Effect of Biological Contamination of Copper Surfaces with Extreme Wettability on Their Antibacterial Properties
- Authors: Omran F.S.1, Kaminsky V.V.2, Emelyanenko K.A.1, Emelyanenko A.M.1, Boinovich L.B.1
-
Affiliations:
- Frumkin Institute of Physical Chemistry and Electrochemistry, 119071, Moscow, Russia
- Russian Scientific Center of Roentgenoradiology, Ministry of Healthcare of the Russian Federation, 117997, Moscow, Russia
- Issue: Vol 85, No 5 (2023)
- Pages: 641-654
- Section: Articles
- Submitted: 16.10.2023
- Published: 01.09.2023
- URL: https://journals.rcsi.science/0023-2912/article/view/137238
- DOI: https://doi.org/10.31857/S0023291223600499
- EDN: https://elibrary.ru/ECUJVB
- ID: 137238
Cite item
Full Text
Abstract
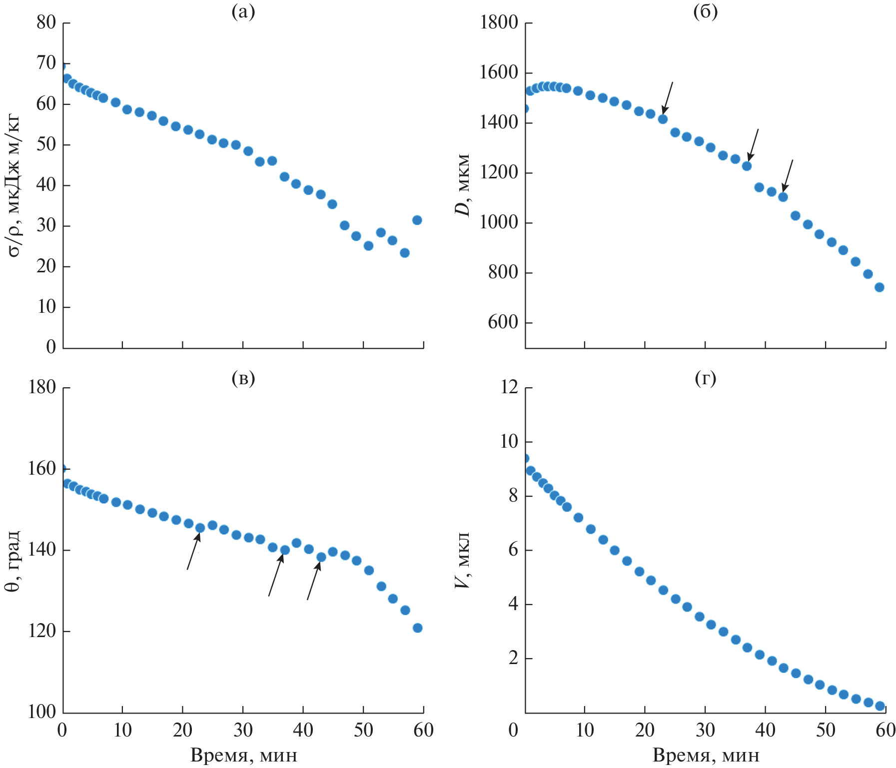
Bacterial health care-associated infections (HCAI) are one of the acute problems of modern healthcare. One of the promising directions for solving this problem is the development of materials that either have a bactericidal effect against HCAI pathogens or prevent the transmission of bacteria deposited on their surface by patients and staff contacts with such surfaces. In this work, the antibacterial effectiveness of copper contact surfaces with different wettability was investigated. Particular attention was paid to studying the effect on this efficacy of surface contamination by both human contact sweat and bacterial life-supporting substances, using a peptone solution as an example. Due to the high cost of copper, the possibility of replacing bulk copper material with less expensive sprayed copper-coated materials was also investigated. The test results showed that the bactericidal efficacy against Staphylococcus aureus strain of both control copper and superhydrophilic copper samples, as well as of sputtered copper films, is close to 100% and almost unchanged after contamination with peptone solution or sweat excretions. Superhydrophobic copper surfaces have less bactericidal efficacy, but due to the non-wettability effect and low cell adhesion to such surfaces, they remain uncontaminated longer and thus also promote reducing the transmission of infections through the touch surfaces made of them.
