The Role of Dispersed Particles in the Physicochemical Behavior of Nanofluids
- Authors: Emelyanenko A.M.1, Boinovich L.B.1
-
Affiliations:
- Frumkin Institute of Physical Chemistry and Electrochemistry , Russian Academy of Sciences, 119071, Moscow, Russia
- Issue: Vol 85, No 6 (2023)
- Pages: 727-737
- Section: Articles
- Submitted: 25.12.2023
- Published: 01.11.2023
- URL: https://journals.rcsi.science/0023-2912/article/view/231788
- DOI: https://doi.org/10.31857/S0023291223601018
- EDN: https://elibrary.ru/IEECXU
- ID: 231788
Cite item
Full Text
Abstract
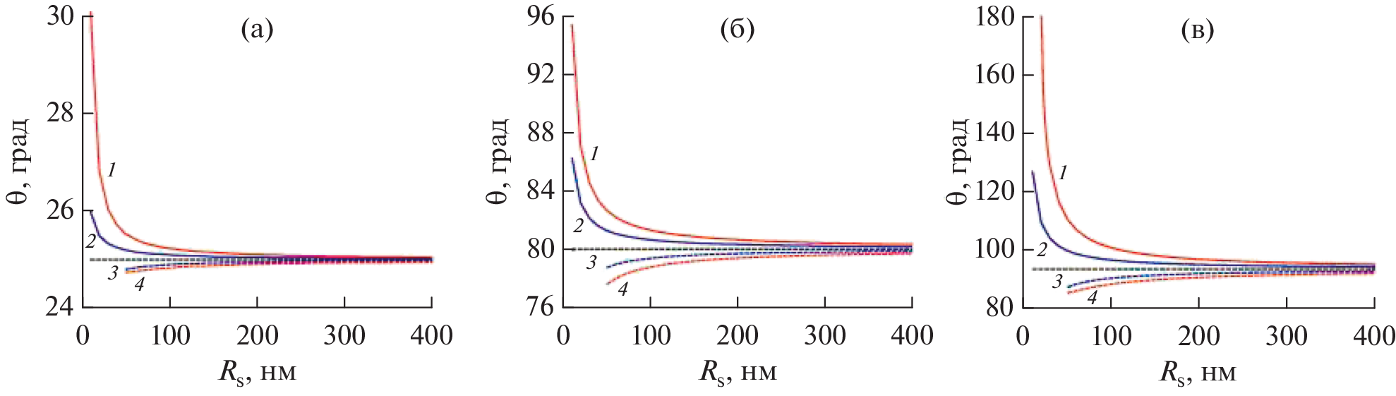
Nanodispersions can be used to solve various practical problems, such as increasing the efficiency of heating systems, cooling of electrical equipment, intensifying oil recovery, etc., because dispersing nanoparticles in liquid media provides an inexpensive and convenient way to significantly improve various functional properties of a base fluid. Although the influence of dispersed particles on surface phenomena in systems comprising nanofluids has been studied for more than 30 years, due to a number of factors, the problem of appropriate and self-consistent description of the behavior of nanofluids will apparently remain to be the focus of scientific attention in the coming decades. This paper presents a brief review of recently published results that are of general importance for understanding the behavior of the surface tension of nanofluids, as well as the processes accompanying wetting with nanofluids and their spreading over various surfaces.
Keywords
About the authors
A. M. Emelyanenko
Frumkin Institute of Physical Chemistry and Electrochemistry , Russian Academy of Sciences, 119071, Moscow, Russia
Email: ame@phyche.ac.ru
Россия, 119071, Москва,
Ленинский просп. 31, корп. 4
L. B. Boinovich
Frumkin Institute of Physical Chemistry and Electrochemistry , Russian Academy of Sciences, 119071, Moscow, Russia
Author for correspondence.
