Сорбция радия-226 на малослойном графене, синтезированном в условиях самораспространяющегося высокотемпературного синтеза
- Authors: Возняковский А.А.1, Возняковский А.П.2, Кидалов С.В.1, Карманов А.П.3, Рачкова Н.Г.3, Подложнюк Н.Д.1
-
Affiliations:
- Физико-технический институт им. А. Ф. Иоффе РАН
- Научно-исследовательский институт синтетического каучука им. академика С. В. Лебедева
- Институт биологии Коми научного центра Уральского отделения Российской академии наук
- Issue: Vol 86, No 2 (2024)
- Pages: 162-168
- Section: Articles
- Submitted: 07.07.2024
- Accepted: 07.07.2024
- Published: 15.03.2024
- URL: https://journals.rcsi.science/0023-2912/article/view/259137
- DOI: https://doi.org/10.31857/S0023291224020027
- EDN: https://elibrary.ru/DHROSB
- ID: 259137
Cite item
Full Text
Abstract
В ходе промышленной деятельности человека образуются огромные объемы воды, загрязненной радионуклидами, в том числе радием-226, которые представляют серьезную опасность для человека. Одним из наиболее перспективных материалов для очистки воды от радионуклидов являются графеновые наноструктуры. В данной работе была исследована эффективность малослойного графена, синтезированного в условиях самораспространяющегося высокотемпературного синтеза из целлюлозы, а также отходов деревообрабатывающей промышленности (технический лигнин, кора деревьев) при очистке воды от радия-226. Ключевым достоинством выбранной методики синтеза малослойного графена является возможность синтеза больших объемов материала с приемлемой себестоимостью, что крайне важно при промышленном применении. Было установлено, что синтезированные образцы малослойного графена могут эффективно очищать воду от радия-226 (степень сорбции более 99%). Также было показано, что степень десорбции при повторной промывке водой не превышает 0.5%.
Keywords
Full Text
ВВЕДЕНИЕ
В ходе технологической деятельности человека, например, при добыче полезных ископаемых, по всему миру огромные объемы воды загрязняются содержащимися в земле радионуклидами [1–3], одним из которых является радий-226. Радий-226 при попадании в организм человека имеет свойство накапливаться в костях (до 80% от поступившей массы) [4]. Поэтому длительное потребление воды, загрязненной даже незначительными объемами радия-226, приводит к ужасным последствиям для здоровья [5].
Для очиcтки воды от радионуклидов в настоящее время используют различные типы адсорбентов. Например, для очиcтки воды применяются различные марки активированного угля [6], цеолиты [7], бентониты [8], оксид марганца [9] и т. д. Однако, несмотря на широкий спектр известных сорбентов, они имеют ряд недостатков, которые не позволяют полностью очищать воду от радия-226. Классические сорбенты не способны очищать воду от низких концентраций радионуклидов. Кроме того, при повторной промывке водой или при попадании сорбента в воду сорбированные радионуклиды могут десорбироваться и снова попасть в воду, что значительно усложняет их применение [10].
Одним из наиболее перспективных классов адсорбентов для очистки воды от радионуклидов являются графеновые наноструктуры (ГНС). ГНС представляют из себя материалы, состоящие из не более чем 10 слоев графена [11]. Причиной интереса к ГНС являются их рекордные характеристики: так, удельная поверхность ГНС может достигать до 2630 м2/г [12–14]. В ходе сравнительных экспериментов исследователями было установлено, что различные типы ГНС, такие как оксид графена [15, 16], малослойный графен [17] и т. д., демонстрируют более высокую эффективность при очистке от радионуклидов, чем классические сорбенты [18, 19].
