Эффект электростатических взаимодействий в червеобразных мицеллах ПАВ на основе бетаина и заряженного третичного амина с одинаковыми гидрофобными группами
- Authors: Хао У.1, Молчанов В.С.1, Чесноков Ю.М.2, Подлесный П.Р.2, Филиппова О.Е.1
-
Affiliations:
- Московский государственный университет им. М. В. Ломоносова
- Курчатовский институт
- Issue: Vol 86, No 2 (2024)
- Pages: 294-302
- Section: Articles
- Submitted: 08.07.2024
- Accepted: 08.07.2024
- Published: 15.03.2024
- URL: https://journals.rcsi.science/0023-2912/article/view/259167
- DOI: https://doi.org/10.31857/S0023291224020144
- EDN: https://elibrary.ru/DENRXD
- ID: 259167
Cite item
Full Text
Abstract
Исследованы вязкоупругие свойства и структура растворов смешанных червеобразных мицелл на основе цвиттерионного ПАВ олеиламидопропилдиметил карбоксибетаина (ОАПБ) и положительно заряженного олеиламидопропилдиметил амина (ОАПА) при разном соотношении между компонентами. При малой доле катионного ПАВ ОАПА раствор проявляет вязкоупругие свойства, характерные для полуразбавленных растворов переплетенных червеобразных мицелл, присутствие которых было подтверждено данными криогенной электронной микроскопии. Обнаружено, что по мере увеличения мольной доли заряженного ПАВ до 0.1 вязкость и время релаксации растворов падают в три раза, а значения модуля накопления при малых временах воздействия не изменяются. Используемые ПАВ имеют близкое строение, поэтому при замене молекул цвиттерионного ПАВ на положительно заряженные молекулы ОАПА главным фактором изменения свойств и структуры является усиление электростатического отталкивания на поверхности мицелл. Показано, что данный фактор приводит к уменьшению средней длины мицелл и увеличению количества мицелл, что слабо отражается на реологических свойствах системы, пока длина мицелл больше, чем длина субцепей в сетке. При увеличении мольной доли ОАПА с 0.1 до 0.5 наблюдается резкое падение вязкости и времени релаксации на порядки и потеря раствором вязкоупругого отклика, т. е. разрушение сетки. Данный переход от полуразбавленного раствора к разбавленному объясняется уменьшением длины червеобразных мицелл и образованием сферических мицелл. Изображения, полученные методом криогенной электронной микроскопии, подтвердили образование смеси длинных и коротких червеобразных мицелл со сферическими мицеллами при мольной доле ОАПА 0.5.
Full Text
ВВЕДЕНИЕ
Червеобразные мицеллы поверхностно-активных веществ (ПАВ) привлекают внимание исследователей последние 30 лет как самоорганизующиеся длинные нитеподобные агрегаты, которые называют живыми полимерами [1, 2]. Из-за огромной длины уже при невысоких концентрациях (обычно выше 5 ммоль/л или 0.1–0.2 вес. %) мицеллы переплетаются, образуя сетку топологических зацеплений, что придает водным растворам уникальные стимул-восприимчивые вязкоупругие свойства [3–5]. Поэтому они нашли применение как загустители в бытовой химии, косметике, в различных технологиях в нефтедобыче, как противотурбулентные присадки и шаблоны для синтеза стержнеподобных неорганических частиц [6].
Подавляющая часть исследований проводилась с использованием катионных [7–9], анионных ПАВ [10–12] и их смесей [13, 14]. Но с расширением практического применения червеобразных мицелл фокус исследований сместился в сторону нетоксичных и биосовместимых цвиттерионных ПАВ [15, 16] и их смесей с анионными ПАВ [17, 18]. Для получения длинных червеобразных мицелл используют молекулы с относительно длинными гидрофобными группами, чтобы обеспечить сильные гидрофобные взаимодействия: насыщенные цетильные группы [7], а также ненасыщенные олеильные [11] и эруцильные [9] группы, в которых наличие двойной связи делает температуру Крафта достаточно низкой, несмотря на большую длину хвоста. В случае катионных и анионных ПАВ червеобразные мицеллы образуются из сферических при добавлении низкомолекулярных солей [9, 12], в том числе гидротропных солей [19], которые частично экранируют электростатическое отталкивание на поверхности мицелл, обеспечивая оптимальный параметр молекулярной упаковки для цилиндрической формы мицеллы [20]. В случае смеси анионных и катионных ПАВ при определенном соотношении между ними электростатическое отталкивание оказывается достаточно экранировано для образования червеобразных мицелл [14]. При увеличении экранирования отталкивания рост вязкости и времени релаксации растворов сменяется падением, что объясняется образованием разветвленных мицелл, в которых точки ветвления не фиксированы и могут легко двигаться вдоль основной цепи, создавая более простой способ релаксации напряжения в сетке зацеплений, чем рептация и обратимый разрыв мицелл [14, 21]. В некоторых случаях избыточная экранировка приводит к образованию везикул [22, 23] и, как следствие, разрушению вязкоупругой сетки.
