрации твердой фракции 2.4 масс. % они занимают малый объем φ3 = 0.012, имеющий довольно высокий контраст в воде ΔK3 [ΔKgo(C3go/ρgo)+ΔKd(C3d/ρd)]/ φ3 = 6.683·1010 см–2. Исходя из этих характеристик и параметра АF3 = 2(ΔK3)2φ3n3(V3A/R3A2), оценивали среднее число сборок в кластере n3 ≈ 3.3 при найденном расчетном отношении объема сборки к квадрату ее радиуса, V3A/R3A2 ≈ 4.2 нм. Поперечный размер гибридной сборки в приближении однородного слоя составил L3A = (V3A/πR3A2) ≈ 1.3 нм, что ~ 2.5 раза меньше, чем у сборки ОГ+DNDZ–. Числа агрегации (~ 2–3) различаются меньше, поскольку определяются внешними контактами листов ОГ и менее зависимы от алмазов внутри.
В итоге проведенного анализа данных рассеяния нейтронов показано, что в бинарных дисперсиях ОГ с алмазами как с положительным, так и с отрицательным потенциалами, происходит упорядочение компонент посредством интеркаляции алмазов между листами ОГ с образованием слоистых частиц по двум моделям (рис. 7). При одноименных с ОГ потенциалах алмазы играют роль сшивок между листами, при разноименных потенциалах – плотно связываются с ними. Это в основном и предопределяет структуру формирующихся слоистых сборок – планарную геометрию и поперечный размер, пропорцию компонентов, взаимодействия в дисперсиях. Изученные механизмы структурирования бинарных систем представляются важными для конструирования функциональных материалов на основе графенов и производных при связывании с другими углеродными наночастицами.
Полученные результаты и построенные модели сборок ОГ и алмазов, различающихся знаками поверхностного потенциала (положительного, отрицательного), являются развитием представлений [34] и предшествующих работ о структурировании бинарных водных дисперсий ОГ и алмазов. В указанных работах были созданы предпосылки для решения структурных задач, связанных с выяснением механизмов и форм самоорганизации ОГ и алмазов, но не было найдено самих решений, приводящих к структурным моделям упаковки алмазов между листами ОГ, поскольку анализ опирался в основном на общие фрактальные модели, которые не вполне специфичны для изучаемых гибридных объектов и больше подходят для описания агрегатов (цепных, разветвленных) из наночастиц (алмазов). Существенным прогрессом данной работы является выбор базовой модели именно планарных структур, которая позволила описать как отдельные листы ОГ, так и их сборки с алмазами в результате подробного количественного анализа данных.
ЗАКЛЮЧЕНИЕ
Анализ результатов нейтронных экспериментов на водных дисперсиях ОГ и его комплексов с детонационными алмазами позволил выявить и сравнить закономерности структурирования систем с одноименно и разноименно заряженными частицами при сильных различиях в их геометрии (планарной, глобулярной) и размерах, физико-химических и структурных свойствах.
Для дисперсии ОГ в воде установлено, что в ней преобладают отдельные листы, имеющие волнистость поверхности, измеряемую поперечным радиусом инерции ~ 0.5 нм, когда эффективная толщина листа четырехкратно превышает его фактический поперечный размер.
В смеси ОГ с алмазами DNDZ–, несмотря на электростатическое отталкивание отрицательно заряженных компонент, образуются сборки из листов ОГ с плоскими алмазными агрегатами между ними как следствие склонности алмазов к ассоциации в водных средах и адсорбции на листы ОГ с высокой удельной площадью поверхности, в результате чего алмазы через водородные связи своих карбоксилов с ионными группами ОГ скрепляют листы, зазор между которыми сужается до масштаба радиуса алмаза.
При переходе от алмазов DNDZ– к DNDZ+ электростатическое отталкивание компонент меняется на притяжение. Тогда для полной интеграции компонент достаточно ~ 15% алмазов DNDZ+ в объеме твердой фазы. Алмазы DNDZ+ покрываются оболочками ОГ, и при плотном соединении компонент образуются сборки меньшей средней толщины в отличие от разреженных структур ОГ+DNDZ–.