Однако, несмотря на показанную экспериментально высокую эффективность ГНС, их применение на практике до сих пор не произошло по ряду причин. Основным препятствием для внедрения ГНС в реальную промышленность является несовершенство методик синтеза ГНС. В настоящее время выделяют 2 основных подхода к синтезу ГНС: “сверху-вниз” и “снизу-вверх”. Синтез ГНС по подходу “сверху-вниз” основан на выделении ГНС из содержащих их материалов, таких как графит. К данной группе методик синтеза относятся такие, как метод Хаммерса и его модификации [20], метод ультразвукового отщепления с использованием ПАВ [21], метод электрохимического отшелушивания [22], а также метод механического отшелушивания [23]. Большинство методик, основанных на подходе “сверху-вниз”, позволяют синтезировать объемы ГНС, необходимые для лабораторных исследований, и являются относительно высокопроизводительными, однако ГНС, синтезированные по данному подходу, имеют высокую дефектность, что непосредственно влияет на их эффективность. Альтернативной подходу “сверху-вниз” является подход “снизу-вверх”, который основан на синтезе ГНС из углеродсодержащего материала. На основе данного подхода были разработаны такие методики, как метод химического осаждения из газовой фазы (Chemical vapor deposition (CVD)) [24], метод роста графена на поверхности неорганического соединения кремния с углеродом – монокристаллической подложки карбида кремния (SiC) [25, 26], метод термопрограммируемого синтеза графена [27] и т. д. Использование подхода “снизу-вверх” позволяет синтезировать ГНС с крайне низкой дефектностью, однако производительность методик, основанных на данном подходе, крайне невелика. Кроме того, в ряде методик синтеза ГНС сами ГНС неотделимы от подложки, на которой их синтезируют, что уменьшает спектр их возможных применений. В результате на данный момент не существует методики, позволяющей синтезировать большие объемы ГНС высокого качества с приемлемой себестоимостью. Поэтому множество научных групп разрабатывают новые методики синтеза ГНС.
В данной работе представлены результаты исследований перспективности использования малослойного графена (МГ, количество слоев не более 5), синтезированного в условиях самораспространяющегося высокотемпературного синтеза (СВС) из различных биополимеров для очистки воды от радия-226. Данная методика синтеза позволяет синтезировать большие объемы МГ [28] из различных биополимеров, в т. ч. из таких отходов, как стебли борщевика Сосновского [29], не содержащего дефекты Стоуна-Уэльса [30]. Кроме того, в предыдущих работах была показана высокая эффективность МГ, синтезируемого в условиях СВС-процесса, при очистке воды от таких радионуклидов, как уран-238 и торий-232 [31].
Целью данной работы являлась оценка перспективности использования МГ, синтезированного в условиях СВС-процесса, при использовании в качестве адсорбента при очистке воды от радия-226.
ЭКСПЕРИМЕНТАЛЬНАЯ ЧАСТЬ
Методика синтеза МГ в условиях СВС-процесса
В качестве исходных материалов для синтеза МГ в условиях СВС-процесса использовались такие биополимеры, как лигнин технический (черный щелок от сульфатной варки), кора сосновая и целлюлоза. Для синтеза МГ исходные биополимеры перемешивались в гомогенизаторе типа “пьяная бочка” с окислителем (нитрат аммония, Ч.Д.А., Россия) в массовом соотношении 1 к 1 до гомогенной смеси. Полученные смеси нагревались в реакторе до запуска процесса СВС. Запуск СВС-процесса детектировали по началу активного газовыделения, а его конец – по прекращению газовыделения. Подробно методика синтеза описана в [28]. Затем полученные образцы последовательно промывались водой и изопропиловым спиртом и высушивались до прекращения потери массы в вакуумном сушильном шкафе при температуре 200°C. В результате синтеза были получены образцы МГ из целлюлозы (FLG-cel), коры (FLG-b) и лигнина технического (FLG-lg).
Методики характеризации синтезированных МГ
Электронные изображения образцов МГ были получены с помощью электронного микроскопа Tescan Mira 3-M (Tescan, Чехия) с приставкой энергодисперсионного анализа (EDX, Oxford instruments X-max, Abingdon, Великобритания). Измерения дисперсности образцов проводились методом лазерной дифракции на приборе Mastersizer 2000 (Malvern, Великобритания). Для определения удельной площади поверхности и исследования пористой структуры образцов МГ использовали автоматизированную систему ASAP 2020MP (Micromeritics, США), предназначенную для измерения характеристик адсорбционной емкости объемным методом с использованием различных газов. Исследования проводили методом низкотемпературной адсорбции азота (77 К). Инструментальная погрешность измерений 0.12–0.15%.