Email: ame@phyche.ac.ru
Россия, 119071, Москва,
Ленинский просп. 31, корп. 4
References
- Buongiorno J. Convective transport in nanofluids // ASME Journal of Heat and Mass Transfer. 2006. V. 128. № 3. P. 240–250. https://doi.org/10.1115/1.2150834
- Ali I., Pakharukov Y.V., Shabiev F.K., Galunin E.V., Safargaliev R.F., Vasiljev S.A., Ezdin B.S., Burakov A.E., Alothman Z.A., Sillanpää M. Preparation of graphene based nanofluids: Rheology determination and theoretical analysis of the molecular interactions of graphene nanoparticles // Journal of Molecular Liquids. 2023. V. 390. P. 122954. https://doi.org/10.1016/j.molliq.2023.122954
- Широких С.А., Клевцова Е.О., Савченко А.Г., Королева М.Ю. Устойчивость обратных высококонцентрированных эмульсий с магнитными наночастицами и структура высокопористых полимеров, образующихся из таких эмульсий // Коллоид. журн. 2021. Т. 83. № 6. С. 727–737. https://doi.org/10.31857/S0023291221060124
- Hernaiz M., Alonso V., Estellé P., Wu Z., Sundén B., Doretti L., Mancin S., Çobanoglu N., Karadeniz Z.H., Garmendia N., Lasheras-Zubiate M., Hernández López L., Mondragón R., Martínez-Cuenca R., Barison S., Kujawska A., Turgut A., Amigo A., Huminic G., Huminic A., Kalus M.-R., Schroth K.-G., Buschmann M.H. The contact angle of nanofluids as thermophysical property // Journal of Colloid and Interface Science. 2019. V. 547. P. 393–406. https://doi.org/10.1016/j.jcis.2019.04.007
- Ребиндер П.А., Фукс Г.И. Проблемы современной коллоидной химии. В кн.: Ребиндер П.А. Поверхностные явления в дисперсных системах. Коллоидная химия. Избранные труды. М.: Наука, 1978. С. 49–54.
- Choi S.U., Eastman J.A. Enhancing Thermal Conductivity of Fluids with Nanoparticles (No. ANL/MSD/CP-84938; CONF-951135-29). Argonne National Lab. (ANL), Argonne, IL (United States), 1995. https://www.osti.gov/servlets/purl/196525 (Дата обращения: 30.04.2023).
- Интернет-сайт ООО “Термоконтур” [Владимир, 2003–2023]. URL: https://termo-systema.ru/index.php-option=com_content&view=article&id=63-lamda&catid=35-artikle-&Itemid=89.htm (Дата обращения: 05.10.2023).
- Prasad T.R., Krishna K.R., Sharma K.V., Mantravadi N. Viscosity and thermal conductivity of cobalt and silica nanofluid in an optimum mixture of glycerol and water // Colloid Journal. 2022. V. 84. P. 208–221. https://doi.org/10.1134/S1061933X22020090
- Sinha S., Filippov A.N. Time dependent magnetohydrodynamic flow of CuO/Al2O3/TiO2 water based nanofluid along a vertical permeable stretching surface // Colloid Journal. 2021. V. 83. P. 500–512. https://doi.org/10.1134/S1061933X21040116
- Vallejo J.P., Prado J.I., Lugo L. Hybrid or mono nanofluids for convective heat transfer applications. A critical review of experimental research // Applied Thermal Engineering. 2021. V. 203. P. 117926. https://doi.org/10.1016/j.applthermaleng.2021.117926
- Milanese M., Micali F., Colangelo G., de Risi A. Experimental evaluation of a full-scale HVAC system working with nanofluid // Energies. 2022. V. 15. P. 2902. https://doi.org/10.3390/en15082902
- Can A., Selimefendigil F., Öztop H.F. A review on soft computing and nanofluid applications for battery thermal management // Journal of Energy Storage. 2022. V. 53. P. 105214. https://doi.org/10.1016/j.est.2022.105214
