The influence of the initial moisture content of cedar needles on the time characteristics of the ignition of coal-water suspensions
- Authors: Malyshev D.Y.1, Kostoreva Z.A.1, Tamashevich M.S.1, Poznakharev A.S.1
-
Affiliations:
- National Research Tomsk Polytechnic University
- Issue: No 3 (2024)
- Pages: 32-39
- Section: Articles
- URL: https://journals.rcsi.science/0023-1177/article/view/266904
- DOI: https://doi.org/10.31857/S0023117724030055
- EDN: https://elibrary.ru/NCDQFV
- ID: 266904
Cite item
Full Text
Abstract
The results of experimental studies of the influence of the initial moisture content of cedar needles on the time characteristics of ignition of coal-water suspensions based on D-grade thermal coal are presented. Biomass (fallen and freshly cut cedar needles) was used as an additive accelerating the ignition process. An analysis was carried out of the influence of the initial moisture content of the plant additive in the composition of water-soluble suspensions on the ignition delay times. It has been established that the initial moisture content of cedar needles does not have a significant effect on the time characteristics of the fuel ignition process (the difference does not exceed 4%), but the addition of needles leads to a significant reduction in the ignition delay times (the VUS ignites faster on average by 15%).
Full Text
Введение
Динамика цен на такие энергоносители, как нефть и газ, зависит от множества факторов (взаимоотношения между странами, логистические цепочки и множество других), поэтому можно сделать вполне обоснованный вывод, что обеспечить устойчивое развитие государства возможно при использовании угольного топлива. Разведанных запасов угля хватит на несколько столетий (по некоторым данным [1] на ближайшие 150–250 лет).
При сжигании угля в атмосферу земли выбрасывается большие объемы антропогенных газов, таких, как оксиды серы (SOx) и азота (NOx). Одними из наиболее перспективных и простых технологических (в плане переоборудования тепловых станций) решений на настоящее время являются технологии сжигания угля в составе водоугольных суспензий (ВУС). Экспериментальные исследования показали [2], что при сжигании ВУС в окружающую среду выделяются существенно меньше антропогенных газов, чем при сжигании угля. Широкомасштабное внедрение ВУС на практике затруднено в связи с высокими значениями времен задержки зажигания (которые могут достигать нескольких десятков секунд [3]). Для решения данной проблемы могут применяются различные ускоряющие процесс зажигания добавки, например, биомасса.
Установлено, что при сжигании биомассы по сравнению с углем выбросы оксидов серы и азота существенно меньше [4]. В биомассе практически не содержится сера. При этом известно, что внутритопливная сера оказывает наибольшее влияние на интенсивность образования оксидов серы, поэтому введение в состав ВУС биомассы позволит улучшить экологические характеристики топлива.
Известно [5], что до 80% лесных пожаров являются низовыми. Одной из основных причин которых является сухостой и лесной подлесок. В лесопромышленном комплексе крона дерева является отходом (не входит в перечень деловой древесины) и хранится в отвалах (практически не перерабатывается). Вовлечение лесного опада и отходов леспоромышленного комплекса (например, опилки, щепа, крона) в топливный баланс и использование на объектах энергетики, например, добавление лесного горючего материала в качестве ускоряющей процесс зажигания ВУТ добавки позволит снизить пожарную опасность в лесах. В этой связи лесной горючий материал – перспективная добавка в состав водоугольного топлива.
Рис. 1. Принципиальная схема экспериментальной установки по осушению биомассы (1 – рабочая камера из нержавеющей стали, 2 – нагревательный элемент, 3 – поддон с хвоей кедра, 4 – блок управления сушильным шкафом, 5 – электронные весы, 6 – персональный компьютер).
Одним из основных этапов топливоприготовления твердых топлив является его сушка. Перед сжиганием биомассы необходимо удалить из нее влагу (влажность древесины может достигать 50% [6]). Процесс обезвоживания древесины является энергозатратным и продолжительным во времени. В процессе приготовления водоугольной суспензии происходит увлажнение угля (концентрация воды может достигать до 60 мас. %). В этой связи возникает вопрос о целесообразности сушки биомассы перед приготовлением ВУС.