Исследование сорбционных свойств МГ
Сорбционные характеристики образцов определяли в статических условиях при комнатной температуре, для чего их навески приводили в контакт со стандартными растворами хлорида радия-226 (Сертификат эталонного раствора типа EB 105 № 429/74 Nuclear Physics Institute of the CAS, Чехия) с концентрацией 10.110–12 г/мл. Концентрация радия в эталонном растворе определялась путем сличения уровня излучения с первичными эталонами с учетом коэффициента разбавления раствора радиевой соли. Величина рН раствора составляла 6.0 (pH Meter, WTW GmbH, Германия). Соотношение фаз образца сорбента и раствора хлорида радия-226 составляло 1(грамм):20(мл). После контакта (экспозиция – 24 ч) исследуемые сорбенты отделяли от жидкой фазы фильтрованием. В фильтрате определяли содержание радия-226, на основе чего рассчитывали (массу) радия m (г), сорбированного 1 г сорбента, по формуле:
где Cисх и Сф – содержания радия-226 в исходном растворе и фильтрате, пг/мл; Vисх (Vисх = 20 мл) и Vф – объемы, мл.
Степень сорбции S определяли по соотношению:
Способность образцов удерживать сорбированный радий-226 оценивали путем десорбции радионуклида методом последовательных вытяжек. Для этого образец МГ с сорбированным радием-226 последовательно обрабатывали в течение 24 ч дистиллированной водой, 1 М раствором ацетата аммония и 1 M раствором соляной кислоты. Время экспозиции на каждой стадии – 24 ч. После отделения жидкой и твердой фаз определяли количество радионуклида, перешедшего в экстракт, и рассчитывали показатели десорбции DH2O, DCH3COONH4, DHCl в процентах от первоначально сорбированного радия-226. Остаточное количество радионуклида после промывки водой, обозначенное как SF-1, считалось условно-прочно (необратимо) сорбированным. Остаточное количество радионуклида после промывки, обозначенное как SF-2, считалось прочно (необратимо) сорбированным. Для исключения потерь радионуклида в экспериментах использовали полипропиленовую химическую посуду. Радий-226 в фильтрате и экстрактах определяли радиометрическим эманационным методом [32] по количеству альфа-частиц, испускаемых в результате радиоактивного распада радона-222 – продукта распада радия-226. Исследуемые растворы помещали в барботеры для накопления радона-222, барботеры запаивали. Счет альфа-частиц проводили на радиометре “Альфа-1” (Россия). Чувствительность метода – 2 пг радия, ошибка измерений не выше 15%.
РЕЗУЛЬТАТЫ И ОБСУЖДЕНИЕ
На рис. 1 представлены электронные изображения синтезированных образцов МГ.
Рис. 1. Электронные изображения образцов МГ, синтезированных из целлюлозы (a), коры сосновой (б), лигнина технического (в). Увеличение ×5000. Красными квадратами показаны области для измерения элементного состава энерго-дисперсионным методом.
Как видно из рис. 1, все синтезированные образцы имеют микронные линейные размеры и имеют малослойную структуру. Следует отметить, что образцы МГ, синтезированные из целлюлозы, состоят из агрегатов относительно высокодисперсных частиц с линейными размерами в несколько микрон, в то время как в образцах МГ, синтезированных из лигнина и коры, помимо данных, присутствуют и частицы с линейными размерами до нескольких десятков микрон. Данные различия в дисперсности были подтверждены результатами измерения латеральных размеров синтезированных образцов МГ (рис. 2).
Рис. 2. Результаты измерения линейных размеров образцов МГ методом лазерной дифракции: 1 – целлюлоза, 2 – кора сосновая, 3 – лигнин технический.