К настоящему времени растворы червеобразных мицелл цвиттерионных ПАВ исследованы недостаточно подробно. Показано, что цвиттерионные ПАВ образуют червеобразные мицеллы с высокими вязкоупругими свойствами даже в отсутствие солей [15, 16, 24]. Для этого использовали ПАВ с олеиновой и эруциловой гидрофобными группами. При образовании мицелл на основе цвиттерионных ПАВ, несмотря на то, что гидрофильные части содержат группы обоих зарядов, следует учитывать электростатические взаимодействия. Показано, что на поверхности цвиттерионных мицелл существует диполь-дипольное отталкивание гидрофильных групп [18, 25, 26], а при добавлении небольшого количества анионного ПАВ его отрицательно заряженная группа располагается непосредственно между положительно заряженными группами цвиттерионных молекул, что приводит к уменьшению отталкивания на поверхности мицелл и увеличению вероятности образования цилиндрических мицелл и росту их длины [17, 25, 26]. Но при больших долях анионного ПАВ длина мицелл становится короче, и сетка разрушается, что связывают со склонностью используемых анионных ПАВ образовывать сферические мицеллы [27]. С другой стороны, при добавлении гидротропных солей, призванных создать эффект, аналогичный анионному ПАВ, вязкость растворов уменьшается до вязкости воды, т. е. происходит разрушение сетки [16]. Разрушение сетки червеобразных мицелл цвиттерионного ПАВ наблюдали также при добавлении катионного ПАВ, что объяснили усилением электростатического отталкивания на поверхности мицелл [27].
Таким образом, можно заключить, что при формировании сетки червеобразных мицелл одним из ключевых факторов является электростатическое взаимодействие гидрофильных групп, а в случае цвиттерионных ПАВ его влияние на вязкоупругие свойства растворов слабо изучено. C фундаментальной точки зрения и для расширения использования цвиттерионных ПАВ в практических приложениях необходимо исследовать роль электростатических взаимодействий в формировании и разрушении червеобразных мицелл в смесях на основе цвиттерионных ПАВ. Но если в мицеллы цвиттерионных ПАВ добавлять со-ПАВ, имеющее как иную гидрофильную, так и иную гидрофобную часть, то сложно отделить вклад изменения гидрофобных взаимодействий от вклада изменения электростатических взаимодействий.
Целью данной работы является исследование растворов смешанных мицелл цвиттерионного ПАВ олеиламидопропилдиметил карбоксибетаина (ОАПБ) и положительно заряженного олеиламидопропилдиметил амина (ОАПА), имеющих полностью идентичные гидрофобные группы. В целом положительно заряженный ОАПА имеет очень близкое строение с цвиттерионным ОАПБ (рис. 1), но отличается только отсутствием карбоксильной группы и метильной группы, соединяющей заряженные группы ОАПБ. Отметим, что цвиттерионное ПАВ ОАПБ образует червеобразные мицеллы в отсутствие добавок благодаря длинной гидрофобной группе [24]. Таким образом, варьируя долю ОАПА в смеси с ОАПБ, можно исследовать влияние электростатических взаимодействий на вязкоупругие свойства и структуру червеобразных мицелл на основе цвиттерионного ПАВ, не изменяя гидрофобные взаимодействия в мицеллах.
Рис. 1. Схематическое изображение структуры цвиттерионного ПАВ ОАПБ и положительно заряженного со-ПАВ ОАПА.
ЭКСПЕРИМЕНТАЛЬНАЯ ЧАСТЬ
Материалы
Цвиттерионное ПАВ ОАПБ было получено от компании НИИПАВ (Россия) в виде водно-спиртового раствора, содержащего 29 вес. % ОАПБ, 0.5 вес. % ОАПА и 4 вес. % NaCl (эквимолярное отношение к количеству ОАПБ), 17.0 вес. % изопропанола и 49.5 вес. % воды. ОАПА остается в небольшом количестве в смеси с ОАПБ при синтезе. Растворители были удалены методом лиофильной сушки. Состав получившейся смеси был подтвержден методом 1Н ЯМР. В итоге получили 86.6 вес. % ОАПБ, 1.5 вес. % ОАПА, 11.9 вес. % NaCl. Таким образом, минимальная мольная доля ОАПА, которую рассчитывали по формуле [ОАПА]=[ОАПА]/([ОАПА]+[ОАПБ]), составляла 0.018. Для увеличения доли катионного ПАВ в смеси использовали ОАПА, который был получен от НИИПАВ (Россия) с чистотой более 99%. Чтобы обеспечить положительный заряд аминогруппы данного ПАВ растворы готовили при pH 4.7.
Суммарная мольная концентрация ОАПБ и ОАПА в растворах была фиксирована при 46 ммоль/л, которая соответствовала 2 вес. % при наименьшей доле ОАПА в смеси. Доля ОАПА варьировалась от 0.018 до 0.5.