Цель работы – изучение влияния начальной влажности биомассы в составе водоугольной суспензии на временные характеристики зажигания ВУС.
Методики проведения экспериментов
Экспериментальные исследования состояли из нескольких этапов. Сначала определялась начальная влага биомассы (сухой и свежесрезанной хвои кедра). Экспериментальный стенд по определению времен дегидратации биомассы приведен на рис. 1. Для определения влажности древесной биомассы (свежесрезанной и опавшей хвои кедра) материал для опытов подготавливали по следующей схеме: на начальном этапе осуществлялся сбор биомассы, далее происходила сортировка и отделение хвои от веток. Далее осуществлялась сушка, для чего подготовленную хвою укладывали в открытый поддон (3), который подвешивался в центральной части сушильного шкафа СУ 32 с максимальной температурой нагрева Тmax= 423 К, скоростью нагрева 10 К/с (1) к электронным весам Aczet PVT LTD (5) (погрешность измерения массы 0.001 г). Сушка исследуемых материалов проводилась при температуре 103°С (температура устанавливалась при помощи блока управления (4)) и контролировалась внутрикамерным регистратором температуры (хромель-алюмелевая термопара (ТХА), погрешность измерения Тg 0.1°С). Процесс сушки считался оконченным, когда изменение массы не превышало 0.3%.
Затем следовал основной этап – изучение влияния начальной влажности хвои кедра на временные характеристики зажигания и горения водоугольных суспензий с добавлением растительной компоненты. В табл. 1 приведены составы исследуемых топлив.
В табл. 2 представлен элементный и технический анализ компонентов топлива.
Основным компонентом суспензии являлся типичный энергетический уголь марки “Д” ((длиннопламенный), Листвянское месторождение Новосибирской обл.). В качестве биомассы использовалась хвоя кедра. Запасы кедровой древесины составляют 20.8% всего лесного массива Томской области [7]. Рубка кедрового леса запрещена, поэтому актуален сбор лесного подстилка (опавшая листья, хвоя и др.), что в свою очередь снижает пожарную опасность в лесах.
Таблица 1. Состав топливных композиций
Уголь Д, ٪ | Биомасса, % | Вид биомассы | Вода, % |
44 | 6 | Свежая хвоя кедра | 50 |
46 | 4 | ||
48 | 2 | ||
44 | 6 | Опавшая хвоя кедра | 50 |
46 | 4 | ||
48 | 2 |
Таблица 2. Технический и элементный анализ основных компонентов топлива
Компонент | Технический анализ | Элементный анализ | |||||||
Wa, % | Ad, % | Vdaf, % | Qas,V, МДж/кг | Cdaf, % | Hdaf, % | Ndaf, % | Std, % | Odaf, % | |
Каменный уголь марки “Д” | 10.09 | 8.52 | 40.19 | 24.82 | 79.31 | 4.49 | 1.84 | 0.87 | 12.70 |
Хвоя кедра | 58.68 | 1.60 | 83.4 | 18.60 | 52.32 | 6.39 | 0.24 | 0.01 | 40.70 |
Рис. 2. Схема экспериментальной установки по определению времен задержки зажигания водоугольных суспензий (1 – металлический держатель, 2 – капля ВУС, 3 – блок управления печью, 4 – высокотемпературная печь, 5 – подвижная платформа, 6 – высокоскоростная камера, 7 – направляющие рейки подвижной платформы, 8 – вытяжная вентиляция).