Как видно из рис. 2, линейные размеры частиц МГ значительно зависят от типа исходного биополимера. Так, средний размер для частиц МГ, синтезированных из целлюлозы, коры сосны и лигнина технического, составляет 0.6–0.9 мкм, 1.1–1.6 мкм и 2.9–4.1 мкм соответственно.
В табл. 1 представлены результаты исследования элементного состава синтезированных образцов.
Как видно из табл. 1, синтезированные образцы состоят из углерода (96%) и кислорода (3–4%).
Таблица 1. Результаты EDX анализа образцов
Образец | С, ат. % | O, ат. % |
FLG-cel | 96.57 | 3.43 |
FLG-b | 96.76 | 3.24 |
FLG-lg | 96.70 | 3.30 |
В предыдущих работах методом рентгенофазового анализа из дифрактограмм были определены размеры кристаллитов и значения межплоскостных расстояний для синтезированных образцов МГ [31, 33]. Используя формулу Шерера, было показано, что количество слоев в таких образцах не превышает 5 (табл. 2).
Таблица 2. Исходные данные для расчета количества слоев в образцах МГ
Образец | Межплоскостное расстояние | Размер кристаллита | Количество слоев |
FLG-cel | 3.85 | 12.7 | 4 |
FLG-b | 3.72 | 15.4 | 4 |
FLG-lg | 3.75 | 18.1 | 5 |
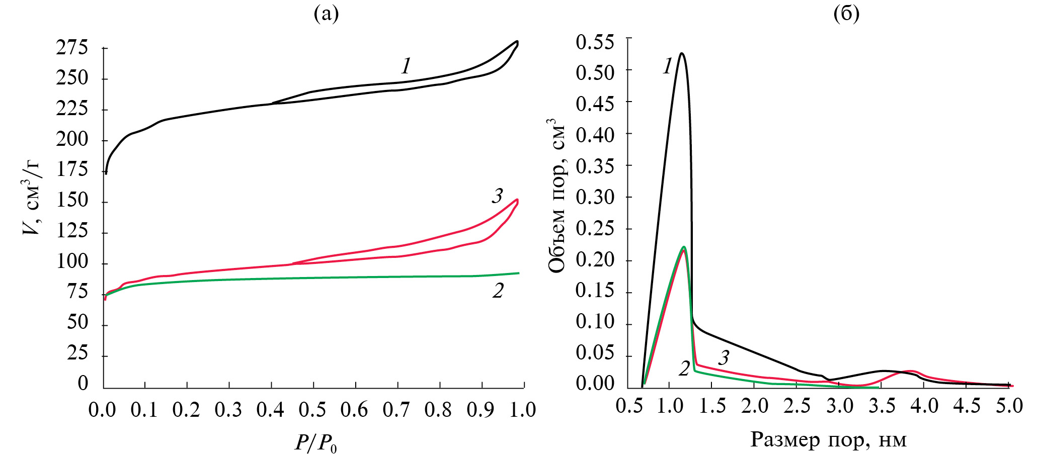
На рис. 3 представлены изотермы низкотемпературной адсорбции и распределения пор по размерам для синтезированных образцов.
Рис. 3. Результаты исследований поверхностных свойств МГ: a – изотермы низкотемпературной адсорбции-десорбции азота (1 – целлюлоза, 2 – кора сосновая, 3 – лигнин технический); б – распределение пор по размерам (1 – целлюлоза, 2 – кора сосновая, 3 – лигнин технический).
Как видно из рис. 3, все полученные изотермы адсорбции относятся к 4-му типу изотерм по международной системе ИЮПАК (мезопористые материалы).
В табл. 3 представлены результаты измерений удельной поверхности и пористости образцов МГ.