Результаты позволяют прогнозировать характер структурирования бинарных дисперсий, размеры гибридных сборок ОГ и алмазов в зависимости от пропорции ОГ и алмазов и от знака их заряда, что важно для функциональных применений такого рода объектов как наполнителей в мембранах для разделения газов и жидкостей, ионного транспорта и обмена в химических и биомедицинских технологиях, водородной энергетике.
БЛАГОДАРНОСТИ
Авторы благодарят Междисциплинарный ресурсный центр по направлению «Нанотехнологии» Ресурсного парка Санкт-Петербургского государственного университета за проведение электронной микроскопии образцов. Авторы благодарят Л.И. Лисовскую и И.Н. Иванову (ПИЯФ НИЦ КИ) за техническую помощь.
ФИНАНСИРОВАНИЕ РАБОТЫ
Работа выполнена при финансовой поддержке РНФ (грант 23-23-00129).
СОБЛЮДЕНИЕ ЭТИЧЕСКИХ СТАНДАРТОВ
В данной работе отсутствуют исследования человека или животных.
КОНФЛИКТ ИНТЕРЕСОВ
Авторы данной работы заявляют, что у них нет конфликта интересов.
About the authors
V. T. Lebedev
Петербургский институт ядерной физики им. Б.П. Константинова, НИЦ «Курчатовский институт»
Email: kulvelis_yv@pnpi.nrcki.ru
Russian Federation, Орлова Роща, 1, Гатчина, Ленинградская обл., 188300
Yu. V. Kulvelis
Петербургский институт ядерной физики им. Б.П. Константинова, НИЦ «Курчатовский институт»
Author for correspondence.
Email: kulvelis_yv@pnpi.nrcki.ru
Russian Federation, Орлова Роща, 1, Гатчина, Ленинградская обл., 188300
M. K. Rabchinskii
Физико-технический институт им. А.Ф. Иоффе
Email: kulvelis_yv@pnpi.nrcki.ru
Russian Federation, Политехническая ул., 26, Санкт-Петербург, 194021
A. T. Dideikin
Физико-технический институт им. А.Ф. Иоффе
Email: kulvelis_yv@pnpi.nrcki.ru
Russian Federation, Политехническая ул., 26, Санкт-Петербург, 194021
A. V. Shvidchenko
Физико-технический институт им. А.Ф. Иоффе
Email: kulvelis_yv@pnpi.nrcki.ru
Russian Federation, Политехническая ул., 26, Санкт-Петербург, 194021
B. B. Tudupova
Петербургский институт ядерной физики им. Б.П. Константинова, НИЦ «Курчатовский институт»; Физико-технический институт им. А.Ф. Иоффе
Email: kulvelis_yv@pnpi.nrcki.ru
Russian Federation, Орлова Роща, 1, Гатчина, Ленинградская обл., 188300; Политехническая ул., 26, Санкт-Петербург, 194021
V. I. Kuular
Петербургский институт ядерной физики им. Б.П. Константинова, НИЦ «Курчатовский институт»; Физико-технический институт им. А.Ф. Иоффе
Email: kulvelis_yv@pnpi.nrcki.ru
Russian Federation, Орлова Роща, 1, Гатчина, Ленинградская обл., 188300; Политехническая ул., 26, Санкт-Петербург, 194021
N. P. Yevlampieva
Санкт-Петербургский государственный университет
Email: kulvelis_yv@pnpi.nrcki.ru
Russian Federation, Университетская наб. 7/9, Санкт-Петербург, 199034
A. I. Kuklin
Объединенный институт ядерных исследований
Email: kulvelis_yv@pnpi.nrcki.ru
Лаборатория нейтронной физики им. И.М. Франка
Russian Federation, ул. Жолио-Кюри, 6, Дубна, Московская обл., 141980References
- Горшков Н.В., Яковлева Е.В., Краснов В.В., Киселев Н.В., Артюхов Д.И., Артюхов И.И., Яковлев А.В. Электрод для суперконденсатора на основе электрохимически синтезированного многослойного оксида графена // Журн. Прикл. Химии. 2021. Т. 94. № 3. С. 388–396. https://doi.org/10.31857/S0044461821030142
- Шаповалов С.С., Попова А.С., Иони Ю.В. Окисление дифенилацентилена в присутствии гетерогенных углеродсодержащих катализаторов на основе палладия, графена и оксида графена // Журн. неорган. химии. 2021. Т. 66. № 11. С. 1519–1522. https://doi.org/10.31857/S0044457X21110143
- Kumar A., Sharma K., Dixit A.R. A review on the mechanical properties of polymer composites reinforced by carbon nanotubes and graphene // Carbon Lett. 2021. V. 31. № 2. P. 149–165. https://doi.org/10.1007/s42823-020-00161-x.
