Образование комплексов β-циклодекстрина с левофлоксацином и цефтриаксоном как подход к регуляции фармакокинетических свойств лекарственных препаратов
- Авторы: Якупова Л.Р.1, Копнова Т.Ю.1, Скуредина А.А.1, Ле-Дейген И.М.1, Шустров П.Н.2, Новоселов А.М.1, Кудряшова Е.В.1
-
Учреждения:
- Московский государственный университет имени М.В. Ломоносова, химический факультет
- Первый МГМУ им. И.М. Сеченова Минздрава России (Сеченовский университет)
- Выпуск: Том 85, № 1 (2023)
- Страницы: 122-136
- Раздел: Статьи
- Статья получена: 16.10.2023
- Статья опубликована: 01.01.2023
- URL: https://journals.rcsi.science/0023-2912/article/view/137214
- DOI: https://doi.org/10.31857/S0023291222600183
- EDN: https://elibrary.ru/KFMYJY
- ID: 137214
Цитировать
Полный текст
Аннотация
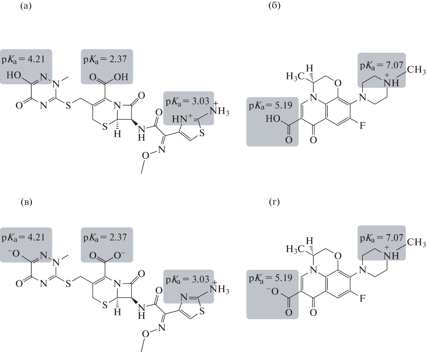
Исследовано комплексообразование гидроксипропил-β-циклодекстрина (ГПЦД) с антибактериальными препаратами: цефтриаксоном (ЦТ) и левофлоксацином (ЛВ), которые используются для лечения респираторных заболеваний, в том числе и в терапии бактериальной инфекции дыхательных путей. Методом ИК-спектроскопии Фурье и ЯМР спектроскопии показано, что комплекс ЛВ−ГПЦД образуется преимущественно за счет погружения ароматического фрагмента ЛВ внутрь полости ГПЦД; в то время как комплекс ЦТ−ГПЦД реализуется на поверхности ГПЦД. ЛВ, как более гидрофобная молекула, образует в 10 раз более прочные комплексы с ГПЦД, чем ЦТ: KdisЛВ-ГПЦД ~ 10–3 М и KdisЦТ-ГПЦД ~10–2 М при рН 7.4. Показано, что для однозаряженных форм препаратов комплексы стабильнее в 2 раза. С применением метода флуоресцентной спектроскопии исследованы термодинамические параметры взаимодействия лекарственных форм с человеческим сывороточным альбумином (ЧСА). Отрицательные значения ΔH и ΔS реакции свидетельствуют об образовании как водородных связей, так и вандерваальсовых взаимодействий при комплексообразовании обоих лекарств с ЧСА. Установлено, что белок в ~4 раза прочнее связывается с ЛВ при 37°С, по сравнению с ЦТ. Полученные данные позволят усовершенствовать характеристики исследованных препаратов и вывести на новый уровень методы борьбы с тяжелыми формами респираторных заболеваний.
Об авторах
Л. Р. Якупова
Московский государственный университет имени М.В. Ломоносова,химический факультет
Автор, ответственный за переписку.
Email: Yakupova.Linara@mail.ru
Россия, 119296, Москва, ул. Ленинские горы, д. 1, стр. 3
Т. Ю. Копнова
Московский государственный университет имени М.В. Ломоносова,химический факультет
Email: Yakupova.Linara@mail.ru
Россия, 119296, Москва, ул. Ленинские горы, д. 1, стр. 3
А. А. Скуредина
Московский государственный университет имени М.В. Ломоносова,химический факультет
Email: Yakupova.Linara@mail.ru
Россия, 119296, Москва, ул. Ленинские горы, д. 1, стр. 3
И. М. Ле-Дейген
Московский государственный университет имени М.В. Ломоносова,химический факультет
Email: Yakupova.Linara@mail.ru
Россия, 119296, Москва, ул. Ленинские горы, д. 1, стр. 3
П. Н. Шустров
Первый МГМУ им. И.М. Сеченова Минздрава России (Сеченовский университет)
Email: Yakupova.Linara@mail.ru
Россия, 119991, Москва,
ул. Трубецкая, д. 8, стр. 2
А. М. Новоселов
Московский государственный университет имени М.В. Ломоносова,химический факультет
Email: Yakupova.Linara@mail.ru
Россия, 119296, Москва, ул. Ленинские горы, д. 1, стр. 3
Е. В. Кудряшова
Московский государственный университет имени М.В. Ломоносова,химический факультет
Email: Yakupova.Linara@mail.ru
Россия, 119296, Москва, ул. Ленинские горы, д. 1, стр. 3
Список литературы
- Авдеев С.Н., Белобородов В.Б., Омельяновский В.В. и др. Временные методические рекомендации. Профилактика, диагностика и лечение новой коронавирусной инфекции (COVID-19), 2020. V. 9 26.10.2.