About the authors
F. S. Omran
Frumkin Institute of Physical Chemistry and Electrochemistry, 119071, Moscow, Russia
Email: duckyfriedrich@gmail.com
Россия, 119071, Москва, Ленинский просп. 31, корп. 4
V. V. Kaminsky
Russian Scientific Center of Roentgenoradiology, Ministry of Healthcare of the Russian Federation, 117997, Moscow, Russia
Email: duckyfriedrich@gmail.com
Россия, 117997, Москва, ул. Профсоюзная, д. 86
K. A. Emelyanenko
Frumkin Institute of Physical Chemistry and Electrochemistry, 119071, Moscow, Russia
Email: duckyfriedrich@gmail.com
Россия, 119071, Москва, Ленинский просп. 31, корп. 4
A. M. Emelyanenko
Frumkin Institute of Physical Chemistry and Electrochemistry, 119071, Moscow, Russia
Email: duckyfriedrich@gmail.com
Россия, 119071, Москва, Ленинский просп. 31, корп. 4
L. B. Boinovich
Frumkin Institute of Physical Chemistry and Electrochemistry, 119071, Moscow, Russia
Author for correspondence.
Email: duckyfriedrich@gmail.com
Россия, 119071, Москва, Ленинский просп. 31, корп. 4
References
- Suksatan W., Jasim S.A., Widjaja G., Jalil A.T., Chupradit S., Ansari M.J., Mustafa Y.F., Hammoodi H.A., Mohammadi M.J. Assessment effects and risk of nosocomial infection and needle sticks injuries among patients and health care workers // Toxicology Reports. 2022. V. 9. P. 284–292. https://doi.org/10.1016/j.toxrep.2022.02.013
- Nimer N.A. Nosocomial infection and antibiotic-resistant threat in the middle east // Infection and Drug Resistance. 2022. V. 15. P. 631−639. https://doi.org/10.2147/IDR.S351755
- Du Q., Zhang D., Hu W., Li X., Xia Q., Wen T., Jia H. Nosocomial infection of COVID‑19: A new challenge for healthcare professionals // International Journal of Molecular Medicine. 2021. V. 47. № 4. P. 1–1. https://doi.org/10.3892/ijmm.2021.4864
- World Health Organization. The burden of health care-associated infection worldwide // World Health Organization. 2010.
- Ananda T., Modi A., Chakraborty I., Managuli V., Mukhopadhyay C., Mazumder N. Nosocomial infections and role of nanotechnology // Bioengineering. 2022. V. 9. № 2. P. 51. https://doi.org/10.3390/bioengineering9020051
- Gold K., Slay B., Knackstedt M., Gaharwar A.K. Antimicrobial activity of metal and metal-oxide based nanoparticles // Advanced Therapeutics. 2018. V. 1. № 3. P. 1700033. https://doi.org/10.1002/adtp.201700033
- Hobman J.L., Crossman L.C. Bacterial antimicrobial metal ion resistance // Journal of Medical Microbiology. 2015. V. 64. № 5. P. 471–497. https://doi.org/10.1099/jmm.0.023036-0
- Psomas G. Copper (II) and zinc (II) coordination compounds of non-steroidal anti-inflammatory drugs: Structural features and antioxidant activity // Coordination Chemistry Reviews. 2020. V. 412. P. 213259. https://doi.org/10.1016/j.ccr.2020.213259
- Ustundag B., Yilmaz E., Dogan Y., Akarsu S., Canatan H., Halifeoglu I., Cikim G., Aygun A.D. Levels of cytokines (IL-1β, IL-2, IL-6, IL-8, TNF-α) and trace elements (Zn, Cu) in breast milk from mothers of preterm and term infants // Mediators of Inflammation. 2005. V. 2005. № 6. P. 331–336. https://doi.org/10.1155/MI.2005.331
- Vincent M., Hartemann P., Engels-Deutsch M. Antimicrobial applications of copper // International Journal of Hygiene and Environmental Health. 2016. V. 219. № 7. Part A. P. 585–591. https://doi.org/10.1016/j.ijheh.2016.06.003
- Vincent M., Duval R.E., Hartemann P., Engels-Deutsch M. Contact killing and antimicrobial properties of copper. // Journal of Applied Microbiology. 2018. V. 124. № 5. P. 1032–1046. https://doi.org/10.1111/jam.13681
- Grass G., Rensing C., Solioz M. Metallic Copper as an antimicrobial surface // Appl. Environ. Microbiol. 2011. V. 77. № 5. P. 1541–1547. https://doi.org/10.1128/AEM.02766-10
- Dollwet H.H.A., Sorenson J.R.J. Historic uses of copper compounds in medicine // Trace Elem. Med. 1985. V. 2. № 2. P. 80–87.