МЕТОДЫ ИССЛЕДОВАНИЯ
Реометрия
Реологические свойства растворов (вязкость, комплексная вязкость, модуль накопления и модуль потерь) были определены при помощи реометра Anton Paar Physica MCR301 (Австрия). Измерения зависимости вязкости от скорости сдвига и значений модулей накопления, потерь и комплексной вязкости были проведены при заданных напряжениях сдвига путем измерения скорости сдвига. Все растворы были измерены с использованием ячейки конус-плоскость CP50-1 с диаметром конуса 49.93 мм и углом конуса 1°. Все эксперименты проведены при температуре 30°C.
Криогенная электронная микроскопия
Сеточки Lacey EM 300 (Тед Пелла, США) травили в тлеющем электрическом разряде в течение 20 с при давлении 0.26 мбар с использованием тока 20 мА с помощью PELCO easiGLOW (Тед Пелла, Нортпорт, Нью-Йорк, США). Процедуру витрификации проводили с использованием Vitrobot Mark IV (Thermo Fisher Scientific, США) при 30°C, влажности 100% и времени промокания 2.5 с. Для образца с низкой вязкостью (мольная доля ОАПА 0.5) использовали 3 мкл раствора пробы и время релаксации 5 с; для образца с более высокой вязкостью (мольная доля ОАПА 0.018) – 0.5 мкл раствора и время релаксации 20 с. После релаксации сеточки погружали в жидкий этан.
Измерения методом крио-ПЭМ проводили с помощью просвечивающего электронного микроскопа Titan Krios 60-300 cryo-TEM (Thermo Fisher Scientific, США) на 300 кВ, оснащенного детекторами прямых электронов 6k × 4k K3 (Gatan, Pleasanton, США) и 4k × 4k Falcon II (Thermo Fisher Scientific, США), визуализирующим фильтром BioContinuum (Gatan, Pleasanton, США), корректором Cs (CEOS, Гейдельберг, Германия).
Крио-ПЭМ изображения были получены при номинальном увеличении ×37 000 с размером пикселя 1.72 Å, диапазон расфокусировки от –3 до –5 мкм. Для каждого изображения было собрано 20 кадров, в результате чего суммарная доза составила 50 e–/Å2. Для получения изображений с коррекцией движения и шумоподавлением было использовано программное обеспечение Warp.
РЕЗУЛЬТАТЫ И ОБСУЖДЕНИЕ
В настоящей работе исследовали растворы, содержащие два вида ПАВ – цвиттерионное ОАПБ и катионное ОАПА – при фиксированной общей концентрации ПАВ (46 ммоль/л) и разной мольной доле ОАПА. Результаты изучения реологических свойств представлены на рис. 2 и 3. Видно, что раствор с наименьшей долей OAПA имеет самые высокие значения вязкости при нулевом сдвиге 2.5 Па·с (рис. 2а).
Рис. 2. Частотные зависимости модуля комплексной вязкости (закрашенные символы) и зависимости вязкости от скорости сдвига (пустые символы) для растворов ОАПБ с разной долей ОАПА, указанной на графиках: (а) в области слабой зависимости вязкости от доли ОАПА и (б) в области падения вязкости при увеличении доли ОАПА.

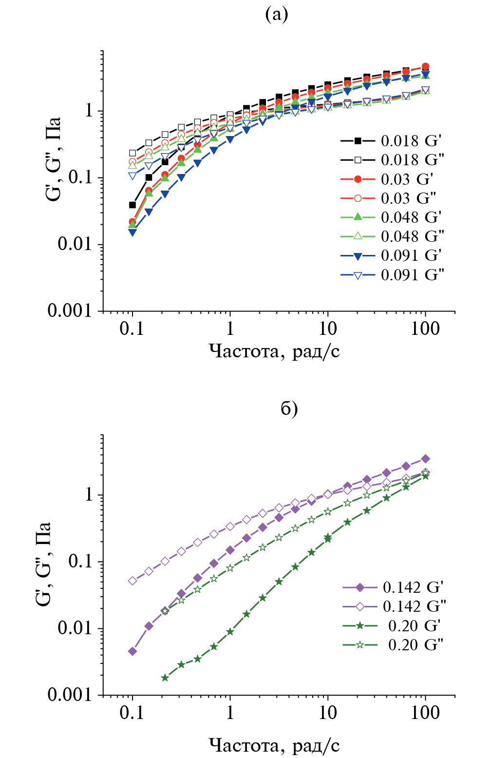
Рис. 3. Частотные зависимости модуля накопления G' (закрашенные символы) и модуля потерь G" (пустые символы) для растворов (а) до 0.1 ОАПА в смеси с ОАПБ; (б) более 0.1 ОАПА в смеси с ОАПБ. Мольные доли ОАПА в смеси с ОАПБ представлены на графиках.
Частотные зависимости модулей накопления и потерь показывают (рис. 3а), что данный раствор обладает вязкоупругими свойствами: при малых временах воздействия раствор проявляет упругие свойства (модуль накопления G' превышает модуль потерь G"), а при частотах ниже 1 рад/с, т. е. при больших временах воздействия, преобладает течение G">G'.