Подготовки топлива для экспериментальных исследований осуществлялась в несколько стадий. На начальном этапе хвоя кедра измельчалась в дисковой мельнице. Затем отправлялась на вибросито, где просеивалась через сито с размером ячейки 90 мкм. Параллельно осуществлялось дробление угля. Крупнокусковой уголь марки “Д” измельчались в щековой дробилке до фракции частиц δ ≈ 30 мм. Далее угольная крошка подвергалась доизмельчению в шаровой мельнице. Угольная пыль также просеивалась через вибросито с размером ячейки 90 микрон. Просев угля и хвои кеда смешивались с водой в соответствии с заданными массовыми концентрациями в гомогенизаторе. Суспензия доводилась до гомогенного (однородного) состояния. Для предотвращения расслоения ВУС перемешивалось каждые 10 мин.
Экспериментальные исследования процессов зажигания одиночных капель (на начальном этапе) водоугольных суспензий проводились на стенде, приведенном на рис. 2. Эксперименты проходили по следующей схеме: на металлический держатель (1) наносили каплю ВУС (2), далее капля вводилась в высокотемпературную печь (4). Температура окислителя (воздуха) внутри печи регулировалась при помощи блока управления (3). Нагревательная система находилась на подвижной платформе (5), которая перемещалась по направляющим рейкам (6). Процессы термической подготовки и последующего зажигания ВУС регистрировались при помощи высокоскоростной видеокамеры (7).
Процесс зажигания можно разделить на несколько последовательных этапов (рис. 3): (а) – начало теплового воздействия (на данном этапе происходит инертный нагрев капли ВУС, испарения влаги с приповерхностного слоя, термическое разложение основных компонентов органической массы топлива); (б) – начало процесса горения (момент зажигания); (в) – развитое газофазное горение частицы ВУТ; (г) – горение углеродного остатка. Период времени от момента ввода капли топлива в высокотемпературную среду до момента ее зажигания (появление первых очагов пламени), является временем задержки зажигания (tign).
Рис. 3. Основные этапы зажигания и горения водоугольной суспензии (уголь Д 46%, свежая хвоя кедра 4%, 50% вода) с характерным начальным размером 3 мм в высокотемпературной среде (Tg = 1273 К).
Методика обработки экспериментальных исследований
