ELECTROKINETIC TRANSPORT OF NON-NEWTONIAN FLUID THROUGH SOFT NANOCHANNEL WITH PH-RESPONSIVE AND PARTIALLY ION-PENETRABLE POLYMER LAYER
- Authors: Kumar D.1, Barman B.1
-
Affiliations:
- Department of Mathematics, National Institute of Technology Patna, Patna, India
- Issue: Vol 85, No 2 (2023)
- Pages: 179-190
- Section: Articles
- Submitted: 16.10.2023
- Published: 01.03.2023
- URL: https://journals.rcsi.science/0023-2912/article/view/137207
- DOI: https://doi.org/10.31857/S0023291223700052
- EDN: https://elibrary.ru/UVFIOX
- ID: 137207
Cite item
Full Text
Abstract
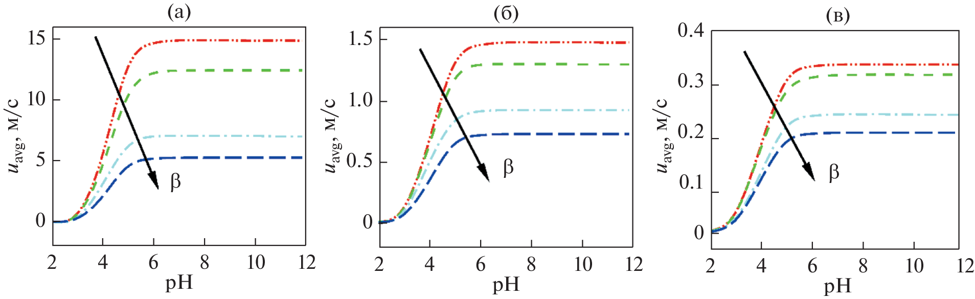
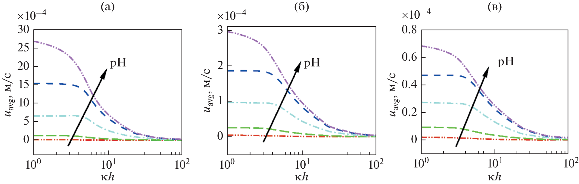
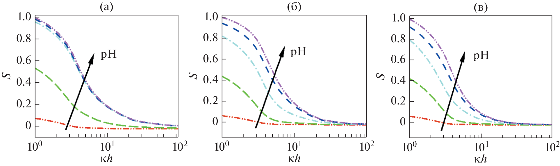
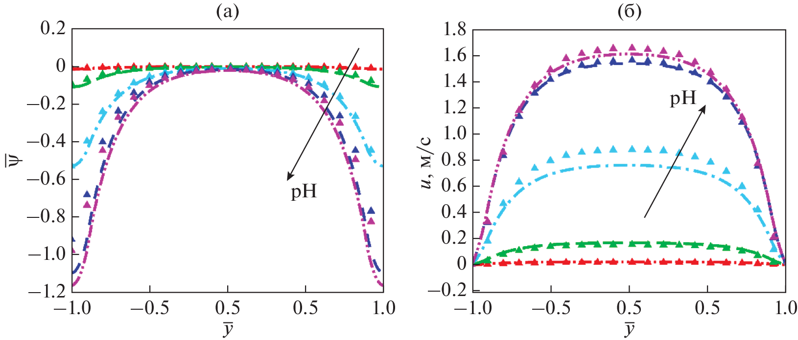
The present article deals with the comprehensive parametric study on electroosmotic flow and transportation of ions through polymer grafted soft nanochannel containing non-Newtonian fluid. We consider the fully developed flow in a slit rectangular channel. The charged poly-electrolyte layer (PEL) carries a monovalent acidic ionizable group attached to a rigid wall. The ion partitioning effect is considered in our study, which arises from the difference in relative permittivity of the polyelectrolyte region and the bulk electrolyte. The non-linear Poisson−Boltzmann equation and the modified Cauchy momentum equation, which are coupled, are used to describe the mathematical model. The main objective of this analysis is to demonstrate the impact of bulk pH on the charge regulation of mono-ionic functional groups residing in PEL, the impact of flow behavior index and different electrohydrodynamic parameters, including EDL thickness, ion-partitioning parameter, the Debye−Hückel parameter, and softness parameters etc, on the overall flow modulation and selectivity parameter. This study is expected to constitute a significant step forward in the real-world continuum mathematical modelling of interfacial flow physics in the scenario of electrohydrodynamics in soft nanochannels.
