ON TEMPORAL VARIATIONS IN THE GRANULOMETRIC CHARACTERISTICS OF BINARY MIXED MICROPOWDERS TREATED IN A PLANETARY-TYPE BALL MILL
- Authors: SAVENKO V.I.1
-
Affiliations:
- Frumkin Institute of Physical Chemistry and Electrochemistry, Russian Academy of Sciences, Moscow, Russia
- Issue: Vol 85, No 2 (2023)
- Pages: 219-232
- Section: Articles
- Submitted: 16.10.2023
- Published: 01.03.2023
- URL: https://journals.rcsi.science/0023-2912/article/view/137212
- DOI: https://doi.org/10.31857/S0023291222600626
- EDN: https://elibrary.ru/UTXFMA
- ID: 137212
Cite item
Full Text
Abstract
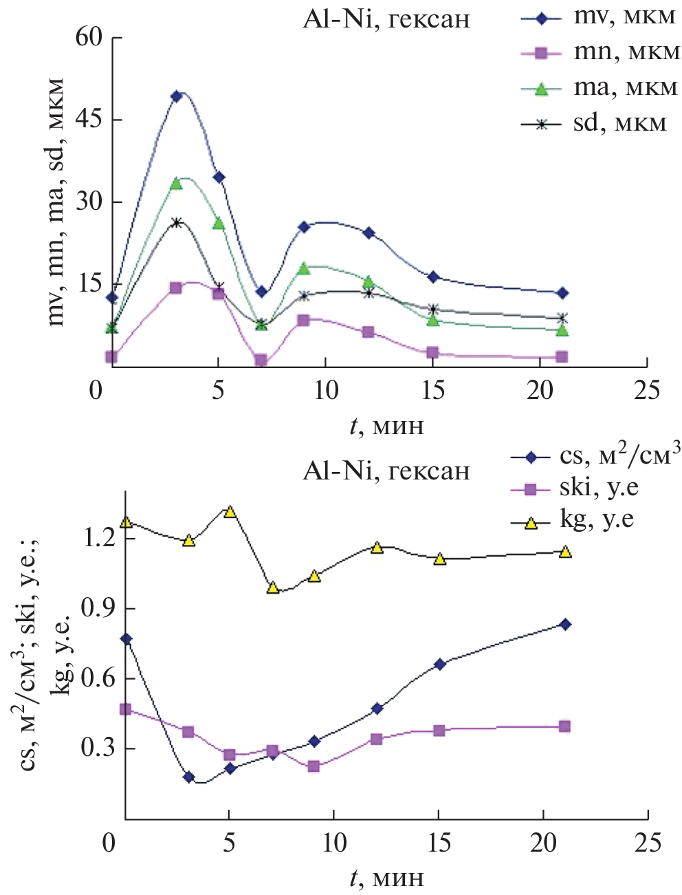
Integral and differential particle size distribution functions have been experimentally determined for two-component mixed micropowders, which contain stoichiometric amounts of polycrystalline aluminum, nickel, and titanium, as well as amorphous boron, and have been mechanically treated in a planetary-type ball mill under different time conditions of the process. The influence of the duration of treatment of the above mixtures on the mathematical parameters of the found distribution functions has been analyzed. It has been shown that, in all considered cases, these functions can be represented in a lognormal form. The most informative statistical characteristics (moments) of these functions have been determined. The dependences of these characteristics on the duration of the mechanical treatment of the mixtures have been revealed. Within the framework of an approximation based on the use of generalized dynamic-stochastic Langevin-type equations, a kinetic model has been proposed for the process of mechanical treatment of metallic and non-metallic mixed micropowders in planetary-type mills. The model makes it possible to describe, as a first approximation, the temporal evolution of the fractional composition of the mixtures during their machining, as well as to record temporal variations of the main statistical characteristics of the corresponding distribution functions in this process.
About the authors
V. I. SAVENKO
Frumkin Institute of Physical Chemistry and Electrochemistry, Russian Academy of Sciences, Moscow, Russia
Author for correspondence.
Email: visavenko@rambler.ru
Россия, 119071, Москва,
Ленинский просп., 31, корп. 4
References
- Suryanarayana C. Mechanical Alloying and Milling. NY.: Marcel Dekker Inc., 2004.
- Кузьмич Ю.В., Колесникова И.Г., Серба В.И., Фрейдин Б.М. Механическое легирование. М.: Наука, 2005.
- Григорьева Т.Ф., Баранова А.П., Ляхов Н.З. Механохимический синтез в металлических системах. Новосибирск: Параллель, 2008.
- High energy ball milling mechanochemical processing of nanoparticles / Ed. by Sopicka-Lizer M. Oxford-Cambridge-New Delhi: Woodhead publishing Limited, 2010.
- Богатырева Е.В., Ермилов А.Г., Свиридова Т.А., Савина О.С., Подшибякина К.В. Влияние продолжительности механоактивации на реакционную способность вольфрамитовых концентратов // Неорганические материалы. 2011. Т. 47. № 7. С. 877–883.
- James S.L., Adams C.J., Bolm C.J., Braga C., Collier D., Friscic P. Mechanochemistry: opportunities for new and cleaner synthesis // Chemical Society Reviews. 2012. V. 41. № 1. P. 413–447. https://doi.org/10.1039/c1cs15171a
- V International Conference “Fundamental Bases of Mechanochemical Technologies”, FBMT-2018. Book of abstracts / Eds. Lyakhov N., Šepelák V., Shakhtshneider T., Dudina D. Novosibirsk: IPC NSU-Publishing, 2018.