- Inkinen J., Makinen R., Keinanen-Toivola M.M., Nordstrom K., Ahonen M. Copper as an antibacterial material in different facilities // Lett. Appl. Microbiol. 2017. V. 64. № 1. P. 19–26. https://doi.org/10.1111/lam.12680
- Arendsen L.P., Thakar R., Sultan A.H. The use of copper as an antimicrobial agent in health care, including obstetrics and gynecology // Clinical Microbiology Reviews. 2019. V. 32. № 4. P. e00125-18. https://doi.org/10.1128/cmr.00125-18
- de Romaña D.L., Olivares M., Uauy R., Araya M. Risks and benefits of copper in light of new insights of copper homeostasis // Journal of Trace Elements in Medicine and Biology. 2011. V. 25. № 1. P. 3–13. https://doi.org/10.1016/j.jtemb.2010.11.004
- Turnlund J.R., Keyes W.R., Kim S.K., Domek J.M. Long-term high copper intake: Effects on indexes of copper status, antioxidant status, and immune function in young men // The American Journal of Clinical Nutrition. 2004. V. 79. № 6. P. 1037–1044. https://doi.org/10.1093/ajcn/79.6.1037
- Pelgrom S.M.G.J., Lock R.A.C., Balm P.H.M., Bonga S.W. Integrated physiological response of tilapia, Oreochromis mossambicus, to sublethal copper exposure // Aquatic Toxicology. 1995. V. 32. № 4. P. 303–320. https://doi.org/10.1016/0166-445X(95)00004-N
- Emelyanenko A.M., Kaminsky V.V., Pytskii I.S., Emelyanenko K.A., Domantovsky A.G., Chulkova E.V., Shiryaev A.A., Aleshkin A.V., Boinovich L.B. Antimicrobial activity and degradation of superhydrophobic magnesium substrates in bacterial media // Metals. 2021. V. 11. № 7. P. 1100. https://doi.org/10.3390/met11071100
- Boinovich L.B., Emelyanenko K.A., Domantovsky A.G., Chulkova E.V., Shiryaev A.A., Emelyanenko A.M. Pulsed laser induced triple layer copper oxide structure for durable polyfunctionality of superhydrophobic coatings // Advanced Materials Interfaces. 2018. V. 5. № 21. P. 1801099. https://doi.org/10.1002/admi.201801099
- Emelyanenko A.M., Kaminskii V.V., Pytskii I.S., Domantovsky A.G., Emelyanenko K.A., Aleshkin A.V., Boinovich L.B. Antibacterial properties of superhydrophilic textured copper in contact with bacterial suspensions // Bulletin of Experimental Biology and Medicine. 2020. V. 168. P. 488–491. https://doi.org/10.1007/s10517-020-04737-5
- Rosli N.A., Teow Y.H., Mahmoudi E. Current approaches for the exploration of antimicrobial activities of nanoparticles // Science and Technology of Advanced Materials. 2021. V. 22. №. 1. P. 885–907. https://doi.org/10.1080/14686996.2021.1978801
- Emelyanenko A.M., Pytskii I.S., Kaminsky V.V., Chulkova E.V., Domantovsky A.G., Emelyanenko K.A., Sobolev V.D., Aleshkin A.V., Boinovich L.B. Superhydrophobic copper in biological liquids: Antibacterial activity and microbiologically induced or inhibited corrosion // Colloids and Surfaces B: Biointerfaces. 2020. V. 185. P. 110622. https://doi.org/10.1016/j.colsurfb.2019.110622
- Zarasvand K.A., Rai V.R. Microorganisms: Induction and inhibition of corrosion in metals // International Biodeterioration & Biodegradation. 2014. V. 87. P. 66–74. https://doi.org/10.1016/j.ibiod.2013.10.023