About the authors
Deepak Kumar
Department of Mathematics, National Institute of Technology Patna, Patna, India
Email: bhanuman@nitp.ac.in
Индия, 800005, Патна
Bhanuman Barman
Department of Mathematics, National Institute of Technology Patna, Patna, India
Author for correspondence.
Email: bhanuman@nitp.ac.in
Индия, 800005, Патна
References
- Figeys D., Pinto D. Lab-on-a-chip: a revolution in biological and medical sciences // Analytical Chemistry. 2000. V. 72. P. 330A–335A.
- Zeng S., Chen C.H., Mikkelsen Jr, J.C., Santiago J.G. Fabrication and characterization of electroosmotic micropumps // Sensors and Actuators B: Chemical. 2001. V. 79. № 2–3. P. 107–114.
- Howard A.S., Abraham D.S., Armand A. Engineering flows in small devices: microfluidics toward a lab-on-a-chip // Annu. Rev. Fluid Mech. 2004. V. 36. P. 381–411.
- Xiayan W., Chang Ch., Shili W., Shaorong L. Electroosmotic pumps and their applications in microfluidic systems // Microfluidics and Nanofluidics. 2009. V. 6. № 2. P. 145–162.
- Dutta P., Beskok A. Analytical solution of combined electroosmotic/pressure driven flows in two-dimensional straight channels: finite Debye layer effects // Analytical Chemistry. 2001. V. 73. № 9. P. 1979–1986.
- Bhattacharyya S., Zheng Z., Conlisk A.T. Electro-osmotic flow in two-dimensional charged micro-and nanochannels // Journal of Fluid Mechanics. 2005. V. 540. P. 247–267.
- Bhattacharyya S., Ameeya Kumar Nayak. Electroosmotic flow in micro/nanochannels with surface potential heterogeneity: an analysis through the Nernst-Planck model with convection effect // Colloids and Surfaces A: Physicochemical and Engineering Aspects. 2009. V. 339. № 1–3. P. 167–177.
- Bhattacharyya S., Ameeya Kumar Nayak. Combined effect of surface roughness and heterogeneity of wall potential on electroosmosis in microfluidic/nanofluidic channels // Journal of Fluids Engineering. 2010. V. 132. № 4. P. 041103.
- Alireza Ahmadian Yazdi, Arman Sadeghi, Mohammad Hassan Saidi. Electrokinetic mixing at high zeta potentials: ionic size effects on cross stream diffusion // Journal of Colloid and Interface Science. 2015. V. 442. P. 8–14.
- Partha P. Gopmandal, Ohshima H. Modulation of electroosmotic flow through electrolyte column surrounded by a dielectric oil layer // Colloid and Polymer Science. 2017. V. 295. № 7. P. 1141–1151.
- Santanu Saha, Partha P. Gopmandal, Ohshima H. Steady/unsteady electroosmotic flow through nanochannel filled with electrolyte solution surrounded by an immiscible liquid // Colloid and Polymer Science. 2017. V. 295. № 12. P. 2287–2297.
- Milad Azari, Arman Sadeghi, Suman Chakraborty. Electroosmotic flow and heat transfer in a heterogeneous circular microchannel // Applied Mathematical Modelling. 2020. V. 87. P. 640–654.
- De Simanta, Gopmandal Partha P., Kumar B., Sinha R.K. Effect of hydrophobic patch on the modulation of electroosmotic flow and ion selectivity through nanochannel // Applied Mathematical Modelling. 2020. V. 87. P. 488–500.
- Mathias Dietzel, Steffen Hardt. Electroosmotic flow in small-scale channels induced by surface-acoustic waves // Physical Review Fluids. 2020. V. 5. № 12. P. 123702.
- Feuillebois F., Bazant M.Z., Vinogradova O.I. Effective slip over superhydrophobic surfaces in thin channels // Physical Review Letters. 2009. V. 102. № 2. P. 026001.
- Vinogradova O.I., Silkina E.F., Asmolov E.S. Enhanced transport of ions by tuning surface properties of the nanochannel // Physical Review E. 2021. V. 104. № 3. P. 035107.
- Vinogradova O.I, Silkina E.F., Asmolov E.S. Transport of ions in hydrophobic nanotubes // Physics of Fluids. 2022. V. 34. № 12. P. 122003.
- Chhabra R.P., Richardson J.F. Non-Newtonian flow and applied rheology: engineering applications // Butterworth-Heinemann, 2011.