- Hussain M., Mir F.A., Ansari M.A. Nanofluid transformer oil for cooling and insulating applications: A brief review // Applied Surface Science Advances. 2022. V. 8. P. 100223. https://doi.org/10.1016/j.apsadv.2022.100223
- Das N.K., Santra S., Naik P.K., Vasa M.S., Raj R., Bose S., Banerjee T. Evaluation of thermophysical properties and thermal performance of amine-functionalized graphene oxide/deep eutectic solvent nanofluids as heat-transfer media for desalination systems // ACS Sustainable Chem. Eng. 2023. V. 11. № 14. P. 5376–5389. https://doi.org/10.1021/acssuschemeng.2c06325
- Rafiei A., Loni R., Mahadzir S.B., Najafi G., Sadeghzadeh M., Mazlan M., Ahmadi M.H. Hybrid solar desalination system for generation electricity and freshwater with nanofluid application: Energy, exergy, and environmental aspects // Sustainable Energy Technologies and Assessments. 2022. V. 50. P. 101716. https://doi.org/10.1016/j.seta.2021.101716
- Varma V.B., Cheekati S.K., Pattanaik M.S., Ramanujan R.V. A magnetic nanofluid device for excellent passive cooling of light emitting diodes // Energy Reports. 2022. V. 8. P. 7401–7419. https://doi.org/10.1016/j.egyr.2022.05.237
- Tembhare S.P., Barai D.P., Bhanvase B.A. Performance evaluation of nanofluids in solar thermal and solar photovoltaic systems: A comprehensive review // Renewable and Sustainable Energy Reviews. 2022. V. 153. P. 111738. https://doi.org/10.1016/j.rser.2021.111738
- Minakov A.V., Pryazhnikov M.I., Zhigarev V.A., Rudyak V.Y., Filimonov S.A. Numerical study of the mechanisms of enhanced oil recovery using nanosuspensions // Theoretical and Computational Fluid Dynamics. 2021. V. 35. P. 477–493. https://doi.org/10.1007/s00162-021-00569-9
- Kang W.L., Zhou B.B., Issakhov M., Gabdullin M. Advances in enhanced oil recovery technologies for low permeability reservoirs // Petroleum Science. 2022. V. 19. № 4. P. 1622–1640.
- Yakasai F., Jaafar M.Z., Bandyopadhyay S., Agi A. Current developments and future outlook in nanofluid flooding: A comprehensive review of various parameters influencing oil recovery mechanisms // Journal of Industrial and Engineering Chemistry. 2021. V. 93. P. 138–162. https://doi.org/10.1016/j.jiec.2020.10.017
- Gbadamosi A., Patil S., Kamal M.S., Adewunmi A.A., Yusuff A.S., Agi A., Oseh J. Application of polymers for chemical enhanced oil recovery: A review // Polymers. 2022. V. 14. P. 1433. https://doi.org/10.3390/polym14071433
- Shchukin E.D., Zelenev A.S. Physical-Chemical Mechanics of Disperse Systems and Materials, Taylor & Francis, Boca Raton, 2016.
- Levine S., Bowen B.D., Partridge S.J. Stabilization of emulsions by fine particles I. Partitioning of particles between continuous phase and oil/water interface // Colloids and Surfaces. 1989. V. 38. P. 325–343. https://doi.org/10.1016/0166-6622(89)80271-9
- Puel E., Coumes C.C.D., Poulesquen A., Testard F., Thill A. Pickering emulsions stabilized by inside/out Janus nanotubes: Oil triggers an evolving solid interfacial layer // Journal of Colloid and Interface Science. 2023. V. 647. P. 478–487. https://doi.org/10.1016/j.jcis.2023.04.102
- Boinovich L., Emelyanenko A. The prediction of wettability of curved surfaces on the basis of the isotherms of the disjoining pressure // Colloids and Surfaces A: Physicochemical and Engineering Aspects. 2011. V. 383. P. 10–16. https://doi.org/10.1016/j.colsurfa.2010.12.020
- Дерягин Б.В., Чураев Н.В., Муллер В.М. Поверхностные силы. М.: Наука, 1985.