- Li A., Zhang C., Zhang Y.-F. Thermal conductivity of graphene-polymer composites: Mechanisms, properties, and applications // Polymers. 2017. V. 9. № 9. P. 437. https://doi.org/10.3390/polym9090437
- Hu Z., Tong G., Lin D., Chen C., Guo H., Xu J., Zhou L. Graphene-reinforced metal matrix nanocomposites – a review // Mater. Sci. Technol. 2016. V. 32. № 9. P. 930–953. https://doi.org/10.1080/02670836.2015.1104018
- Vozniakovskii A.A., Vozniakovskii A.P., Kidalov S.V., Otvalko J., Neverovskaia A.Yu. Characteristics and mechanical properties of composites based on nitrile butadiene rubber using graphene nanoplatelets // J. Compos. Mater. 2020. V. 54. № 23. P. 3351–3364. https://doi.org/10.1177/0021998320914366
- Ширинкина И.Г., Бродова И.Г., Распосиенко Д.Ю., Мурадымов Р.В., Елшина Л.А., Шорохов Е.В., Разоренов С.В., Гаркушин Г.В. Влияние добавки графена на структуру и свойства алюминия // Физика металлов и металловедение. 2020. Т. 121. № 12. С. 1297–1306. https://doi.org/10.31857/S0015323021010113
- Симоненко Е.П., Симоненко Н.П., Колесников А.Ф., Чаплыгин А.В., Сахаров В.И., Лысенков А.С., Нагорнов И.А., Кузнецов Н.Т. Влияние добавки 2 об. % графена на теплообмен керамического материала в недорасширенных струях диссоциированного воздуха // Журн. неорган. химии. 2022. Т. 67. № 12. С. 1839–1850. https://doi.org/10.31857/S0044457X22601523.
- ISO/TR 19733:2019 Nanotechnologies — Matrix of properties and measurement techniques for graphene and related two-dimensional (2D) materials. https://www.iso.org/standard/66188.html (accessed on May 30, 2024).
- Voznyakovskii A.P., Vozniakovskii A.A., Kidalov S.V. New way of synthesis of few-layer graphene nanosheets by the self propagating high-temperature synthesis method from biopolymers // Nanomaterials. 2022. V. 12. № 4. 657. https://doi.org/10.3390/nano12040657
- Zhou L., Fox L., Włodek M., Islas L., Slastanova A., Robles E., Bikondoa O., Harniman R., Fox N., Cattelan M., Briscoe W.H. Surface structure of few layer graphene // Carbon. 2018. V. 136. P. 255–261. https://doi.org/10.1016/j.carbon.2018.04.089
- Um J.G., Jun Y.-S., Alhumade H., Krithivasan H., Lui G., Yu. A. Investigation of the size effect of graphene nanoplatelets (GnPs) on the anti-corrosion performance of polyurethane/GnP composites // RSC Adv. 2018. V. 8. № 31. P. 17091–17100. https://doi.org/10.1039/C8RA02087F
- Eletskii A.V. Phase change materials with enhanced thermal conductivity and heat propagation in them // Physchem. 2022. V. 2. № 1. P. 18–42. https://doi.org/10.3390/physchem2010003
- Marcano D.C., Kosynkin D.V., Berlin J.M., Sinitskii A., Sun Z., Slesarev A., Alemany L.B., Lu W., Tour J.M. Improved synthesis of graphene oxide // ACS Nano. 2010. V. 4. № 8. P. 4806–4814. https://doi.org/10.1021/nn1006368
- Сычев А.Е., Мержанов А.Г. Самораспространяющийся высокотемпературный синтез наноматериалов // Успехи химии. 2004. Т. 73. № 2. С. 157–170.