Такие реологические свойства типичны для растворов переплетенных червеобразных мицелл ПАВ [3, 4]. По мере увеличения доли положительно заряженного ПАВ ОАПА вязкость немонотонно уменьшается, а область частот, при которых раствор проявляет упругие свойства, смещается в область больших частот (меньших времен воздействия). При мольной доле ОАПА 0.5, т. е. при соотношении между цвиттерионным и катионным ПАВ 1 : 1, раствор теряет вязкоупругий отклик, вязкость раствора перестает зависеть от скорости сдвига и становится близкой к вязкости растворителя – воды 0.001 Па · с. Это указывает на разрушение сетки переплетенных червеобразных мицелл [28–30], но не всегда означает образование сферических мицелл вместо червеобразных мицелл [29]. Поскольку вязкость раствора, содержащего сетку зацеплений червеобразных мицелл, связана с длиной мицелл и количеством ПАВ формулой η~L3 ∙ C3.75 [3], то при фиксированной общей концентрации ПАВ падение вязкости указывает на то, что длина червеобразных мицелл уменьшается с увеличением доли ОАПА.
Структура растворов была исследована методом криогенной электронной микроскопии как для случая вязкоупругого раствора, так и для случая раствора наименьшей вязкости. На рис. 4 представлено изображение структуры раствора ОАПБ при малой доле ОАПА (0.018). Видно, что в этих условиях образуются линейные червеобразные мицеллы ПАВ, длина и количество которых достаточно велики, чтобы обеспечить образование сетки топологических зацеплений, что является причиной вязкоупругого отклика раствора [31]. С учетом масштаба изображения и отсутствия торцевых частей на картине, можно предположить, что длина червеобразных мицелл составляет не менее нескольких микрометров. Толщина червеобразных мицелл, согласно данным крио-ПЭМ, составляет 5.5 ± 0.5 нм. Это согласуется с длинами молекул используемых ПАВ [24, 32], т. е. в поперечном сечении мицелла представляет собой окружность с радиусом, равным длине молекул ПАВ. При доле ОАПА 0.50 на изображении крио-ПЭМ наблюдается смесь относительно коротких червеобразных мицелл ПАВ, длина которых варьируется в широких пределах от 20 нм до сотен нанометров, и сферических мицелл ПАВ. Уменьшение средней длины червеобразных мицелл было предположено выше из-за уменьшения вязкости растворов, но образование одновременно длинных червеобразных и сферических мицелл достаточно неожиданно. Широкое распределение по размерам червеобразных мицелл предсказано теоретически [31] и показано экспериментально [7], но сосуществование длинных червеобразных мицелл и большого количества сферических мицелл достаточно редко встречается в литературе. Оно было обнаружено ранее, например, для смешанных мицелл катионного и анионного ПАВ [13]. Было показано, что смесь таких мицелл образуется при большой доле анионного ПАВ, склонного образовывать сферические мицеллы. Было высказано предположение о том, что возможно неравномерное распределение ПАВ в мицеллах разных типов.
Рис. 4. Изображения, полученные методом криогенной просвечивающей электронной микроскопии для раствора ПАВ при общей концентрации 46 ммоль/л, содержащего цвиттерионное ПАВ ОАПБ и катионное ПАВ ОАПА, при мольной доле катионного ПАВ 0.018 (а) и 0.50 (б).
На рис. 5а, 5б представлены зависимости вязкости при нулевой скорости сдвига, значения модуля накопления при высоких частотах (при 10 рад/c) и терминального времени релаксации, определенного как обратная величина частоты, при которой G'=G" [33]. На зависимостях можно выделить 2 области: слабого падения реологических параметров и резкого падения вязкости и времени релаксации. В первой области (при мольной доле ОАПА до 0.1) вязкость падает лишь в 3 раза, время релаксации также падает в 3 раза, а значения модуля накопления практически не изменяются, что хорошо видно на рис. 3а. Постоянство модуля накопления указывает на неизменную плотность сетки зацеплений [3, 31], а изменение вязкости и времени релаксации можно объяснить уменьшением средней длины мицелл и одновременно увеличением их количества [34]. Причем длина мицелл уменьшается слабо, так как вязкость зависит от длины в третьей степени, как было указано выше. Ранее было найдено, что в случае достаточно плотной сетки зацеплений, когда средняя длина мицелл сильно превышает длину субцепей, значение модуля накопления не изменяется при уменьшении средней длины червеобразных мицелл [34]. Можно полагать, что это будет выполняться до тех пор, пока длина червеобразных мицелл не станет короче длины субцепей в сетке зацеплений [29].
Рис. 5. (а) Зависимость вязкости при нулевой скорости сдвига; (б) терминального времени релаксации (треугольники) и модуля накопления G` при 10 рад/c (круги) от мольной доли ОАПА в смеси с цвиттерионным ОАПБ при постоянной общей концентрации ПАВ, равной 46 ммоль/л. Вертикальной линией отмечен переход к резкому изменению свойств. Горизонтальной линией на рис. 5а отмечено значение вязкости воды при температуре 30°C.