- Boinovich L.B. DLVO forces in thin liquid films beyond the conventional DLVO theory // Current Opinion in Colloid & Interface Science. 2010. V. 15. P. 297–302. https://doi.org/10.1016/j.cocis.2010.05.003
- Kralchevsky P.A., Nagayama K. Capillary forces between colloidal particles // Langmuir. 1994. V. 10. P. 23–36. https://doi.org/10.1021/la00013a004
- Sarmadivaleh M., Al-Yaseri A.Z., Iglauer S. Influence of temperature and pressure on quartz–water–CO2 contact angle and CO2–water interfacial tension // Journal of Colloid and Interface Science. 2015. V. 441. P. 59–64. https://doi.org/10.1016/j.jcis.2014.11.010
- Arif M., Al-Yaseri A.Z., Barifcani A., Lebedev M., Iglauer S. Impact of pressure and temperature on CO2–brine–mica contact angles and CO2–brine interfacial tension: Implications for carbon geo-sequestration // Journal of Colloid and Interface Science. 2016. 462. P. 208–215. https://doi.org/10.1016/j.jcis.2018.07.115
- Estellé P., Cabaleiro D., Żyła G., Lugo L., Murshed S.M.S. Current trends in surface tension and wetting behavior of nanofluids // Renewable and Sustainable Energy Reviews. 2018. V. 94. P. 931–944. https://doi.org/10.1016/j.rser.2018.07.006
- Traciak J., Żyła G. Effect of nanoparticles saturation on the surface tension of nanofluids // Journal of Molecular Liquids. 2022. V. 363. P. 119937. https://doi.org/10.1016/j.molliq.2022.119937
- Traciak J., Fal J., Żyła G. 3D printed measuring device for the determination the surface tension of nanofluids // Applied Surface Science. 2021. V. 561. P. 149878. https://doi.org/10.1016/j.apsusc.2021.149878
- Traciak J., Sobczak J., Żyła G. The experimental study of the surface tension of titanium dioxide – ethylene glycol nanofluids // Physica E: Low-dimensional Systems and Nanostructures. 2023. V. 145. P. 115494. https://doi.org/10.1016/j.physe.2022.115494
- Traciak J., Sobczak J., Kuzioła R., Wasąg J., Żyła G. Surface and optical properties of ethylene glycol-based nanofluids containing silicon dioxide nanoparticles: An experimental study // Journal of Thermal Analysis and Calorimetry. 2022. V. 147. P. 7665–7673. https://doi.org/10.1007/s10973-021-11067-9
- Traciak J., Sobczak J., Vallejo J.P., Lugo L., Fal J., Żyła G. Experimental study on the density, surface tension and electrical properties of ZrO2–EG nanofluids // Physics and Chemistry of Liquids. 2023. V. 61. P. 14–24. https://doi.org/10.1080/00319104.2022.2027942
- Sobczak J., Vallejo J.P., Traciak J., Hamze S., Fal J., Estellé P., Lugo L., Żyła G. Thermophysical profile of ethylene glycol based nanofluids containing two types of carbon black nanoparticles with different specific surface areas // Journal of Molecular Liquids. 2021. V. 326. P. 115255. https://doi.org/10.1016/j.molliq.2020.115255
- Traciak J., Żyła G. Surface tension of ethylene glycol‑based nanofluids containing three types of oxides: zinc oxide (ZnO), magnesium oxide (MgO) and indium oxide (In2O3) // International Journal of Thermophysics. 2023. V. 44. P. 34. https://doi.org/10.1007/s10765-022-03144-4
- Emelyanenko A.M., Emelyanenko K.A., Vul’ A.Ya., Shvidchenko A.V., Boinovich L.B. The role of nanoparticle charge in crystallization kinetics and ice adhesion strength for dispersions of detonation nanodiamonds // Physical Chemistry Chemical Physics. 2023. V. 25. P. 3950–3958. https://doi.org/10.1039/D2CP05144C
- Boinovich L.B., Modin E.B., Aleshkin A.V., Emelyanenko K.A., Zulkarneev E.R., Kiseleva I.A., Vasiliev A.L., Emelyanenko A.M. Antibacterial effect of textured surfaces induced by extreme wettability and bacteriophage seeding // ACS Applied Nanomaterials. 2018. V. 1. P. 1348–1359. https://doi.org/10.1021/acsanm.8b00090
- Rudawska A. Assessment of surface preparation for the bonding/adhesive technology / In: Rudawska A. Surface Treatment in Bonding Technology. Academic Press, 2019. P. 227–275. https://doi.org/10.1016/b978-0-12-817010-6.00009-6