Таблица 3. Параметры пористого пространства образцов МГ
Параметр | Образец | ||
FLG-cel | FLG-b | FLG-lg | |
Удельная поверхность, м2/г | 667 | 288 | 261 |
Суммарный объем пор, см3/г | 0.421 | 0.236 | 0.142 |
Объем мезопор (1,7–50 нм), см3/г | 0.103 | 0.109 | 0.007 |
Объем микропор, см3/г | 0.314 | 0.132 | 0.123 |
Средняя ширина микропор, нм | 1.14 | 1.12 | 1.13 |
Средняя ширина пор, нм | 2.5 | 3.3 | 2.2 |
Как видно из табл. 3, все синтезированные образцы имеют развитую удельную поверхность (>200 м2/г), однако образец из целлюлозы значительно превосходит образцы из коры и лигнина и обладает удельной поверхностью более 600 м2/г.
Резюмируя вышеописанные данные, можно сделать вывод, что тип исходного биополимера оказывает значительное влияние на латеральные размеры частиц, а также комплекс параметров пористого пространства, но не влияет на количество слоев синтезированных частиц и их элементный состав. Согласно предложенной нами модели синтеза [34] МГ под воздействием условий СВС-процесса, исходные молекулы биополимеров разрушаются на устойчивые углеродные примитивы, которые формируют графеновые плоскости. Остальное удаляется в виде газов. В результате, используя предложенный метод синтеза, можно получать стандартизированные по элементному составу и количеству слоев образцы, которые отличаются морфометрическими параметрами (линейные размеры частиц, удельная поверхность, пористость).
В табл. 4 представлены результаты исследований сорбционных свойств синтезированных образцов МГ.
Таблица 4. Сорбционные свойства МГ, синтезированного из различных биополимеров в отношении радия-226
Параметр | Образец | ||
FLG-cel | FLG-b | FLG-lg | |
Сорбция, % | 99.5 | 99.9 | 97.1 |
DH2O, % | 0 | 0.48 | 0.45 |
SF-1, % | 100 | 99.52 | 99.55 |
DCH3COONH4, % | 1.3 | 22.3 | 41.8 |
DHCl, % | 50.5 | 50.7 | 11.3 |
SF-2, % | 48.2 | 26.52 | 46.45 |
Как видно из табл. 4, все синтезированные образцы показали высокую эффективность при очистке воды от радия-226 (сорбция >97%). Кроме того, взаимодействие МГ с водой для всех образцов практически не приводит к обратной десорбции радия-226 (десорбция <0.5%, условно-необратимая сорбция SF-1>99%), что позволяет практически полностью исключить повторное попадание данного радионуклида в воду. Следует отметить, что несмотря на то, что синтезированные образцы МГ из различных прекурсоров значительно различаются по параметрам пористого пространства (табл. 1), их адсорбционная эффективность в отношении радия-226 примерно одинакова. В нашей предыдущей работе [29] методом ИК-Фурье спектрометрии было показано, что типичными поверхностными группами для образцов МГ, синтезированных в условиях СВС-процесса, являются С-H, C-OH, C-O-C и С-N группы. Исходя из низкой десорбции радия при промывке водой, можно предположить, что радионуклид прочно связан с адсорбентом (МГ), а сам механизм сорбции носит химический характер. Данная гипотеза подтверждается данными десорбции радия-226 при промывке адсорбента химически активными жидкостями, а именно растворами кислот. Как видно из табл. 3, величина необратимой сорбции (SF-2) после промывки растворами кислот составляет 26–48% в зависимости от типа образца МГ. Однако низкая десорбция для образца FLG-cel в присутствии ацетата аммония (1.3%) и образца FLG-lg в присутствии соляной кислоты (11.3%) показывает возможность синтеза образца, устойчивого к десорбции радия-226 и в растворах кислот.
ЗАКЛЮЧЕНИЕ
Образцы малослойного графена, синтезированные в условиях самораспространяющегося высокотемпературного синтеза из целлюлозы, коры сосновой и технического лигнина, продемонстрировали высокий потенциал при очистке воды от радия-226. За счет использования в качестве исходного сырья для синтеза малослойного графена таких отходов, как кора и лигнин, помимо решения проблемы очистки воды, возможно решение не менее важной экологической проблемы, а именно переработка таких отходов в полезный продукт. Однако для предотвращения значительной десорбции радия-226 при промывке растворами кислот необходимо исследовать зависимость эффективности малослойного графена в зависимости от типа и концентрации поверхностных групп, что будет являться целью последующих работ.