- Zhao C., Zholkovskij E., Masliyah J.H., Yang Ch. Analysis of electroosmotic flow of power-law fluids in a slit microchannel // Journal of Colloid and Interface Science. 2008. V. 326. № 2. P. 503–510.
- Das Siddhartha, Chakraborty Suman. Analytical solutions for velocity, temperature and concentration distribution in electroosmotic microchannel flows of a non-Newtonian bio-fluid // Analytica Chimica Acta. 2006. V. 559. № 1. P. 15–24.
- Chakraborty Suman. Electroosmotically driven capillary transport of typical non-Newtonian biofluids in rectangular microchannels // Analytica Chimica Acta. 2007. V. 605. № 2. P. 175–184.
- Babaie A., Sadeghi A., Saidi M.H. Combined electroosmotically and pressure driven flow of power-law fluids in a slit microchannel // Journal of Non-Newtonian Fluid Mechanics. 2011. V. 166. № 14–15. P. 792–798.
- Zhao C., Yang Ch. An exact solution for electroosmosis of non-Newtonian fluids in microchannels // Journal of Non-Newtonian Fluid Mechanics. 2011. V. 166. № 17–18. P. 1076–1079.
- Zhao C., Yang Ch. Electro-osmotic mobility of non-Newtonian fluids // Biomicrofluidics. 2011. V. 5. № 1. P. 014110.
- Bag Naren, Bhattacharyya S., Gopmandal P.P., Ohshima H. Electroosmotic flow reversal and ion selectivity in a soft nanochannel // Colloid and Polymer Science. 2018. V. 296. № 5. P. 849–859.
- Bhattacharyya S., Kundu D. Enhanced electroosmotic flow, conductance and ion selectivity of a viscoplastic fluid in a hydrophobic cylindrical pore // Applied Mathematical Modelling. 2022. V. 111. P. 802–817.
- Sadeghi M., Saidi M.H., Sadeghi A. Electroosmotic flow and ionic conductance in a pH-regulated rectangular nanochannel // Physics of Fluids. 2017. V. 29. № 6. P. 062002.
- Yang M., Buren M., Chang L., Zhao Y. Time periodic electroosmotic flow in a pH-regulated parallel-plate nanochannel // Physica Scripta. 2022. V. 97. № 3. P. 030003.
- Kimani E.M., Prani‘c M., Porada S., Kemperman A.J.B., Ryzhkov I.I., van der Meer W.G.J., Biesheuvel P.M. The influence of feedwater pH on membrane charge ionization and ion rejection by reverse osmosis: an experimental and theoretical study // Journal of Membrane Science. 2022. V. 660. P. 120800.
- Tseng Shiojenn, Tai Yi-Hsuan, Hsu Jyh-Ping. Electrokinetic flow in a pH-regulated, cylindrical nanochannel containing multiple ionic species // Microfluidics and Nanofluidics. 2013. V. 15. № 6. P. 847–857.
- Schoch R.B., Bertsch A., Renaud Ph. pH-controlled diffusion of proteins with different pi values across a nanochannel on a chip // Nano Letters. 2006. V. 6. № 3. P. 543–547.
- Poddar A., Maity D., Bandopadhyay A., Chakraborty S. Electrokinetics in polyelectrolyte grafted nanofluidic channels modulated by the ion partitioning effect // Soft Matter. 2016. V. 12. № 27. P. 5968–5978.
- Gopmandal P.P., De S., Bhattacharyya S., Ohshima H. Impact of ion-steric and ion-partitioning effects on electrophoresis of soft particles // Physical Review E. 2020. V. 102. № 3. P. 032601.
- Mahapatra P., Gopmandal P.P., Duval J.F.L. Effects of dielectric gradients-mediated ions partitioning on the electrophoresis of composite soft particles: an analytical theory // Electrophoresis. 2021. V. 42. № 1–2. P. 153–162.
- Born M. Volumen und hydratationswarme der ionen // Zeitschrift fur physik. 1920. V. 1. № 1. P. 45–48.
- Coster H.G.L. The double fixed charge membrane: solution-membrane ion partition effects and membrane potentials // Biophysical Journal. 1973. V. 13. № 2. P. 133–142.
- Ohshima H. Electrophoresis of soft particles // Advances in Colloid and Interface Science. 1995. V. 62. № 2–3. P. 189–235.
- Gopmandal P.P., Ohshima H. Importance of pH-regulated charge density on the electrophoresis of soft particles // Chemical Physics. 2017. V. 483. P. 165–171.