- Каминский В.В., Емельяненко А.М., Алешкин А.В., Емельяненко К.А., Бойнович Л.Б. Эффективность и механизмы бактерицидного действия на Escherichia coli супергидрофильной поверхности магниевого сплава // Микробиология. 2021. Т. 90. № 5. С. 613–617. https://doi.org/10.31857/S0026365621050098
- Boinovich L.B., Kaminsky V.V., Domantovsky A.G., Emelyanenko K.A., Aleshkin A.V., Zulkarneev E.R., Kiseleva I.A., Emelyanenko A.M. Bactericidal activity of superhydrophobic and superhydrophilic copper in bacterial dispersions // Langmuir. 2019. V. 35. № 7. P. 2832–2841. https://doi.org/10.1021/acs.langmuir.8b03817
- Boinovich L.B., Modin E.B., Aleshkin A.V., Emelyanenko K.A., Zulkarneev E.R., Kiseleva I.A., Vasiliev A.L., Emelyanenko A.M. Effective antibacterial nanotextured surfaces based on extreme wettability and bacteriophage seeding // ACS Applied Nano Materials. 2018. V. 1. №. 3. P. 1348–1359. https://doi.org/10.1021/acsanm.8b00090
- Baker L.B., Wolfe A.S. Physiological mechanisms determining eccrine sweat composition // European Journal of Applied Physiology. 2020. V. 120. P. 719–752. https://doi.org/10.1007/s00421-020-04323-7
- Verde T., Shephard R.J., Corey P., Moore R. Sweat composition in exercise and in heat // Journal of Applied Physiology. 1982. V. 53. № 6. P. 1540–1545. https://doi.org/10.1152/jappl.1982.53.6.1540
- Wilke K., Martin A., Terstegen L., Biel S.S. A short history of sweat gland biology // International Journal of Cosmetic Science. 2007. V. 29. № 3. P. 169–179. https://doi.org/10.1111/j.1467-2494.2007.00387.x
- Collins K.J. Composition of palmar and forearm sweat // Journal of Applied Physiology. 1962. V. 17. № 1. P. 99–102. https://doi.org/10.1152/jappl.1962.17.1.99
- Picardo M., Ottaviani M., Camera E., Mastrofrancesco A. Sebaceous gland lipids // Dermato-Endocrinology. 2009. V. 1. № 2. P. 68–71. https://doi.org/10.4161/derm.1.2.8472
- Picknett R.G., Bexon R. The evaporation of sessile or pendant drops in still air // Journal of Colloid and Interface Science. 1977. V. 61. № 2. P. 336–350. https://doi.org/10.1016/0021-9797(77)90396-4
- Bourges-Monnier C., Shanahan M.E.R. Influence of evaporation on contact angle // Langmuir. 1995. V. 11. № 7. P. 2820–2829. https://doi.org/10.1021/la00007a076
- Bennacer R., Ma X. Effect of temperature and surfactants on evaporation and contact line dynamics of sessile drops // Heliyon. 2022. V. 8. № 11. P. e11716. https://doi.org/10.1016/j.heliyon.2022.e11716
- Anantharaju N., Panchagnula M., Neti S. Evaporating drops on patterned surfaces: Transition from pinned to moving triple line // Journal of Colloid and Interface Science. 2009. V. 337. № 1. P. 176–182. https://doi.org/10.1016/j.jcis.2009.04.095
- Misyura S.Y., Andryushchenko V.A., Morozov V.S., Smovzh D.V. The effect of textured surface on graphene wettability and droplet evaporation // Journal of Materials Science. 2022. V. 57. № 3. P. 1850–1862. https://doi.org/10.1007/s10853-021-06853-7
- Chulkova E.V., Emelyanenko K.A., Emelyanenko A.M., Boinovich L.B. Elimination of wetting study flaws in unsaturated vapors based on Laplace fit parameters // Surface Innovations. 2022. V. 10. № 1. P. 21–24. https://doi.org/10.1680/jsuin.21.00012
Supplementary files