При обработке результатов, полученных в ходе эксперимента, особое внимание уделялось влиянию различного рода неопределенностей. Экспериментальные исследования проводились в идентичных условиях не менее трех раз при определении влажности древесины и не менее десяти раз при определении времен задержки зажигания ВУС. Для оценки случайных отклонений (на примере времен задержки зажигания) сначала определяли среднее значения измеряемой величины (, где время задержки зажигания ВУС), далее рассчитывалась среднеквадратичные отклонения серии измерений , на заключительном этапе определяли доверительный интервал времен задержки зажигания , где – коэффициент Стьюдента (α = 0.95 – доверительная вероятность, n – число экспериментов). Доверительный интервал для времен задержки зажигания ВУС ± 9.6%, для времени сушки хвои кедра ± 4.7%.
Результаты экспериментальных исследований
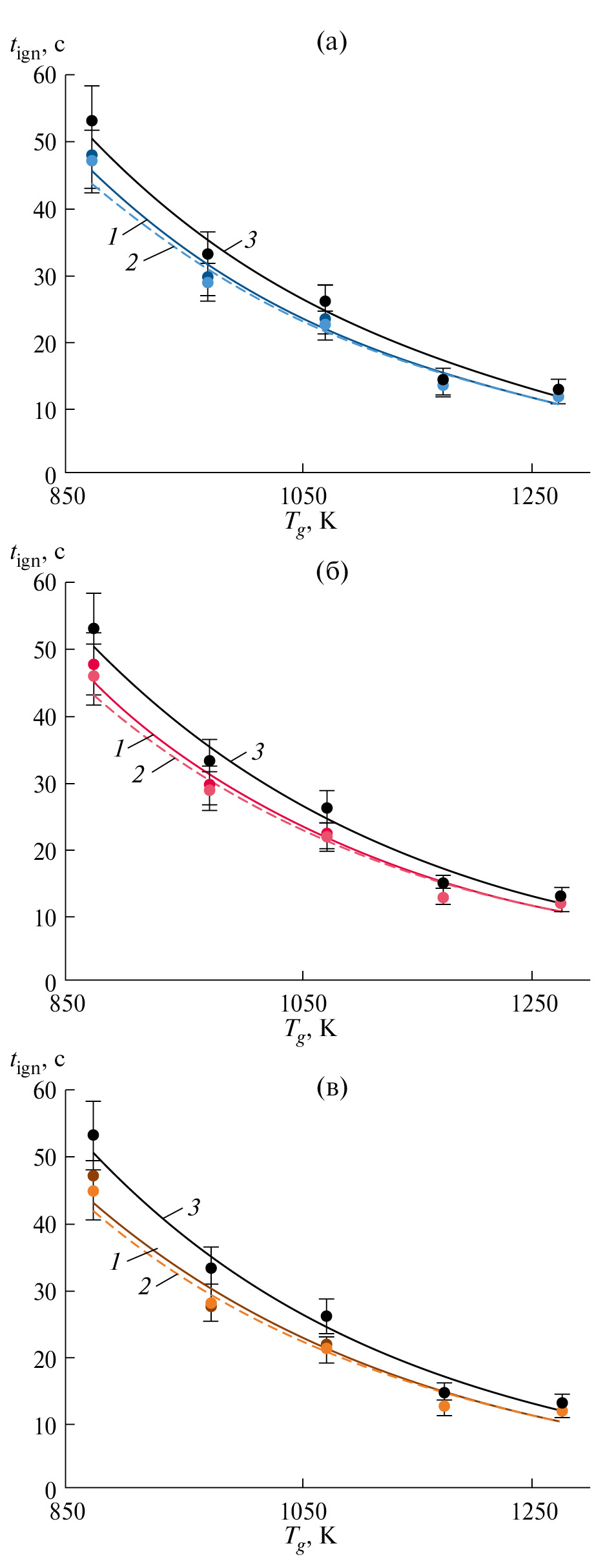
Влияние начальной влажности хвои кедра на процессы зажигания водоугольных суспензий. В ходе проведения экспериментальных исследований была выполнена оценка влияния начальной влажности, ускоряющей процесс зажигания добавки (хвои кедра) на временные характеристики зажигания водоугольных топлив. Полученные результаты представлены на рис. 4.
Анализ результатов экспериментальных исследований, приведенных на рис. 4, показывает, что добавление в состав хвои кедра приводит к снижению времен задержки зажигания по сравнению с ВУС (3) с концентрацией 50% вода/50% уголь. Добавление 2% хвои приводит к снижению tign в среднем на 11%, добавление 4% – на 15%, 6% – на 19% по сравнению с ВУС без добавок. Уменьшение времени протекания процесса зажигания связано с тем, что хвоя кедра богата летучими. В результате на этапе термической подготовки в область вблизи частицы приток горючих газов (продуктов термического разложения органической массы топлива угля и хвои) возрастает. Последние при достижения критических (по условиям зажигания) значений концентраций и температур воспламеняются. Это приводит к тому, что температура вблизи частицы возрастает и процессы термической подготовки интенсифицируются.
Рис. 4. Зависимости времен задержки зажигания водоугольных топлив от температуры окислительной среды при различной влажности растительной компоненты (1 – естественная, 2 – сухая) и различных массовых концентрациях (1 – 50% вода, 50% уголь марки Д, а – 50% вода, 48% уголь марки Д, 2% хвоя кедра, б – 50% вода, 46% уголь марки Д, 4% хвоя кедра, в – 50% вода, 44% уголь марки Д, 6% хвоя кедра).
Рис. 5. Зависимость времен задержки зажигания от характерного размера капли ВУТ (50% вода, 46% уголь, 6% хвоя кедра), при различной тонине помола хвои (Tg = 1073 K).