В области 2 (при доле ОАПА более 0.1) вязкость и время релаксации растворов резко падают, и раствор теряет вязкоупругий отклик. В рамках логики уменьшения средней длины мицелл и широкого распределения мицелл по размерам можно полагать, что в начале этой области часть мицелл становится короче длины субцепей в сетке, а в конце этой области уже все мицеллы настолько короткие, что не могут образовать сетку, что подтверждается ньютоновским характером поведения вязкости раствора (рис. 2б) и данными крио-ПЭМ (рис. 4б) при мольной доле ОАПА 0.5. Более того, стоит отметить, что ОАПА в отсутствие ОАПБ образует сферические мицеллы, как было показано в литературе [35], несмотря на относительно длинную гидрофобную группу.
Так как исследуемые ПАВ имеют одинаковую структуру хвоста до аминогруппы, то можно рассматривать изменение состава мицелл как изменение взаимодействия исключительно в гидрофильной опушке агрегатов. Известно, что в мицеллах цвиттерионных ПАВ существует диполь-дипольное отталкивание между бетаиновыми группами [18]. Учитывая структурное подобие используемых ПАВ, можно полагать, что заряженная аминогруппа молекулы ОАПА в мицеллах будет располагаться рядом с положительно заряженной аминогруппой ОАПБ, поэтому будет возникать дополнительное отталкивание на поверхности мицеллы. Согласно теории, электростатическое отталкивание вносит вклад в среднюю длину червеобразных мицелл согласно формуле [3, 36]:
где j – объемная доля ПАВ, Ec – энергия разрыва (выигрыш энергии образования цилиндрической части мицеллы по сравнению с образованием полусферических концов в случае незаряженных ПАВ или в случае полного экранирования электростатического взаимодействия между гидрофильными группами ПАВ), Ee – энергетический вклад от электростатического отталкивания между гидрофильными группами в мицелле. Из-за подобия структуры обоих ПАВ при увеличении доли заряженного ОАПА Ec не изменяется, а Ee – увеличивается, поэтому, согласно формуле, средняя длина мицелл уменьшается. Данный эффект объясняется тем, что червеобразные мицеллы состоят из центральной более плотно упакованной цилиндрической части и торцевых более рыхлых полусферических частей, соотношение между которыми определяет длину мицелл. Поэтому по мере увеличения отталкивания между гидрофильными группами ПАВ и, соответственно, увеличения выгодности образования полусферических менее плотно упакованных частей мицелл средняя длина червеобразных мицелл уменьшается (рис. 6а). Таким образом, при усилении отталкивания на поверхности мицелл возможно появление и сферических мицелл (рис. 6б). Одновременное присутствие длинных червеобразных мицелл и сферических мицелл может указывать на сегрегацию молекул цвиттерионного ПАВ, склонного образовывать червеобразные мицеллы из-за слабого диполь-дипольного отталкивания на поверхности мицелл [24], и катионного ПАВ, склонного образовывать сферические мицеллы из-за сильного отталкивания одноименно заряженных групп [35].
Рис. 6. (а) Схематическое изображение уменьшения длины и увеличения количества мицелл при замене части молекул цвиттерионного ПАВ ОАПБ на молекулы положительно заряженного ПАВ ОАПА; (б) схематическое изображение изменения структуры сетки в растворах при увеличении доли ОАПА.
Большинство исследований, посвященных образованию сетки червеобразных мицелл ПАВ, было выполнено при добавлении анионных ПАВ с относительно короткой гидрофобной группой, где при небольших долях со-ПАВ наблюдался выраженный эффект увеличения длины мицелл и роста вязкости, модуля накопления и времени релаксации [37–39], так как отрицательно заряженная группа анионного ПАВ располагалась рядом с положительно заряженными группами цвиттерионного ПАВ и экранировала электростатическое отталкивание на поверхности мицеллы. При большой доле анионного ПАВ исследования проводили редко, но в одной из публикаций [27] показано, что вязкость растворов падает до вязкости воды, что согласуется с тем, что данное анионное ПАВ без добавок склонно образовывать сферические мицеллы.
Влияние добавки положительно заряженного ПАВ на свойства червеобразных мицелл цвиттерионного ПАВ ранее было практически не изучено. Стоит лишь отметить, что в публикации [27] при добавлении катионного ПАВ цетилтриметиламмоний бромида в раствор переплетенных червеобразных мицелл цвиттерионного ПАВ олеилдиметиламидооксида обнаружено падение вязкости до вязкости воды. Методом малоуглового рассеяния нейтронов было показано, что падение вязкости связано с уменьшением длины мицелл, и высказано предположение об образовании сферических мицелл.
В настоящей же работе образование сферических мицелл было непосредственно подтверждено методом крио-ПЭМ и показано, что они сосуществуют с длинными червеобразными мицеллами. Более того, использование цвиттерионного ПАВ в смеси с положительно заряженным ПАВ подобного строения позволило оценить влияние именно электростатического взаимодействия на свойства системы. Обнаруженное слабое изменение реологических параметров растворов с мольной долей катионного ПАВ до 0.1 можно объяснить тем, что энергия разрыва Ec не изменяется, а энергетический вклад от электростатического отталкивания Ee меняется слабо. В растворах смесей цвиттерионных ПАВ с ионными ПАВ с различными по длине гидрофобными группами значимые эффекты обнаруживались при более низких долях со-ПАВ [27, 37–39], что возможно связано также с уменьшением энергии разрыва мицелл Ec. Более сильное падение реологических параметров и потеря вязкоупругих свойств в нашей системе при мольной доле ОАПА более 0.1 связано с тем, что средняя длина мицелл становится короче длины субцепей в сетке зацеплений. Но даже при мольной доле ОАПА в растворе, равной 0.5, согласно результатам криогенной электронной микроскопии, наблюдаются длинные червеобразные мицеллы в смеси с короткими червеобразными и сферическими мицеллами.