- Dikin D.A., Stankovich S., Zimney E.J., Piner R.D., Dommett G.H.B., Evmenenko G., Nguyen S.B.T., Ruoff R.S. Preparation and characterization of graphene oxide paper // Nature. 2007. V. 448. P. 457–460. https://doi.org/10.1038/nature06016
- Возняковский А.А., Возняковский А.П., Кидалов С.В., Осипов В.Ю. Структура и парамагнитные свойства графеновых нанопластин, полученных методом самораспространяющегося высокотемпературного синтеза из биополимеров // Журн. Структ. Химии. 2020. Т. 61. № 5. С. 869–878. https://doi.org/10.26902/JSC_id55453
- Voznyakovskii A.P., Vozniakovskii A.A., Kidalov S.V. Phenomenological model of synthesis of few-layer graphene (FLG) by the selfpropagating hightemperature synthesis (SHS) method from biopolymers // Fuller. Nanotub. Carbon Nanostructures. 2022. V. 30. № 1. P. 59–65. https://doi.org/10.1080/1536383X.2021.1993831
- Hummers W.S., Offeman R.E. Preparation of graphitic oxide // J. Am. Chem. Soc. 1958. V. 80. № 6. P. 1339.https://doi.org/10.1021/ja01539a017
- Елецкий А.В., Искандарова И.М., Книжник А.А., Красиков Д.Н. Графен: методы получения и теплофизические свойства // УФН. 2011. Т. 181. № 3. С. 233–268. https://doi.org/10.3367/UFNr.0181.201103a.0233.
- Voznyakovskii A.P., Neverovskaya A.Yu., Vozniakovskii A.A., Kidalov S.V. A quantitative chemical method for determining the surface concentration of stone–wales defects for 1D and 2D carbon nanomaterials // Nanomaterials. 2022. V. 12. № 5. P. 883. https://doi.org/10.3390/nano12050883
- Kidalov S., Voznyakovskii A., Vozniakovskii A., Titova S., Auchynnikau Y. The effect of few-layer graphene on the complex of hardness, strength, and thermo physical properties of polymer composite materials produced by digital light processing (DLP) 3D printing // Materials. 2023. V. 16. № 3. P. 1157. https://doi.org/10.3390/ma16031157
- Рунов В.В., Бугров А.Н., Смыслов Р.Ю., Копица Г.П., Иванькова Е.М., Павлова А.А., Феоктистов А. Магнитное рассеяние нейтронов в восстановленном оксиде графена // Письма в ЖЭТФ. 2021. Т. 113. № 5–6. С. 385–389. https://doi.org/10.31857/S1234567821060057
- Камзин А.С., Obaidat I.M., Козлов В.С., Воронина Е.В., Narayanaswamy V., Al-Omari I.A. Нанокомпозиты оксид графена/оксид железа (GrO/FeOx) для биомедицины: синтез и исследования // Физика твердого тела 2021. Т. 63. № 6. С. 807–816.https://doi.org/10.21883/FTT.2021.06.50944.004
- Камзин А.С., Obaidat I.M., Козлов В.С., Воронина Е.В., Narayanaswamy V., Al-Omari I.A. Магнитные нанокомпозиты оксид графена/магнетит + кобальтовый феррит (GrO/Fe3O4 + CoFe2O4) для магнитной гипертермии // Физика твердого тела. 2021. Т. 63. № 7. С. 900–910. https://doi.org/10.21883/FTT.2021.07.51040.039
- Singh N., Ansari J.R., Pal M., Das A., Sen D., Chattopadhyay D., Datta A. Enhanced blue photoluminescence of cobalt-reduced graphene oxide hybrid material and observation of rare plasmonic response by tailoring morphology // Appl. Phys. A. 2021. V. 127. P. 568.https://doi.org/10.1007/s00339-021-04697-1
