СОСТАВ ОРГАНИЧЕСКИХ СОЕДИНЕНИЙ ТОРФОВ РАЗНОГО ТИПА ЮЖНО-ТАЕЖНОЙ ПОДЗОНЫ ЗАПАДНОЙ СИБИРИ
- Авторы: Серебренникова О.В.1, Русских И.В.1, Стрельникова Е.Б.1, Харанжевская Ю.А.2,3, Федоров Д.В.1
-
Учреждения:
- ФГБУН Институт химии нефти СО РАН (ИХН СО РАН)
- Сибирский научно-исследовательский институт сельского хозяйства и торфа – филиал СФНЦА РАН
- Национальный исследовательский Томский государственный университет
- Выпуск: № 2-3 (2023)
- Страницы: 26-34
- Раздел: Статьи
- URL: https://journals.rcsi.science/0023-1177/article/view/140045
- DOI: https://doi.org/10.31857/S0023117723020135
- EDN: https://elibrary.ru/BPPXAE
- ID: 140045
Цитировать
Полный текст
Аннотация
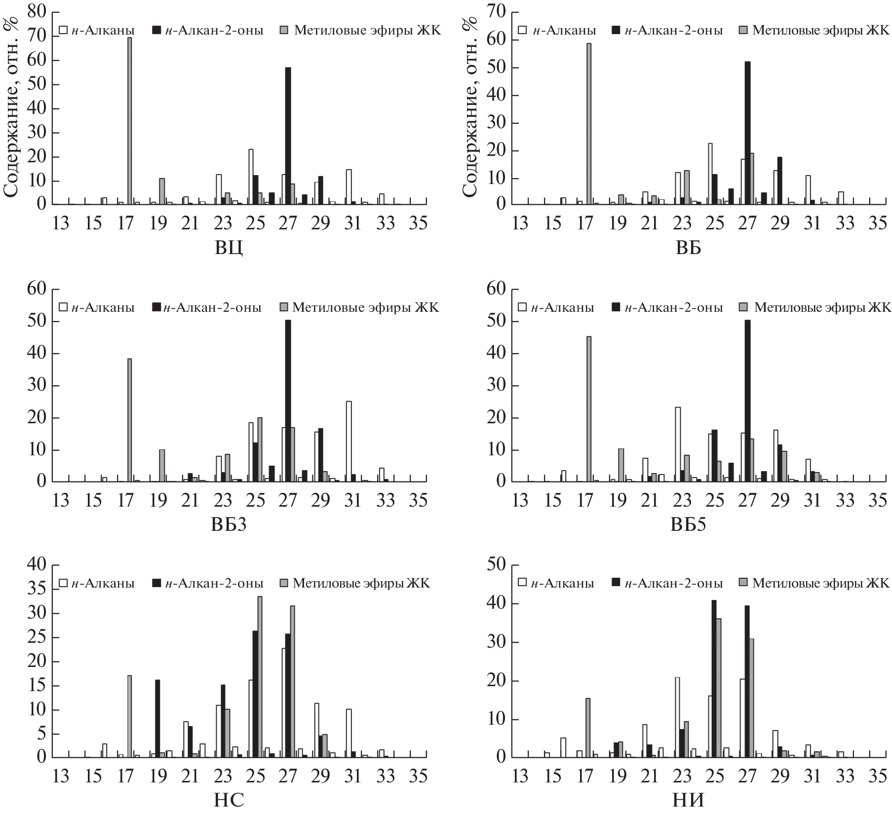
С использованием хромато-масс-спектрометрического метода исследованы ациклические (н-алканы, н-алкан-2-оны, жирные кислоты, метиловые эфиры жирных кислот, н-альдегиды, сквален, фитон и изомеры фитола) и циклические (серии ди- и тритерпеноидов, стероидов и токоферолов, фитонадион и дигидроактинидиолид) органические соединения в торфах верховых и низинных болот южно-таежной подзоны Западной Сибири, многие из которых являются биологически активными. В низинных торфах преобладают ациклические структуры, среди которых доминируют н-алкан-2-оны, в отличие от верховых, в которых преобладают н-алканы. Распределение пентациклических тритерпеноидов, н-алканов, н-алкан-2-онов и метиловых эфиров жирных кислот во многом определяется ботаническим составом торфа, индивидуальный состав стероидов – уровнем минерализации и окислительно-восстановительным потенциалом болотных вод.