ФИНАНСИРОВАНИЕ РАБОТЫ
Работа Возняковского А. А., Возняковского А. П., Кидалова С. В. и Подложнюка Н. Д. выполнена при финансовой поддержке проекта РНФ № 23-79-10254.
Работа А. П. Карманова и Н. Г. Рачковой выполнена при финансовой поддержке государственного задания Института биологии ФИЦ Коми НЦ УрО РАН (тема № 122040600024-5).
СОБЛЮДЕНИЕ ЭТИЧЕСКИХ СТАНДАРТОВ
В данной работе отсутствуют исследования человека или животных.
КОНФЛИКТ ИНТЕРЕСОВ
Авторы заявляют, что у них нет конфликта интересов.
About the authors
А. А. Возняковский
Физико-технический институт им. А. Ф. Иоффе РАН
Author for correspondence.
Email: alexey_inform@mail.ru
Russian Federation, Политехническая ул., 26, Санкт-Петербург, 194021
А. П. Возняковский
Научно-исследовательский институт синтетического каучука им. академика С. В. Лебедева
Email: alexey_inform@mail.ru
Russian Federation, Гапсальская ул., 1, Санкт-Петербург, 198035
С. В. Кидалов
Физико-технический институт им. А. Ф. Иоффе РАН
Email: alexey_inform@mail.ru
Russian Federation, Политехническая ул., 26, Санкт-Петербург, 194021
А. П. Карманов
Институт биологии Коми научного центра Уральского отделения Российской академии наук
Email: alexey_inform@mail.ru
Russian Federation, Коммунистическая ул., 28, Сыктывкар, Республика Коми, 167982
Н. Г. Рачкова
Институт биологии Коми научного центра Уральского отделения Российской академии наук
Email: alexey_inform@mail.ru
Russian Federation, Коммунистическая ул., 28, Сыктывкар, Республика Коми, 167982
Н. Д. Подложнюк
Физико-технический институт им. А. Ф. Иоффе РАН
Email: alexey_inform@mail.ru
Russian Federation, Политехническая ул., 26, Санкт-Петербург, 194021
References
- Maxwell O., Wagiran H., Zaidi E. et al. Radiotoxicity risks of radium-226 (226Ra) on groundwater-based drinking at Dawaki, Kuje, Giri and Sabon-Lugbe area of Abuja, North Central Nigeria // Environmental Earth Sciences. 2016. V. 75. P. 1–9. https://doi.org/10.1007/s12665-016-5884-y
- McLaughlin M.C., Borch T., McDevitt B., Warner N.R., Blotevogel J. Water quality assessment downstream of oil and gas produced water discharges intended for beneficial reuse in arid regions // Science of The Total Environment. 2020. V. 713. P. 136607. https://doi.org/10.1016/j.scitotenv.2020.136607
- Кампанер В.П., Луис-Сильва В., Смоук Д.М., Сандерс К.Д. Повышенное содержание радионуклидов в районе расположения предприятий по добыче и сжиганию угля в южной Бразилии // Радиохимия. 2018. T. 60. № 2. С. 189–192.