- Weir M.P., Johnson D.W., Boothroyd S.C., Savage R.C., Thompson R.L., Parnell S.R., Parnell A.J., King S.M., Rogers S.E., Coleman K.S., Clarke N. Extrinsic wrinkling and single exfoliated sheets of graphene oxide in polymer composites // Chem. Mater. 2016. V. 28. № 6. P. 1698–1704. https://doi.org/10.1021/acs.chemmater.5b04502
- Meyer J.C., Geim A.K., Katsnelson M.I., Novoselov K.S., Booth T.J., Roth S. The structure of suspended graphene sheets // Nature. 2007. V. 446. № 7131. P. 60–63. https://doi.org/10.1038/nature05545
- Shen X., Lin X., Yousefi N., Jia J., Kim J.-K. Wrinkling in graphene sheets and graphene oxide papers // Carbon. 2014. V. 66. P. 84–92. https://doi.org/10.1016/j.carbon.2013.08.046
- Wang C., Liu Y., Lan L., Tan H. Graphene wrinkling: formation, evolution and collapse // Nanoscale. 2013. V. 5. № 10. P. 4454–4461. https://doi.org/10.1039/C3NR00462G
- Hirata M. Particle scattering function of a two-dimensional flexible macromolecule // Polym. J. 2013. V. 45. P. 802–812. https://doi.org/10.1038/pj.2012.219
- Ali J., Li Y., Shang E., Wang X., Zhao J., Mohiuddin M., Xia X. Aggregation of graphene oxide and its environmental implications in the aquatic environment // Chin Chem Lett. 2023. V. 34. № 2. 107327. https://doi.org/10.1016/j.cclet.2022.03.050
- Mondal T., Ashkar R., Butler P., Bhowmick A.K., Krishnamoorti R. Graphene nanocomposites with high molecular weight poly(ε-caprolactone) grafts: Controlled synthesis and accelerated crystallization // ACS Macro Lett. 2016. V. 5. № 3. P. 278–282. https://doi.org/10.1021/acsmacrolett.5b00930
- Рабчинский М.К., Трофимук А.Д., Швидченко А.В., Байдакова М.В., Павлов С.И., Кириленко Д.А., Кульвелис Ю.В., Гудков М.В., Шиянова К.А., Коваль В.С., Петерс Г.С., Лебедев В.Т., Мельников В.П., Дидейкин А.Т., Брунков П.Н. Влияние знака дзета-потенциала наноалмазных частиц на морфологию композитов графен-детонационный наноалмаз в виде суспензий и аэрогелей // Журнал технической физики. 2022. Т. 92. № 12. С. 1853–1868. https://doi.org/10.21883/JTF.2022.12.53913.208-22
- Vul A.Ya., Dideikin A.T., Aleksenskiy A.E., Baidakova M.V. Detonation nanodiamonds. Synthesis, properties and applications. In: Williams O.A. (ed.) Nanodiamond, RSC Nanoscience and Nanotechnology. Cardiff: RSC Publishing. 2014.
- Vul A.Ya., Eidelman E.D., Aleksenski, A.E., Shvidchenko A.V., Dideikin A.T., Yuferev V.S., Lebedev V.T., Kulvelis Yu.V., Avdeev M.V. Transition sol-gel in nanodiamond hydrosols // Carbon. 2017. V. 114. P. 242–249. https://doi.org/10.1016/j.carbon.2016.12.007
- Du X.M., Qi H.T., Li T.F., Chen D.F., Liu Y.T., Zhao T., Liu F.G., Sun K., Wang Z.J., Clemens D., Liu R.D., Zhang L., Kent B. Small-angle neutron scattering characterization of graphene/Al nanocomposites // Dig. J. Nanomater. Biostructures. 2019. V. 14. № 2. P. 329–335.