ЗАКЛЮЧЕНИЕ
Таким образом, в данной работе впервые исследованы вязкоупругие свойства и структура мицелл, образованных цвиттерионным и положительно заряженным ПАВ близкого строения. Обнаружено, что при мольной доле катионного ПАВ ОАПА менее 0.1 усиление электростатического отталкивания между гидрофильными группами на поверхности мицелл слабо влияет на реологические свойства такой системы, что объясняется незначительным уменьшением средней длины червеобразных мицелл. Показано, что для перехода от полуразбавленного раствора переплетенных червеобразных мицелл к разбавленному раствору смеси червеобразных и сферических мицелл необходимо заменить половину молекул цвиттерионного ОАПБ на положительно заряженные молекулы ОАПА.
ФИНАНСИРОВАНИЕ РАБОТЫ
Работа выполнена при финансовой поддержке РНФ (проект 21-73-30013).
БЛАГОДАРНОСТИ
Хао Уи (подготовка образцов для криогенной просвечивающей электронной микроскопии) благодарит китайский стипендиальный совет за поддержку обучения в аспирантуре.
СОБЛЮДЕНИЕ ЭТИЧЕСКИХ СТАНДАРТОВ
В данной работе отсутствуют исследования человека или животных.
КОНФЛИКТ ИНТЕРЕСОВ
Авторы данной работы заявляют, что у них нет конфликта интересов.
Рис. 5. (а) Зависимость вязкости при нулевой скорости сдвига; (б) терминального времени релаксации (треугольники) и модуля накопления G` при 10 рад/c (круги) от мольной доли ОАПА в смеси с цвиттерионным ОАПБ при постоянной общей концентрации ПАВ, равной 46 ммоль/л. Вертикальной линией отмечен переход к резкому изменению свойств. Горизонтальной линией на рис. 5а отмечено значение вязкости воды при температуре 30°C.
About the authors
У. Хао
Московский государственный университет им. М. В. Ломоносова
Email: molchan@polly.phys.msu.ru
Russian Federation, Ленинские горы, д. 1, стр. 2, Москва, 119991
В. С. Молчанов
Московский государственный университет им. М. В. Ломоносова
Author for correspondence.
Email: molchan@polly.phys.msu.ru
Russian Federation, Ленинские горы, д. 1, стр. 2, Москва, 119991
Ю. М. Чесноков
Курчатовский институт
Email: molchan@polly.phys.msu.ru
Russian Federation, пл. Академика Курчатова, д. 1, Москва, 123182
П. Р. Подлесный
Курчатовский институт
Email: molchan@polly.phys.msu.ru
Russian Federation, пл. Академика Курчатова, д. 1, Москва, 123182
О. Е. Филиппова
Московский государственный университет им. М. В. Ломоносова
Email: molchan@polly.phys.msu.ru
Russian Federation, Ленинские горы, д. 1, стр. 2, Москва, 119991
References
- Granek R., Cates M.E. Stress relaxation in living polymers: Results from a Poisson renewal model // J. Chem. Phys. 1992. V. 96. № 6. P. 4758–4767. https://doi.org/10.1063/1.462787
- Walker L.M. Rheology and structure of worm-like micelles // Curr. Opin. Colloid Interface Sci. 2001. V. 6. № 5-6. P. 451–456. https://doi.org/10.1016/S1359-0294(01)00116-9
- Magid L.J. The Surfactant – polyelectrolyte analogy // J. Phys. Chem. B. 1998. V. 5647. № 97. P. 4064–4074. https://doi.org/10.1021/jp9730961
- Квятковский А.Л., Молчанов В.С., Филиппова О.Е. Полимероподобные червеобразные мицеллы ионогенных поверхностно-активных веществ: структура и реологические свойства // Высокомолекулярные соединения. Серия А. 2019. Т. 61. № 2. С. 180–192. https://doi.org/10.1134/S2308112019020081
- Shishkhanova K.B., Molchanov V.S., Baranov A.N., Kharitonova E.P., Orekhov A.S., Arkharova N.A., Philippova O.E. A pH-triggered reinforcement of transient network of wormlike micelles by halloysite nanotubes of different charge // J. Mol. Liq. 2023. V. 370. P. 121032. https://doi.org/10.1016/j.molliq.2022.121032
- Молчанов В.С., Филиппова О.Е. Стимул-чувствительные системы на основе полимероподобных червеобразных мицелл ионогенных ПАВ и их современные применения // Высокомолекулярные соединения. Серия C. 2023. Т. 65. № 1. С. 122–137. https://doi.org/10.31857/S2308114723700309
- Lin Z., Cai J.J., Scriven L.E., Davis H.T. Spherical-to-wormlike micelle transition in CTAB solutions // J. Phys. Chem. 1994. V. 98. № 23. P. 5984–5993. https://doi.org/10.1021/j100074a027