По результатам экспериментальных исследований установлено, что времена задержки зажигания водоугольных суспензий с добавлением сухой хвои отличаются незначительно (не более 4%) от tign ВУС с добавлением свежесрезанной хвои. Последнее, скорее всего, вызвано тем, что в составе водоугольной суспензии имеется вода (50%), на испарение которой приходится порядка 90% [8] времени термической подготовки топлива. Содержание хвои кедра в ВУС составляет до 6% по массе топлива и не оказывает значимого влияния на этап термической подготовки (вне зависимости от того свежесрезанная это хвоя или опавшая).
Рис. 6. Зависимость изменения массы хвои кедра (а – свежесрезанной, б – опавшей) от времени нахождения в сушильном шкафу t при температуре 373 К.
По результатам проведенных экспериментов можно сделать вывод о целесообразности использования в качестве ускоряющей процесс зажигания добавки лесного опада, так и кроны деревьев, которая отделяется на лесозаготовительных предприятия и в дальнейшем практически не перерабатывается.
Влияние дисперсности хвои кедра на временные характеристики зажигания. Важной характеристикой водоугольного топлива является тонина помола исходных компонентов (угля и хвои кедра). Результаты по влиянию дисперсности хвои на интегральные характеристики зажигания приведены на рис. 5.
Анализ экспериментальных исследований, приведенных на рис. 1, показал, что дисперсность ускоряющей процесс зажигания добавки (хвои кедра) оказывает значимое влияние на интегральные характеристики зажигания. Данная зависимость обусловлена тем, что уменьшение дисперсности хвои кедра в составе топлива приводит к увеличению площади нагрева частицы ВУТ и, соответственно, более интенсивному притоку горючих газов в область вблизи частицы, что приводит к снижению времен задержки зажигания ВУТ.
Времена дегидратации хвои кедра. Другой важной частью экспериментальных исследований было изучение процесса дегидратации хвои. На рис. 6 представлено изменение массы исследуемых образцов в процессе сушки хвои.
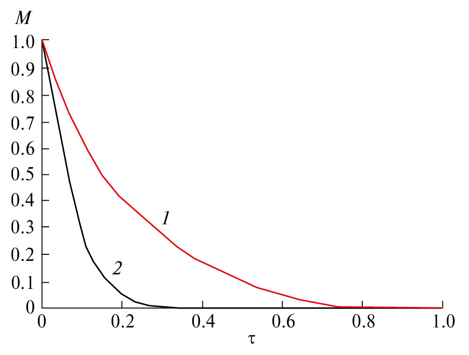
Влажность хвои определяли по формуле , где mв, г – масса хвои загруженной (до сушки) в поддон, mс, г – масса хвои после сушки. Из анализа зависимостей, приведенных на рис. 6 видно, что влагосодержание свежесрезанной хвои значительно выше, чем у относительно “сухой” опавшей. Установлено, что время, затрачиваемое на удаление влаги из свежесрезанной хвои кедра, составляет 2 ч, а для сушки опавшей хвои ≈0.4 ч (в 5 раз меньше по сравнению со свежесрезанной).
Полученные результаты влагосодержания хвои кедра представлены в табл. 3.
Полученные результаты хорошо коррелируются с результатами, описанными в [6], и соответствуют влажности хвойных пород древесины.
Динамику сушки хорошо иллюстрирует график в безразмерных осях, представленный на рис. 7 (где , – влажность хвои в конце процесса сушки, – начальная влажность , , – время окончания процесса дегидратации).
Рис. 7. Зависимость изменения безразмерной массы М хвои кедра (1 – свежесрезанной, 2 – опавшей) от безразмерного времени нахождения в сушильном шкафу τ при температуре 373 К.
Анализ зависимостей, приведенных на рис. 6, показывает, что дегидратация опавшей хвои происходит с большей скоростью, о чем свидетельствует вид кривой 1. Последнее вызвано тем, что в опавшей хвое содержание влаги значительно меньше, так как отсутствует трансперация, а также под воздействием внешних факторов происходит постепенное высыхание хвои.