- Tomchuk O.V., Avdeev M.V., Dideikin A.T., Vul’ A.Y., Aleksenskii A.E., Kirilenko D.A., Ivankov O.I., Soloviov D.V., Kuklin A.I., Garamus V.M., Kulvelis Y.V., Aksenov V.L., Bulavin L.A. Revealing the structure of composite nanodiamond–graphene oxide aqueous dispersions by small-angle scattering // Diam. Relat. Mater. 2020. V. 103. P. 107670. https://doi.org/10.1016/j.diamond.2019.107670
- Lobanova M.S., Postnov V.N., Melnikova N.A., Novikov A.G.; Murin I.V. Aquivion-based composite membranes with nanosized additives // Mosc. Univ. Chem. Bull. 2020. V. 75. P. 121–124. https://doi.org/10.3103/S0027131420020066
- Choi B.G., Hong J., Park Y.C., Jung D.H., Hong W.H., Hammond P.T., Park H.S. Innovative polymer nanocomposite electrolytes: Nanoscale manipulation of ion channels by functionalized graphenes // ACS Nano. 2011. V. 5. P. 5167–5174. https://doi.org/10.1021/nn2013113
- Aleksenskii A.E., Chizhikova A.S., Kuular V.I., Shvidchenko A.V., Stovpiaga E.Yu., Trofimuk A.D., Tudupova B.B., Zhukov A.N. Basic properties of hydrogenated detonation nanodiamonds // Diam. Relat. Mater. 2024. V. 142. P. 110733. https://doi.org/10.1016/j.diamond.2023.110733
- Kulvelis Yu.V., Rabchinskii M.K., Dideikin A.T., Trofimuk A.D., Shvidchenko A.V., Kirilenko D.A., Gudkov M.V., Kuklin A.I. Small-angle neutron scattering study of graphene-nanodiamond composites for biosensor and electronic applications // J. Surf. Investig. 2021. V. 15. № 5. P. 896–898. https://doi.org/10.1134/S1027451021050062
- Titelman G.I., Gelman V., Bron S., Khalfin R.L., Cohen Y., Bianco-Peled H. Characteristics and microstructure of aqueous colloidal dispersions of graphite oxide // Carbon. 2005. V. 43. № 3. P. 641–649. https://doi.org/10.1016/j.carbon.2004.10.035
- Trofimuk A.D., Kirilenko D.A., Kukushkina Yu.A., Tomkovich M.V., Stovpiaga E.Yu., Kidalov S.V., Dideikin A.T. Structure and properties of self-assembled graphene oxide -detonation nanodiamond composites // Fuller. Nanotub. Carbon Nanostructures. 2024. P. 1–9. https://doi.org/10.1080/1536383X.2024.2340022
- Aleksenskii A.E. Technology of preparation of detonation nanodiamond, in: A.Y. Vul, O.A. Shenderova (еd.), Detonation Nanodiamonds: Science and Applications, 1st ed. Singapore: Pan Stanford Publishing. 2014. P. 37–73.