- Чамсутдинов Н.У., Абдулманапова Д.Н. Тактика лечения пациентов новой коронавирусной инфекцией (COVID-19): Нерешенные проблемы пульмонологии // Вестник ДГМА. 2021. V. 3. № 40. P. 42–54.
- Van Bambeke F., Michot J.M., Van Eldere J. et al. Quinolones in 2005: an update // Clinical Microbiology and Infection. 2005. V. 11. № 4. P. 256–280.
- Owens H.M., Dash A.K. Ceftriaxone sodium: comprehensive profile // Profiles of Drug Substances, Excipients and Related Methodology. 2003. V. 30. № 03. P. 21–57.
- Davis M.E., Brewster M.E. Cyclodextrin-based pharmaceutics: past, present and future // Nature Reviews Drug Discovery. 2004. V. 3. № 12. P. 1023–1035.
- Raut S.Y., Manne A.S.N., Kalthur G. et al. Cyclodextrins as carriers in targeted delivery of therapeutic agents: focused review on traditional and inimitable applications // Current Pharmaceutical Design. 2019. V. 25. № 4. P. 444–454.
- Loftsson T., Jarho P., Másson M., et al. Cyclodextrins in drug delivery // Expert Opinion on Drug Delivery. 2005. V. 2. № 2. P. 335–351.
- Stella V.J., He Q. Cyclodextrins // Toxicologic Patho-logy. 2008. V. 36. № 1. P. 30–42.
- Trindade T.M., Salgado H.R.N. A Critical review of analytical methods for determination of ceftriaxone sodium // Critical Reviews in Analytical Chemistry. 2018. V. 48. № 2. P. 95–101.
- Talley J.H. Fluoroquinolones // Postgraduate Medicine. 1991. V. 89. № 1. P. 101–113.
- Davis R., Bryson H.M. Levofloxacin // Drugs. 1994. V. 47. № 4. P. 677–700.
- Yang F., Zhang Y., Liang H. Interactive association of drugs binding to human serum albumin // International Journal of Molecular Sciences. 2014. V. 15. № 3. P. 3580–3595.
- Fanali G., di Masi A., Trezza V., et al. Human serum albumin: from bench to bedside // Molecular Aspects of Medicine. 2012. V. 33. № 3. P. 209–290.
- Varshney A., SEN P., Ahmad E., et al. Ligand binding strategies of human serum albumin: how can the cargo be utilized? // Chirality. 2010. V. 22. № 1. P. 77–87.
- Yakupova L.R., Kopnova T.Y., Skuredina A.A. et al. Effect of methyl-β-cyclodextrin on the interaction of fluoroquinolones with human serum albumin // Russian Journal of Bioorganic Chemistry. 2022. V. 48. № 1. P. 163–172.
- Loftsson T., Petersen D.S. Cyclodextrin solubilization of ETH-615, a zwitterionic drug // Drug Development and Industrial Pharmacy. 1998. V. 24. № 4. P. 365–370.
- Aleksić M., Savić V., Popović G., et al. Acidity constants of cefetamet, cefotaxime and ceftriaxone; the effect of the substituent at C3 position // Journal of Pharmaceutical and Biomedical Analysis. 2005. V. 39. № 3–4. P. 752–756.
- Crupi V., Ficarra R., Guardo M. et al. UV-Vis and FTIR-ATR spectroscopic techniques to study the inclusion complexes of genistein with β-cyclodextrins // Journal of Pharmaceutical and Biomedical Analysis. 2007. V. 44. № 1. P. 110–117.
- Misiuk W., Jozefowicz M. Study on a host–guest interaction of hydroxypropyl-β-cyclodextrin with ofloxacin // Journal of Molecular Liquids. 2015. V. 202. P. 101–106.
- Manimekalai P., Dhanalakshmi R., Manavalan R. Preparation and characterization of ceftriaxone sodium encapsulated chitosan nanoparticles // International Journal of Applied Pharmaceutics. 2017. V. 9. № 6. P. 10.
- Gunasekaran S., Rajalakshmi K., Kumaresan S. Vibrational analysis, electronic structure and nonlinear optical properties of levofloxacin by density functional theory // Spectrochimica Acta – Part A: Molecular and Biomolecular Spectroscopy. 2013. V. 112. P. 351–363.
- Skuredina A.A., Kopnova T.Y., Le-deygen I.M. et al. Physical and chemical properties of the guest–host inclusion complexes of cyprofloxacin with β-cyclodextrin derivatives // Moscow University Chemistry Bulletin. 2020. V. 75. № 4. P. 218–224.
- Skuredina A.A., Le-Deygen I.M., Kudryashova E.V. The effect of molecular architecture of sulfobutyl ether β-cyclodextrin nanoparticles on physicochemical properties of complexes with moxifloxacin // Colloid Journal. 2018. V. 80. № 3. P. 312–319.