- Zoz H., Ren H., Reichardt R., Benz H.U. Mechanical Alloying: Principle, Development and Current Activities (Part I-VII), 〈www.gmbh.zoz.de/?Page_id=1155〉 (Accessed 23 July 2018).
- Мофа Н.Н., Садыков Б.С., Баккара А.Е., Мансуров З.А. Получение механохимической обработкой металлических порошков для энергоемких горючих композиций. Часть 2. Структура и реакционная способность механоактивированных смесей Al – модификатор–SiО2 // Известия Вузов. Порошковая металлургия и функциональные покрытия. 2019. № 3. С. 13–25. https://doi.org/10.17073/1997-308X-2019-3-13-25
- Eryomina M.A., Lomaeva S.F. Composites prepared by multistage wet ball milling of Ti and Cu powders: phase composition and effect of surfactant addition // Advanced Powder Technology. 2020. V. 31. № 5. P. 1789–1795.
- Коротких А.Г., Сорокин И.В., Селихова А.Е., Архипов В.А. Зажигание и горение смесевых твердых топлив на основе двойного окислителя и борсодержащих добавок // Химическая физика. 2020. Т. 39. № 7. С. 32–40.
- Малышев В.П., Бектурганов Н.С., Макашева А.М., Зубрина Ю.С. Вероятностная модель измельчения материалов как оператор самоорганизации и аттрактор процесса // Цветные металлы. 2016. № 2. С. 33–39.
- Malyshev V.P., Makasheva A.M., Zubrina Y.S. United probabilistic nature and model of chemical and mechanical reactions of consecutive destruction of substance // Am. J. Phys. Chem. 2015. V. 4. P. 42–47.
- Савенко В.И., Клюев В.А., Малкин А.И. Гранулометрия металлических микропорошков, обработанных в шаровой планетарной мельнице // Коллоид. журн. 2022. Т. 84. № 1. С. 84–96. https://doi.org/10.31857/S0023291222010116
- Савенко В.И. Эволюция статистических характеристик распределения частиц по размерам в микропорошках при их темпоральной обработке в шаровой планетарной мельнице // Коллоид. журн. 2022. Т. 84. № 3. С. 318–327. https://doi.org/10.31857/S0023291222030107
- Ван Кампен Н.Г. Стохастические процессы в физике и химии. М.: Высшая школа, 1998.
- Gardiner C.W. Handbook of Stochastic Methods: for Physics, Chemistry and the Natural Sciences. Lëtzebuerg: Springer, 2004.
- Stepanov S.S. Stochastic World. (Series: Mathematical Engineering). Lëtzebuerg: Springer, 2013.
- Allen T. Particle Size Measurement. N.Y., London: Chapman & Hall. 4-th edition, 1992.
- Левин А. Основные принципы анализа размеров частиц. М.: “ЛабДепо-Мск”, 2010.
- ГОСТ Р 8.777-2011. Государственная система обеспечения единства измерений. Дисперсный состав аэрозолей и взвесей. Определение размеров частиц по дифракции лазерного излучения. М.: Стандартинформ, 2019.
- Борен К., Хафмен Д. Поглощение и рассеяние света малыми частицами. М.: Мир, 1986.
- Balakrishnan N., Chen W.W.S. Handbook of Tables for Order Statistics from Lognormal Distributions with Applications. Amsterdam: Kluwer, 1999.
- Wojdyr M. Fityk: a general-purpose peak fitting program // J. Appl. Cryst. 2010. V. 43. P. 1126–1128. https://doi.org/10.1107/S0021889810030499
- ГОСТ 11.008-75. Графические методы обработки данных. Метод вероятностных сеток. М.: Издательство стандартов, 1985. (CT СЭ8 3542-82J. Applied statistics. Graphic methods of data processing).
- Коузов П.А. Основы анализа дисперсного состава промышленных пылей и измельченных материалов. Л.: Химия, 1987.
- Гмурман В.Е. Теория вероятностей и математическая статистика. М.: Высшая Школа, 2003.
- Лемешко Б.Ю., Лемешко С.Б., Постовалов С.Н., Чимитова Е.В. Статистический анализ данных, моделирование и исследование вероятностных закономерностей. Компьютерный подход. Новосибирск: Изд-во НГТУ, 2011. (раздел 4.9).
- Krylov N.V. Introduction to the Theory of Random Processes: Graduate Studies in Mathematics. Providence RI: Amer. Math. Soc. 2002. V. 43.
- Ширяев А.Н. Вероятность. ТТ. 1, 2. М.: МЦНМО, 2007.
- Гасников А.В., Горбунов Э.А., Гуз С.А., Черноусова Е.О., Широбоков М.Г., Шульгин Е.В. Лекции по случайным процессам. М: МФТИ, 2019.
- Формалев В.Ф., Ревизников Д.Л. Численные методы. Изд. 2-е, испр., доп. М.: ФИЗМАТЛИТ, 2006.
- Самарский А.А. Введение в численные методы. Изд. 5-е. Спб.: ЛАНЬ, 2009.
- Хакен Г. Синергетика. Принципы и основы. М.: УРСС: ЛЕНАНД. ТТ. 1, 2. 2015.
- Физические величины. Справочник. / Под редакцией Григорьева И.С., Мейлихова Е.З. М.: Энергоатомиздат, 1991.
- Бородин И.Н., Майер А.Е. Предел текучести нанокристаллических металлов при высокоскоростной пластической деформации // ФТТ. 2012. Т. 54. № 4. С.759–766.
- Ефстифеев А.Д., Груздков А.А., Петров Ю.В. Температурно-скоростная зависимость типа разрушения // ЖТФ. 2013. Т. 83. № 7. С. 59–63.
Supplementary files