- Girault F., Perrier F., Przylibski T.A. Radon-222 and radium-226 occurrence in water: A review // Geological Society. 2018. V. 451. № 1. P. 131–154. https://doi.org/10.1144/SP451.3
- Madhav S., Ahamad A., Singh A.K., Kushawaha J., Chauhan J.S., Sharma S., Singh P. Water Pollutants: Sources and Impact on the Environment and Human Health. Singapore. Springer. 2020. P. 43–62. https://doi.org/10.1007/978-981-15-0671-0_4
- Burakov A.E., Tyagi I., Burakova I.V. et al. Efficient removal of europium radionuclides from natural and seawater using mesoporous carbon-based material // Journal of Molecular Liquids. 2022. V. 365. P. 120092. https://doi.org/10.1016/j.molliq.2022.120092
- Smržová D., Szatmáry L., Ecorchard P., Machálková A., Maříková M., Salačová P., Straka M. Carbon and zeolite-based composites for radionuclide and heavy metal sorption // Heliyon. 2022. V. 8. № 12. P. e12293. https://doi.org/10.1016/j.heliyon.2022.e12293
- Belousov P., Semenkova A., Egorova T. et al. Cesium sorption and desorption on glauconite, bentonite, zeolite, and diatomite // Minerals. 2019. V. 9. № 10. P. 625. https://doi.org/10.3390/min9100625
- Бетенеков Н.Д. Сорбция радия из водопроводной воды неорганическими сорбентами // Радиохимия. 2020. Т. 62. № 2. С. 151–156. https://doi.org/10.1134/S1066362220020071
- Chakraborty A., Pal A., Saha B.B. A critical review of the removal of radionuclides from wastewater employing activated carbon as an adsorbent // Materials. 2022. V. 15. № 24. P. 8818. https://doi.org/10.3390/ma15248818
- ISO/TS 80004-13:2017(en) Nanotechnologies – Vocabulary – Part 13: Graphene and related two-dimensional (2D) materials
- Zhu Y., Murali S., Cai W., Li X., Suk J.W., Potts J.R., Ruoff R.S. Graphene and graphene oxide: Synthesis, properties, and applications // Advanced materials. 2010. V. 22. № 35. P. 3906–3924. https://doi.org/10.1002/adma.201001068
- Qian Y., Ismail I.M., Stein A. Ultralight, high-surface-area, multifunctional graphene-based aerogels from self-assembly of graphene oxide and resol // Carbon. 2014. V. 68. P. 221–231. https://doi.org/10.1016/j.carbon.2013.10.082
- Zhang S., Wang H., Liu J., Bao C. Measuring the specific surface area of monolayer graphene oxide in water // Materials Letters. 2020. V. 261. P. 127098. https://doi.org/10.1016/j.matlet.2019.127098
- Yu S., Wang X., Tan X., Wang X. Sorption of radionuclides from aqueous systems onto graphene oxide-based materials: A review // Inorganic Chemistry Frontiers. 2015. V. 2. № 7. P. 593–612. https://doi.org/10.1039/C4QI00221K
- Boulanger N., Kuzenkova A.S., Iakunkov A. et al. Enhanced sorption of radionuclides by defect-rich graphene oxide // ACS applied materials & interfaces. 2020. V. 12. № 40. P. 45122–45135. https://doi.org/10.1021/acsami.0c11122
- Chen X., Wang X., Wang S., Qi J., Xie K., Liu X., Li J. Furfuryl alcohol functionalized graphene for sorption of radionuclides // Arabian J. Chem. 2017. V. 10. № 6. P. 837–844. https://doi.org/10.1016/j.arabjc.2016.06.009
- Shubair T., Eljamal O., Tahara A., Sugihara Y., Matsunaga N. Preparation of new magnetic zeolite nanocomposites for removal of strontium from polluted waters // J. Mol. Liq. 2019. V. 288. P. 111026. https://doi.org/10.1016/j.molliq.2019.111026
- Xing, M., Zhuang, S., Wang, J. Adsorptive removal of strontium ions from aqueous solution by graphene oxide // Environmental Science and Pollution Research. 2019. V. 26. P. 29669–29678. https://doi.org/10.1007/s11356-019-06149-z