Другой немаловажной величиной, характеризующей эффективность сушки хвои кедра, является скорость испарения влаги . Последняя позволяет оценить затраты энергии ( (где r – теплота парообразования 2257 кДж/кг)) на всем этапе термической подготовки хвои кедра. Зависимости скорости и теплоты затрачиваемой на сушку хвои от времени приведены на рис. 8. Анализ результатов показал, что скорость испарения влаги является максимальной на начальном этапе сушки, с течением времени скорость испарения падает (по мере потери влаги в хвое). На основании полученных результатов можно оценить удельную энергию, затрачиваемую на этапе подготовки хвои кедра к сжиганию . Таким образом, установлено, что затрачиваемая энергия на сушку 1 кг хвои кедра составляет 1.38 МДж/кг для опавшей и 2.02 МДж/кг – для свежесрезанной хвои.
Заключение
Экспериментальные исследования, приведенные в [8], показали, что вид биомассы не оказывает значимого влияния на времена задержки зажигания водоугольных суспензий. Соответственно можно сделать вполне обоснованный вывод, что нет необходимости в сортировке горючего. Последнее позволяет исключить процесс сушки и сортировки древесной биомассы из производственного цикла, позволяя сократить финансовые затраты на этапе топливоприготовления, что в конечном счете позволит снизить себестоимость отпускаемой энергии. По результатам экспериментальных исследований установлено, что начальная влажность хвои кедра не оказывает значимого влияния на временные характеристики зажигания (различие не превышают 4%) водоугольных топлив, но добавление хвои кедра приводит к снижению времен задержки зажигания до 19% по сравнению с ВУТ без добавок.
Рис. 8. Зависимость скорости (а) и мощности (б) затрачиваемой на сушку хвои кедра (1 – свежесрезанной, 2 – опавшей) от времени нахождения в сушильном шкафу t при температуре 373 К.
Финансирование работы
Исследование выполнено за счет гранта Российского научного фонда (2.0047.РНФ.2022 (РНФ 22-79-00223)).
Конфликт интересов
Авторы данной работы заявляют, что у них нет конфликта интересов.
About the authors
D. Yu. Malyshev
National Research Tomsk Polytechnic University
Author for correspondence.
Email: dmitry.mlv@gmail.com
School of Energy Engineering
Russian Federation, Tomsk, 634050Zh. A. Kostoreva
National Research Tomsk Polytechnic University
Email: zhanna.kostoreva@yandex.ru
School of Energy Engineering
Russian Federation, Tomsk, 634050M. S. Tamashevich
National Research Tomsk Polytechnic University
Email: maksimtamashevich@mail.ru
School of Energy Engineering
Russian Federation, Tomsk, 634050A. S. Poznakharev
National Research Tomsk Polytechnic University
Email: asp71@tpu.ru
School of Energy Engineering
Russian Federation, Tomsk, 634050References
- Рахманкулов Д.Л., Николаева С.В., Латыпова Ф.Н. и др. // Баш. Хим. Ж. 2009. Том 16. № 2. С. 22.
- Nyashina G.S., Kuznetsov G.V., Strizhak P.A. // J. Clean. Prod. 2018. V. 172. P. 1730.
- Syrodoy S.V., Kuznetsov G.V., Zhakharevich A.V. et al. // Combust. Flame. 2017. V. 180. P. 196.
- Shen DK., Gu S., Luo K.H. et al. // Fuel. 2009. V. 88. Р. 1.
- Кузнецов, Г.В., Барановский. Н.В. Прогноз Возникновения лесных пожаров и их экологических последствий. Т.: Изд-во СО РАН, 2009. 301 с.
- Рыжова Н.В., Шутов В.В. Физика древесины: учебное пособие. К.: КГТУ, 2009. 75 с.
- Бех И.А., Кривец С.А., Бисирова Э.М. Кедр — жемчужина Сибири. Т.: Печатная мануфактура, 2009. 50 с.
- Malyshev D.Yu., Kuznetsov G.V., Syrodoy S.V., et al. // Appl. Therm. Eng. 2020. V. 170. P. 1.
Supplementary files