Ключевые слова
Об авторах
О. В. Серебренникова
ФГБУН Институт химии нефти СО РАН (ИХН СО РАН)
Email: ovs49@yahoo.com
Россия, 634055, Томск
И. В. Русских
ФГБУН Институт химии нефти СО РАН (ИХН СО РАН)
Email: rus@ipc.tsc.ru
Россия, 634055, Томск
Е. Б. Стрельникова
ФГБУН Институт химии нефти СО РАН (ИХН СО РАН)
Email: seb@ipc.tsc.ru
Россия, 634055, Томск
Ю. А. Харанжевская
Сибирский научно-исследовательский институт сельского хозяйства и торфа – филиал СФНЦА РАН; Национальный исследовательский Томский государственный университет
Email: kharan@yandex.ru
Россия, 634050, Томск; Россия, 634050, Томск
Д. В. Федоров
ФГБУН Институт химии нефти СО РАН (ИХН СО РАН)
Автор, ответственный за переписку.
Email: kharan@yandex.ru
Россия, 634055, Томск
Список литературы
- Материалы Всероссийской с международным участием X школы молодых ученых “Болота и биосфера”. Тверь, 2018. 311 с.
- Анисимова О.В., Никитина Н.Ю., Маслов С.Г. // Матер. XIX Междунар. научн.-практ. конф. студентов и молодых ученых имени профессора Л.П. Кулева “Химия и химическая технология в XXI веке”. Томск, 2018. С. 343.
- Анисимова О.В., Денисенко Д.А., Маслов С.Г. // Матер. Всерос. с международным участием X школы молодых ученых “Болота и биосфера”. Тверь, 2018. С. 115.
- ГОСТ 28245.2-89. Торф. Методы определения ботанического состава и степени разложения. М.: Стандартинформ, 2006. 7 с.
- ГОСТ 31859-2012. Вода. Метод определения химического потребления кислорода. М.: Стандартинформ, 2014. 8 с.
- Сукачев В.Н. Проблемы фитоценологии. Избр. тр. в 3 томах. Л.: Наука, 1975. Т. 3. 543 с.
- Pancost R.D., Baas M., van Geel B., Sinninghe Damste J.S. // Org. Geochem. 2002. V. 33. P. 675.
- Bingham E.M., McClymont E.L., Valiranta M., Mauquoy D., Roberts Z., Chambers F.M., Pancost R.D., Evershed R.P. // Org. Geochem. 2010. V. 41. P. 214.
- Серебренникова О.В., Дучко М.А., Коронатова Н.Г., Стрельникова Е.Б. // ХТТ. 2018. № 1. С. 38. [Solid Fuel Chemistry, 2018, vol. 52, no. 1, p. 36. https://doi.org/10.7868/S00231177180185].https://doi.org/10.3103/S0361521918010081
- Стрельникова Е.Б., Русских И.В., Прейс Ю.И. // ХТТ. 2021. № 5 С. 56. [Solid Fuel Chemistry. 2021, vol. 55, no. 5, p. 321. https://doi.org/10.3103/S0361521921040066]https://doi.org/10.31857/S002311772104006X
- Серебренникова О.В., Стрельникова Е.Б., Русских И.В. // Химия растительного сырья. 2019. № 3. С. 225. https://doi.org/10.14258/jcprm.2019034558
- Naafsa B.D.A., Inglisa G.N., Blewetta J., McClymontc E.L., Lauretanoa V., Xied S., Eversheda R.P., Pancosta R.D. // Glob. Planet. Change. 2019. V. 179. P. 57. https://doi.org/10.1016/j.gloplacha.2019.05.006
- Cheng J.T., Chang S.S., Hsu F.L. // J. Pharm. Pharmacol. 1994. №. 46. C. 469.
- Wafa N., Sofiane G., Ouarda D. // Int. J. Pharma Res. Health Sci. 2017. V. 5. № 3. P. 1698.
- Серебренникова О.В., Гулая Е.В., Стрельникова Е.Б., Кадычагов П.Б., Прейс Ю.И., Дучко М.А. // Химия растительного сырья. 2014. № 1. С. 257. https://doi.org/10.14258/jcprm.1401257
- Donadio G., Chini M.G., Parisi V., Mensitieri F., Malafronte N., Bifulco G., Bisio A., De Tommasi N., Bader A. // J. Nat. Products. 2022. V. 85. № 7. P. 1667. https://doi.org/10.1021/acs.jnatprod.1c01093
- Kudryavtseva A., Krasnov G., Lipatova A., Alekseev B., Maganova F., Shaposhnikov M., Fedorova M., Snezhkina A., Moskalev A. // Oncotarget. 2016. V. 50. № 7. P. 83744. https://doi.org/10.18632/oncotarget.13467
Дополнительные файлы