- Aleksenskiy A.E., Eydelman E.D., Vul’ A.Ya. Deagglomeration of detonation nanodimonds // Nanosci. Nanotechnol. Lett. 2011. V. 3. № 1. P. 68–74. https://doi.org/10.1166/nnl.2011.1122
- Williams O.A., Hees J., Dieker C., Jager W., Kirste, L., Nebel C.E. Size-dependent reactivity of diamond nanoparticles // ACS Nano. 2010. V. 4. P. 4824–4830.https://doi.org/10.1021/nn100748k
- Kuklin A.I., Ivankov A.I., Soloviov D.V., Rogachev A.V., Kovalev Y.S., Soloviev A.G., Islamov A.K., Balasoiu M., Vlasov A.V., Kutuzov S.A. High-throughput SANS experiment on two-detector system of YuMO spectrometer // J. Phys. Conf. Ser. 2018, V. 994. P. 012016. https://doi.org/10.1088/1742-6596/994/1/012016
- Kuklin A.I., Ivankov O.I., Rogachev A.V., Soloviov D.V., Islamov A.K., Skoi V.V., Kovalev Y.S., Vlasov A.V., Ryzhykau Y.L., Soloviev A.G., Kucerka N., Gordeliy V.I. Small-angle neutron scattering at the pulsed reactor IBR-2: Current status and prospects // Crystallogr. Rep. 2021. V. 66. P. 231–241. https://doi.org/10.1134/S1063774521020085
- Soloviev A.G., Solovjeva T.M., Ivankov O.I., Soloviov D.V., Rogachev A.V., Kuklin A.I. SAS program for two-detector system: Seamless curve from both detectors // J. Phys. Conf. Ser. 2017. V. 848. P. 012020. https://doi.org/10.1088/1742-6596/848/1/012020
- Свергун Д.И., Фейгин Л.А. Рентгеновское и нейтронное малоугловое рассеяние. М. «Наука», 1986, 280 с.
- Nallet F. De l’intensite a la structure en phisico-chemie des milieux disperses. J. Phys. IV France. 1999. V. 9. Pr.1-95-Pr1-107. https://doi.org/10.1051/jp4:1999107
- Rabchinskii M.K., Ryzhkov S.A., Gudkov M.V., Baidakova M.V., Saveliev S.D., Pavlov S.I., Shnitov V.V., Kirilenko D.A., Stolyarova D.Yu., Lebedev A.M. Unveiling a facile approach for large-scale synthesis of N-doped graphene with tuned electrical properties // 2D Mater. 2020. V. 7. P. 045001. https://doi.org/10.1088/2053-1583/ab9695
- Rabchinskii M.K., Shnitov V.V., Dideikin A.T., Aleksenskii A.E., Vul’ S.P., Baidakova M.V., Pronin I.I., Kirilenko D.A., Brunkov P.N., Weise J., Molodtsov S.L. Nanoscale perforation of graphene oxide during photoreduction process in the argon atmosphere // J. Phys. Chem. C 2016. V. 120. № 49. P. 28261–28269. https://doi.org/10.1021/acs.jpcc.6b08758.
- Prodan D., Moldovan M., Furtos G., Sarosi C., Filip M., Perhaita I., Carpa R., Popa M., Cuc S., Varvara S., Popa D. Synthesis and characterization of some graphene oxide powders used as additives in hydraulic mortars // Appl. Sci. 2021. V. 11. № 23. P. 11330. https://doi.org/10.3390/app112311330
- Verma S., Dutta R.K. A facile method of synthesizing ammonia modified graphene oxide for efficient removal of uranyl ions from aqueous medium // RSC Adv. 2015. V. 5. P. 77192–77203. https://doi.org/10.1039/C5RA10555B
- Aziz M., Halim F.S.A., Jaafar J. Preparation and characterization of graphene membrane electrode assembly // Jurnal Teknologi 2014. V. 69. № 9. P. 11–14. https://doi.org/10.11113/jt.v69.3388
- Aliyev E., Filiz V., Khan M.M., Lee Y.J., Abetz C., Abetz V. Structural characterization of graphene oxide: surface functional groups and fractionated oxidative debris // Nanomaterials 2019. V. 9. № 8. P. 1180. https://doi.org/10.3390/nano9081180