- Kuperkar K., Abezgauz L., Danino D., Verma G., Hassan P.A., Aswal V.K., Varade D., Bahadur P. Viscoelastic micellar water/CTAB/NaNO3 solutions: Rheology, SANS and cryo-TEM analysis // J. Colloid Interface Sci. 2008. V. 323. № 2. P. 403–409. https://doi.org/10.1016/j.jcis.2008.04.040
- Croce V., Cosgrove T., Maitland G., Hughes T. Rheology, cryogenic transmission electron spectroscopy, and small-angle neutron scattering of highly viscoelastic wormlike micellar solutions // Langmuir. 2003. V. 19. № 10. P. 8536–8541. https://doi.org/10.1021/la0345800
- Lin Z., Eads C.D. Polymer-induced structural transitions in oleate solutions: Microscopy, rheology, and nuclear magnetic resonance studies // Langmuir. 1997. V. 13. № 10. P. 2647–2654. https://doi.org/10.1021/la961004d
- Flood C., Dreiss C.A., Croce V., Cosgrove T., Karlsson G.G. Wormlike micelles mediated by polyelectrolyte // Langmuir. 2005. V. 21. № 17. P. 7646–7652. https://doi.org/10.1021/la050326r
- Молчанов В.С., Шашкина Ю.А., Филиппова О.Е., Хохлов А.Р. Вязкоупругие свойства водных растворов анионного поверхностно-активного вещества – олеата калия // Коллоидный журнал. 2005. Т. 67. № 5. С. 668–671.
- Ziserman L., Abezgauz L., Ramon O., Raghavan S.R., Danino D. Origins of the viscosity peak in wormlike micellar solutions. 1. Mixed catanionic surfactants. A cryo-transmission electron microscopy study // Langmuir. 2009. V. 25. № 18. P. 10483–10489. https://doi.org/10.1021/la901189k
- Koehler R.D., Raghavan S.R., Kaler E.W. Microstructure and dynamics of wormlike micellar solutions formed by mixing cationic and anionic surfactants // J. Phys. Chem. B. 2000. V. 104. № 47. P. 11035–11044. https://doi.org/10.1021/jp0018899
- McCoy T.M., Valiakhmetova A., Pottage M.J., Garvey C.J., de Campo L., Rehm C., Kuryashov D.A., Tabor R.F. Structural evolution of wormlike micellar fluids formed by erucyl amidopropyl betaine with oil, salts, and surfactants // Langmuir. 2016. V. 32. № 47. P. 12423–12433. https://doi.org/10.1021/acs.langmuir.6b01735
- Kumar R., Kalur G.C., Ziserman L., Danino D., Raghavan S.R. Wormlike micelles of a C22-tailed zwitterionic betaine surfactant: From viscoelastic solutions to elastic gels // Langmuir. 2007. V. 23. № 26. P. 12849–12856. https://doi.org/10.1021/la7028559
- Alargova R.G., Danov K.D., Petkov J.T., Kralchevsky P.A., Broze G. Sphere-to-Rod Transition in the shape of anionic surfactant micelles determined by surface tension measurements // Langmuir. 1997. V. 13. № 21. P. 5544–5551. https://doi.org/10.1021/la970399d
- Yavrukova V.I., Radulova G.M., Danov K.D., Kralchevsky P.A., Xu H., Ung Y.W., Petkov J.T. Rheology of mixed solutions of sulfonated methyl esters and betaine in relation to the growth of giant micelles and shampoo applications // Adv. Colloid Interface Sci. 2020. V. 275. P. 102062. https://doi.org/10.1016/j.cis.2019.102062
- Raghavan S.R., Edlund H., Kaler E.W. Cloud-point phenomena in wormlike micellar systems containing cationic surfactant and salt // Langmuir. 2002. V. 18. № 4. P. 1056–1064. https://doi.org/10.1021/la011148e
- Nagarajan R. Molecular packing parameter and surfactant self-assembly: The neglected role of the surfactant tail // Langmuir. 2002. V. 18. № 1. P. 31–38. https://doi.org/10.1021/la010831y
- Khatory A., Kern F., Lequeux F., Appell J., Porte G., Morie N., Ott A., Urbach W. Entangled versus multiconnected network of wormlike micelles // Langmuir. 1993. V. 9. № 4. P. 933–939. https://doi.org/10.1021/la00028a010
- Ghosh S., Khatua D., Dey J. Interaction between zwitterionic and anionic surfactants: Spontaneous formation of zwitanionic vesicles // Langmuir. 2011. V. 27. № 9. P. 5184–5192. https://doi.org/10.1021/la1040147
- Kamenka N., Chorro M., Talmon Y., Zana R. Study of mixed aggregates in aqueous solutions of sodium dodecyl sulfate and dodecyltrimethylammonium bromide // Colloids and Surfaces. 1992. V. 67. P. 213–222. https://doi.org/10.1016/0166-6622(92)80300-Q