- Donath E., Voigt A. Streaming current and streaming potential on structured surfaces // Journal of Colloid and Interface Science. 1986. V. 109. № 1. P. 122–139.
- Wu Jan H., Keh Huan J. Diffusioosmosis and electroosmosis in a capillary slit with surface charge layers // Colloids and Surfaces A: Physicochemical and Engineering Aspects. 2003. V. 212. № 1. P. 27–42.
- Keh Huan J., Ding Jau M. Electrokinetic flow in a capillary with a charge-regulating surface polymer layer // Journal of Colloid and Interface Science. 2003. V. 263. № 2. P. 645–660.
- Duval J.F.L, van Leeuwen H.P. Electrokinetics of diffuse soft interfaces. 1. Limit of low Donnan potentials // Langmuir. 2004. V. 20. № 23. P. 10324–10336.
- Ma Hsien Chen, Keh Huan J. Diffusioosmosis of electrolyte solutions in a capillary slit with adsorbed polyelectrolyte layers // Journal of Colloid and Interface Science. 2007. V. 313. № 2. P. 686–696.
- Dukhin S.S., Zimmermann R., Duval J.F.L, Werner C. On the applicability of the Brinkman equation in soft surface electrokinetics // Journal of Colloid and Interface Science. 2010. V. 350. № 1. P. 1–4.
- Duval J.F.L, Kuttner D., Nitschke M., Werner C., Zimmermann R. Interrelations between charging, structure and electrokinetics of nanometric polyelectrolyte films // Journal of Colloid and Interface Science. 2011. V. 362. № 2. P. 439–449.
- Chanda S., Sinha Sh., Das S. Streaming potential and electroviscous effects in soft nanochannels: towards designing more efficient nanofluidic electrochemomechanical energy converters // Soft Matter. 2014. V. 10. № 38. P. 7558–7568.
- Chen G., Das S. Streaming potential and electroviscous effects in soft nanochannels beyond Debye–Hückel linearization // Journal of Colloid and Interface Science. 2015. V. 445. P. 357–363.
- Saha S., Gopmandal P.P., Ohshima H. Electroosmotic flow and transport of ionic species through a slit soft nanochannel filled with general electrolytes // Meccanica. 2019. V. 54. № 14. P. 2131–2149.
- Silkina E.F., Bag N., Vinogradova O.I. Electro-osmotic properties of porous permeable films // Physical Review Fluids. 2020. V. 5. № 12. P. 123701.
- Silkina E.F., Bag N., Vinogradova O.I. Surface and zeta potentials of charged permeable nanocoatings // The Journal of Chemical Physics. 2021. V. 154. № 16. P. 164701.
- Gaikwad Harshad Sanjay, Kumar Gaurav, Mondal Pranab Kumar. Efficient electroosmotic mixing in a narrow-fluidic channel: the role of a patterned soft layer // Soft Matter. 2020. V. 6. № 27. P. 6304–6316.
- Li Fengqin, Jian Yongjun, Xie Zhiyong, Liu Yongbo, Liu Quansheng. Transient alternating current electroosmotic flow of a Jeffrey fluid through a polyelectrolyte-grafted nanochannel // RSC Advances. 2017. V. 7. № 2. P. 782–790.
- Patel Maneesh, Kruthiventi S.S., Kaushik P. Polyelectrolyte layer grafting effect on the rotational electroosmotic flow of viscoplastic material // Microfluidics and Nanofluidics. 2021. V. 25. № 2. P. 1–20.
- Barman Bhanuman, Kumar Deepak, Gopmandal P.P., Ohshima H. Electrokinetic ion transport and fluid flow in a pH-regulated polymer-grafted nanochannel filled with power-law fluid // Soft Matter. 2020. V. 16. № 29. P. 6862–6874.
- Ohshima H. Approximate analytic expression for the pH-dependent electrophoretic mobility of soft particles // Colloid and Polymer Science. 2016. V. 294. № 12. P. 1997–2003.
- Shenoy A.V. Darcy–Forchheimer natural, forced and mixed convection heat transfer in non-Newtonian power-law fluid-saturated porous media // Transport in Porous Media. 1993. V. 11. № 3. P. 219–241.
- Shenoy A.V. Non-Newtonian fluid heat transfer in porous media // Advances in Heat Transfer. 1994. V. 24. P. 101–190.
- Christopher Robert H., Middleman Stanley. Power-law flow through a packed tube // Industrial & Engineering Chemistry Fundamentals. 1965. V. 4. № 4. P. 422–426.
Supplementary files