- Captay G. A coherent set of model equations for various surface and interface energies in systems with liquid and solid metals and alloys // Advances in Colloid and Interface Science. 2020. V. 283. P. 102212. https://doi.org/10.1016/j.cis.2020.102212
- Boinovich L., Emelyanenko A. Wetting and surface forces // Advances in Colloid and Interface Science. 2011. V. 165. P. 60–69. https://doi.org/10.1016/j.cis.2011.03.002
- Boinovich L., Emelyanenko A. The prediction of wettability of curved surfaces on the basis of the isotherms of the disjoining pressure // Colloids and Surfaces A: Physicochemical and Engineering Aspects. 2011. V. 383. P. 10–16. https://doi.org/10.1016/j.colsurfa.2010.12.020
- Minakov A.V., Pryazhnikov M.I., Suleymana Y.N., Meshkova V.D., Guzei D.V. Experimental study of nanoparticle size and material effect on the oil wettability characteristics of various rock types // Journal of Molecular Liquids. 2021. V. 327. P. 114906. https://doi.org/10.1016/j.molliq.2020.114906
- De Gennes P.G. Wetting: Statics and dynamics // Reviews of Modern Physics. 1985. V. 57. № 3. P. 827. https://doi.org/10.1103/RevModPhys.57.827
- Bonn D., Eggers J., Indekeu J., Meunier J., Rolley E. Wetting and spreading // Reviews of Modern Physics. 2009. V. 81. № 2. P. 739. https://doi.org/10.1103/RevModPhys.81.739
- Yarin A.L. Drop impact dynamics: Splashing, spreading, receding, bouncing… // Annual Review of Fluid Mechanics. 2006. V. 38. P. 159–192. https://doi.org/10.1146/annurev.fluid.38.050304.092144
- Josserand C., Thoroddsen S.T. Drop impact on a solid surface // Annual Review of Fluid Mechanics. 2016. V. 48. P. 365–391. https://doi.org/10.1146/annurev-fluid-122414-034401
- Johansson P., Hess B. Molecular origin of contact line friction in dynamic wetting // Physical Review Fluids. 2018. V. 3. P. 074201. https://doi.org/10.1103/PhysRevFluids.3.074201
- Blake T.D. The physics of moving wetting line // Journal of Colloid and Interface Science. 2006. V. 299. P. 1–13. https://doi.org/10.1016/j.jcis.2006.03.051
- Chen L., Bonaccurso E. Effects of surface wettability and liquid viscosity on the dynamic wetting of individual drops // Physical Review E. 2014. V. 90. P. 022401. https://doi.org/10.1103/PhysRevE.90.022401
- Ramiasa M., Ralston J., Fetzer R., Sedev R. The influence of topography on dynamic wetting // Advances in Colloid and Interface Science. 2014. V. 206. P. 275–293. https://doi.org/10.1016/j.cis.2013.04.005
- Emelyanenko A.M., Boinovich L.B., Emelyanenko K.A. Spreading of biologically relevant liquids over the laser textured surfaces // Journal of Colloid and Interface Science. 2020. V. 567. P. 224–234. https://doi.org/10.1016/j.jcis.2020.02.006
- Kumar A., Kleinen J., Venzmer J., Trybala A., Starov V., Gambaryan-Roisman T. Spreading and imbibition of vesicle dispersion droplets on porous substrates // Colloids and Interfaces. 2019. V. 3. P. 53. https://doi.org/10.3390/colloids3030053
- Chao T.C., Trybala A., Starov V., Das D.B. Influence of haematocrit level on the kinetics of blood spreading on thin porous medium during dried blood spot sampling // Colloids and Surfaces A: Physicochemical and Engineering Aspects. 2014. V. 451. P. 38–47. https://doi.org/10.1016/j.colsurfa.2014.03.033
- Antonov D.V., Islamova A.G., Strizhak P.A. Hydrophilic and hydrophobic surfaces: Features of interaction with liquid drops // Materials. 2023. V. 16. P. 5932. https://doi.org/10.3390/ma16175932
- Thoraval M.-J., Schubert J., Karpitschka S., Chanana M., Boyer F., Sandoval-Naval E., Dijksman J.F., Snoeijerah J.H., Lohse D. Nanoscopic interactions of colloidal particles can suppress millimetre drop splashing // Soft Matter. 2021. V. 17. P. 5116−5121. https://doi.org/10.1039/D0SM01367F
Supplementary files