- Jagdale S.C., Mohanty P., Chabukswar A.R. et al. Dissolution rate enhancement, design and development of buccal drug delivery of darifenacin hydroxypropyl β-cyclodextrin inclusion complexes // Journal of Pharmaceutics. 2013. V. 2013. P. 1–11.
- Ferrazza R., Rossi B., Guella G. DOSY-NMR and Raman investigations on the self-aggregation and cyclodextrin complexation of vanillin // Journal of Physical Chemistry B. 2014. V. 118. № 25. P. 7147–7155.
- Upadhyay S.K., Kumar G. NMR and molecular modelling studies on the interaction of fluconazole with β-cyclodextrin // Chemistry Central Journal. 2009. V. 3. № 1. P. 1–9.
- Sapte S., Pore Y. Inclusion complexes of cefuroxime axetil with β-cyclodextrin: physicochemical characterization, molecular modeling and effect of L-arginine on complexation // Journal of Pharmaceutical Analysis. 2016. V. 6. № 5. P. 300–306.
- Le-Deygen I.M., Skuredina A.A., Uporov I.V., et al. Thermodynamics and molecular insight in guest–host complexes of fluoroquinolones with β-cyclodextrin derivatives, as revealed by ATR-FTIR spectroscopy and molecular modeling experiments // Analytical and Bioanalytical Chemistry. 2017. V. 409. № 27. P. 6451–6462.
- Valeur B. Molecular fluorescence // Encyclopedia of Applied Spectroscopy. 2009.
- Varshney A., Ansari Y., Zaidi N. et al. Analysis of binding interaction between antibacterial ciprofloxacin and human serum albumin by spectroscopic Techniques // Cell Biochemistry and Biophysics. 2014. V. 70. № 1. P. 93–101.
- Nazar M.F., Azeem W., Rana U.A. et al. pH-dependent probing of levofloxacin assimilated in surfactant mediated assemblies: insights from photoluminescent and chromatographic measurements // Journal of Molecular Liquids. 2016. V. 220. P. 26–32.
- Paul B.K., Guchhait N. A spectral deciphering of the binding interaction of an intramolecular charge transfer fluorescence probe with a cationic protein: thermodynamic analysis of the binding phenomenon combined with blind docking study // Photochemical and Photobiological Sciences. 2011. V. 10. № 6. P. 980–991.
- Kaur A., Khan I.A., Banipal P.K. et al. Deciphering the complexation process of a fluoroquinolone antibiotic, levofloxacin, with bovine serum albumin in the presence of additives // Spectrochimica Acta Part A: Molecular and Biomolecular Spectroscopy. 2018. V. 191. P. 259–270.
- Кудряшова Е.В., Гладилин А.К., Левашов А.В. Белки в надмолекулярных ансамблях: исследование структуры методом разрешенно-временной флуоресцентной анизотропии // Успехи биологической химии. 2002. V. 42. P. 257–294.
- Yang Y., Hu Q., Fan Y. et al. Study on the binding of luteolin to bovine serum albumin // Spectrochimica Acta Part A: Molecular and Biomolecular Spectroscopy. 2008. V. 69. № 2. P. 432–436.
- Patel S., Datta A. Steady state and time-resolved fluorescence investigation of the specific binding of two chlorin derivatives with human serum albumin // Journal of Physical Chemistry B. 2007. V. 111. № 35. P. 10557–10562.
- Zhang L.W., Wang K., Zhang X.X. Study of the interactions between fluoroquinolones and human serum albumin by affinity capillary electrophoresis and fluorescence method // Analytica Chimica Acta. 2007. V. 603. № 1. P. 101–110.
- Rehman M.T., Shamsi H., Khan A.U. Insight into the binding mechanism of imipenem to human serum albumin by spectroscopic and computational approaches // Molecular Pharmaceutics. 2014. V. 11. № 6. P. 1785–1797.
- Ross P.D., Subramanian S. Thermodynamics of protein association reactions: forces contributing to stability // Biochemistry. 1981. V. 20. № 11. P. 3096–3102.
- Ghuman J., Zunszain P.A., Petitpas I. et al. Structural basis of the drug-binding specificity of human serum albumin // Journal of Molecular Biology. 2005. V. 353. № 1. P. 38–52.
- Seedher N., Agarwal P. Complexation of fluoroquinolone antibiotics with human serum albumin: a fluorescence quenching study // Journal of Luminescence. 2010. V. 130. № 10. P. 1841–1848.
- Ermakova E.A., Danilova A.G., Khairutdinov B.I. Interaction of ceftriaxone and rutin with human serum albumin. WaterLOGSY-NMR and molecular docking study // Journal of Molecular Structure. 2020. V. 1203. P. 127444.
- Abu T.M.M., Ghithan J., Abu-Taha M.I. et al. Spectroscopic approach of the interaction study of ceftriaxone and human serum albumin // Journal of Biophysics and Structural Biology. 2014. V. 6. № 1. P. 1–12.
Дополнительные файлы