- Alam S.N., Sharma N., Kumar L. Synthesis of graphene oxide (GO) by modified hummers method and its thermal reduction to obtain reduced graphene oxide (rGO) // Graphene. 2017. V. 6. № 1. P. 1–18. https://doi.org/10.4236/graphene.2017.61001
- Gu X., Zhao Y., Sun K. et al. Method of ultrasound-assisted liquid-phase exfoliation to prepare graphene // Ultrasonics Sonochemistry. 2019. V. 58. P. 104630. https://doi.org/10.1016/j.ultsonch.2019.104630
- Novoselov K.S., Geim A.K., Morozov S.V. et al. Electric field effect in atomically thin carbon films // Science. 2004. V. 306. № 5696. P. 666–669. https://doi.org/10.1126/science.1102896
- Huang Y., Pan Y.H., Yang R. et al. Universal mechanical exfoliation of large-area 2D crystals // Nature communications. 2020. V. 11. № 1. P. 2453. https://doi.org/10.1038/s41467-020-16266-w
- Deng B., Liu Z., Peng H. Toward mass production of CVD graphene films // Advanced Materials. 2019. V. 31. № 9. P. 1800996. https://doi.org/10.1002/adma.201800996
- Davydov V.Y., Usachov D.Y., Lebedev S.P. et al. Study of the crystal and electronic structure of graphene films grown on 6 H-SiC (0001) // Semiconductors. 2017. V. 51. P. 1072–1080. https://doi.org/10.1134/S1063782617080073
- Лебедев С.П., Елисеев И.А., Давыдов В.Ю. и др. Транспортные свойства пленок графена, выращенных методом термодеструкции поверхности SiC (0001) в среде аргона // Письма в Журнал технической физики. 2017. Т. 43. № 18. С. 64–72. https://doi.org/10.21883/PJTF.2017.18.45035.16895
- Коваленко С.Л., Павлова Т.В., Андрюшечкин Б.В. и др. Эпитаксиальный рост монокристалла графена на поверхности Ni (111) // Письма в Журнал экспериментальной и теоретической физики. 2017. Т. 105. № 3. С. 170–174. https://doi.org/10.7868/S0370274X17030080
- Voznyakovskii A.P., Vozniakovskii A.A., Kidalov S.V. New way of synthesis of few-layer graphene nanosheets by the self propagating high-temperature synthesis method from biopolymers // Nanomaterials. 2022. V. 12. № 4. P. 657. https://doi.org/10.3390/nano12040657
- Возняковский А.П., Неверовская А.Ю., Возняковский А.А., Карманов А.П., Шугалей И.В. Биомасса борщевика как сырье для получения 2D наноуглеродов. Экологический аспект // Экологическая химия. 2020. Т. 29. № 4. С. 190–195.
- Voznyakovskii A.P., Neverovskaya A.Yu., Vozniakovskii A.A., Kidalov S.V. A quantitative chemical method for determining the surface concentration of stone–wales defects for 1D and 2D carbon nanomaterials // Nanomaterials. 2022. V. 12. № 5. P. 883. https://doi.org/10.3390/nano12050883
- Vozniakovskii A.P., Kidalov S.V., Vozniakovskii A.A., Karmanov A.P., Kocheva L., Rachkova N. Carbon nanomaterials based on plant biopolymers as radionuclides sorbent. // Fullerenes, Nanotubes, Carbon Nanostruct. 2020. V. 28. № 3. P. 238–241. https://doi.org/10.1080/1536383X.2019.1686627
- Старик И.Е. Основы радиохимии. Л.: Наука, 1969. 647 с.
- Vozniakovskii A.A., Voznyakovskii A.P., Kidalov S.V., Osipov V.Yu. Structure and paramagnetic properties of graphene nanoplatelets prepared from biopolymers using self-propagating high-temperature synthesis // J. Struct. Chem. 2020. V. 61. P. 826–834. https://doi.org/10.1134/S0022476620050200
- Voznyakovskii A.P., Vozniakovskii A.A., Kidalov S.V. Phenomenological model of synthesis of few-layer graphene (FLG) by the selfpropagating high-temperature synthesis (SHS) method from biopolymers // Fullerenes, Nanotubes, Carbon Nanostruct. 2022. V. 30. № 1. P. 59–65. https://doi.org/10.1080/1536383X.2021.1993831
Supplementary files