- McCoy T.M., King J.P., Moore J.E., Kelleppan V.T., Sokolova A.V., de Campo L., Manohar M., Darwish T.A., Tabor R.F. The effects of small molecule organic additives on the self-assembly and rheology of betaine wormlike micellar fluids // J. Colloid Interface Sci. 2019. V. 534. P. 518–532. https://doi.org/10.1016/j.jcis.2018.09.046
- Molchanov V.S., Efremova M.A., Orekhov A.S., Arkharova N.A., Rogachev A.V., Philippova O.E. Soft nanocomposites based on nanoclay particles and mixed wormlike micelles of surfactants // J. Mol. Liq. 2020. V. 314. P. 113684. https://doi.org/10.1016/j.molliq.2020.113684
- Chevalier Y., Melis F., Dalbiez J.P. Structure of zwitterionic surfactant micelles: Micellar size and intermicellar interactions // J. Phys. Chem. 1992. V. 96. № 21. P. 8614–8619. https://doi.org/10.1021/j100200a074
- Hoffmann H., Rauscher A., Gradzielski M., Schulz S.F. Influence of ionic surfactants on the viscoelastic properties of zwitterionic surfactant solutions // Langmuir. 1992. V. 8. № 9. P. 2140–2146. https://doi.org/10.1021/la00045a013
- Shibaev A.V., Tamm M.V., Molchanov V.S., Rogachev A.V, Kuklin A.I., Dormidontova E.E., Philippova O.E. How a viscoelastic solution of wormlike micelles transforms into a microemulsion upon absorption of hydrocarbon: New insight // Langmuir. 2014. V. 30. № 13. P. 3705–3714. https://doi.org/10.1021/la500484e
- Kwiatkowski A.L., Sharma H., Molchanov V.S., Orekhov A.S., Vasiliev A.L., Dormidontova E.E., Philippova O.E. Wormlike surfactant micelles with embedded polymer chains // Macromolecules. 2017. V. 50. № 18. P. 7299–7308. https://doi.org/10.1021/acs.macromol.7b01500
- Shibaev A.V., Ospennikov A.S., Kuznetsova E.K., Kuklin A.I., Aliev T.M., Novikov V.V., Philippova O.E. Universal character of breaking of wormlike surfactant micelles by additives of different hydrophobicity // Nanomaterials. 2022. V. 12. № 24. P. 4445. https://doi.org/10.3390/nano12244445
- Cates M.E., Candau S.J. Statics and dynamics of worm-like surfactant micelles // J. Phys. Condens. Matter. 1990. V. 2. № 33. P. 6869. https://doi.org/10.1088/0953-8984/2/33/001
- Molchanov V.S., Kuklin A.I., Orekhov A.S., Arkharova N.A., Philippova O.E. Temporally persistent networks of long-lived mixed wormlike micelles of zwitterionic and anionic surfactants // J. Mol. Liq. 2021. V. 342. P. 116955. https://doi.org/10.1016/j.molliq.2021.116955
- Oelschlaeger C., Schopferer M., Scheffold F., Willenbacher N. Linear-to-branched micelles transition: A rheometry and diffusing wave spectroscopy (DWS) study // Langmuir. 2009. V. 25. № 2. P. 716–723. https://doi.org/10.1021/la802323x
- Couillet I., Hughes T., Maitland G., Candau S.J. Growth and scission energy of wormlike micelles formed by a cationic surfactant with long unsaturated tails // Langmuir. 2004. V. 20. № 22. P. 9541–9550. https://doi.org/10.1021/la49046m
- Lu H., Wang L., Huang Z. Unusual pH-responsive fluid based on a simple tertiary amine surfactant: The formation of vesicles and wormlike micelles // RSC Adv. 2014. V. 4. № 93. P. 51519–51527. https://doi.org/10.1039/c4ra08004a
- Dreiss C.A. Wormlike micelles: Where do we stand? Recent developments, linear rheology and scattering techniques // Soft Matter. 2007. V. 3. № 8. P. 956–970. https://doi.org/10.1039/b705775j
- Christov N.C., Denkov N.D., Kralchevsky P.A., Ananthapadmanabhan K.P., Lips A. Synergistic sphere-to-rod micelle transition in mixed solutions of sodium dodecyl sulfate and cocoamidopropyl betaine // Langmuir. 2004. V. 20. № 3. P. 565–571. https://doi.org/10.1021/la035717p
- Rózańska S. Rheology of wormlike micelles in mixed solutions of cocoamidopropyl betaine and sodium dodecylbenzenesulfonate // Colloids Surfaces A Physicochem. Eng. Asp. 2015. V. 482. P. 394–402. https://doi.org/10.1016/j.colsurfa.2015.06.045
- Qiao Y., Lin Y., Wang Y., Li Z., Huang J. Metal-driven viscoelastic wormlike micelle in anionic/zwitterionic surfactant systems and template-directed synthesis of dendritic silver nanostructures // Langmuir. 2011. V. 27. № 5. P. 1718–1723. https://doi.org/10.1021/la104447d
Supplementary files