- Emiru T.F., Ayele D.W. Controlled synthesis, characterization and reduction of graphene oxide: A convenient method for large scale production // Egypt. J. Basic Appl. Sci. 2017. V. 4. № 1. P. 74–79. https://doi.org/10.1016/j.ejbas.2016.11.002
- Lewandowska K., Rosiak N., Bogucki A., CieleckaPiontek J. Tuning electronic and magnetic properties in graphene oxide – porphyrins complexes // OSF Preprints 2019. https://doi.org/10.31219/osf.io/jqapg
- Surekha G., Krishnaiah K.V., Ravi N., Suvarna R.P. FTIR, Raman and XRD analysis of graphene oxide films prepared by modified Hummers method // J. Phys. Conf. Ser. 2020. V. 1495. P. 012012. https://doi.org/10.1088/1742-6596/1495/1/012012
- Shiyanova K.A., Gudkov M.V., Rabchinskii M.K., Sokura L.A., Stolyarova D.Y., Baidakova M.V., Shashkin D.P., Trofimuk A.D., Smirnov D.A., Komarov I.A., Timofeeva V.A., Melnikov V.P. Graphene oxide chemistry management via the use of KMnO4/K2Cr2O7 oxidizing agents // Nanomaterials 2021. V. 11. № 4. P. 915.https://doi.org/10.3390/nano11040915
- Çiplak Z., Yildiz N., Çalimli A. Investigation of graphene/Ag nanocomposites synthesis parameters for two different synthesis methods // Fuller. Nanotub. Carbon Nanostruct. 2015. V. 23. № 4. P. 361–370.https://doi.org/10.1080/1536383X.2014.894025
- Peressut A.B., Virgilio M.D., Bombino A., Latorrata S., Muurinen E., Keiski R.L., Dotelli G. Investigation of sulfonated graphene oxide as the base material for novel proton exchange Membranes // Molecules 2022. V. 27. № 5. 1507. https://doi.org/10.3390/molecules27051507
- Alussail F.A. Synthesis and characterization of reduced graphene oxide films. A thesis, University of Waterloo, Canada, 2015. UWSpace, https://uwspace.uwaterloo.ca/handle/10012/9202 (accessed on July 12, 2024).
- Zahid M., Khalid T., Rehan Z.A., Javed T., Akram S., Rashid A., Mustafa S.K., Shabbir R., Mora-Poblete F., Asad M.S., Liaquat R., Hassan M.M., Amin M.A., Shakoor H.A. Fabrication and characterization of sulfonated graphene oxide (SGO) doped PVDF nanocomposite membranes with improved anti-biofouling performance // Membranes 2021. V. 11. № 10. P. 749. https://doi.org/10.3390/membranes11100749
- Kandasamy S.K. Graphene oxide. In: Graphene, Nanotubes and Quantum Dots-Based Nanotechnology. Fundamentals and Applications // Woodhead Publishing Series in Electronic and Optical Materials. 2022. Ch. 8. P. 155–172. https://doi.org/10.1016/B978-0-323-85457-3.00024-4
- Lebedev V.T., Kulvelis Yu.V., Kuklin A.I., Vul. A.Ya. Neutron study of multilevel structures of diamond gels // Condens. Matter. 2016. V. 1. № 1. P. 10. https://doi.org/10.3390/condmat1010010
- Tomchuk O.V., Mchedlov-Petrossyan N.O., Kyzyma O.A., Kriklya N.N., Bulavin L.A., Zabulonov Y.L., Ivankov O.I., Garamus V.M., Osawa E., Avdeev M.V. Cluster-cluster interaction in nanodiamond hydrosols by small-angle scattering // J. Mol. Liq. 2022. V. 354. P. 118816. https://doi.org/10.1016/j.molliq.2022.118816
- Esteban-Arranz A., Arranz M.A., Morales M., Martín-Folgar R., Álvarez-Rodríguez J. Thickness of graphene oxide-based materials as a control parameter // ChemRxiv. 2021. https://doi.org/10.26434/chemrxiv-2021-sp4zs
- Sears V.F. Neutron scattering lengths and cross sections // Neutron news 1992. V. 3. № 3. P. 26–37. https://doi.org/10.1080/10448639208218770
Supplementary files










