Ignition of Coals with Continuous-Wave Lasers at Wavelengths of 450 and 808 nm
- 作者: Aduev B.P.1, Belokurov G.M.1, Liskov I.Y.1, Ismagilov Z.R.1
-
隶属关系:
- Federal Research Center for Coal and Coal Chemistry, Siberian Branch, Russian Academy of Sciences
- 期: 编号 4 (2023)
- 页面: 31-38
- 栏目: Articles
- URL: https://journals.rcsi.science/0023-1177/article/view/140039
- DOI: https://doi.org/10.31857/S0023117723040023
- EDN: https://elibrary.ru/OMAJSW
- ID: 140039
如何引用文章
全文:
详细
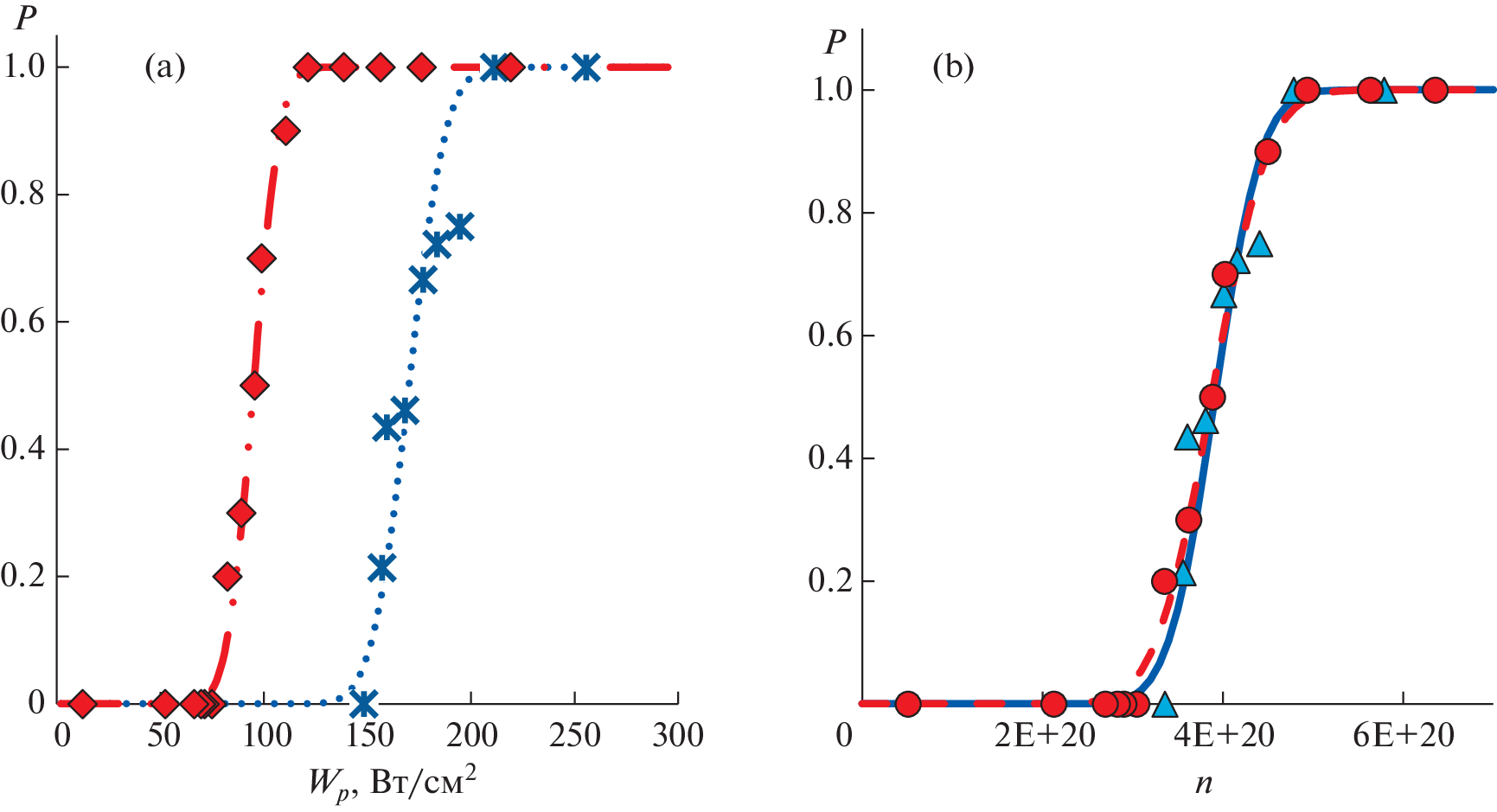
The kinetic and energy characteristics of the ignition of microparticle powders of coals of G (gas), Zh (fat), and K (coking) grades with a bulk density of 0.4 g/cm3 under the action of continuous-wave laser radiation at wavelengths λ = 450 and 808 nm with an exposure time of 1 s were measured. Coals were ignited only under irradiation, and the effect of flame propagation was absent. Ignition delay times were measured as a function of the radiation power density, and the critical values of the coal ignition energy density were determined. Energy consumption for the ignition of coals with radiation at λ = 808 nm was greater than that at λ = 450 nm for all grades of coals. It was established that the absorption of laser radiation by coal samples had a quantum character.
作者简介
B. Aduev
Federal Research Center for Coal and Coal Chemistry, Siberian Branch, Russian Academy of Sciences
Email: lesinko-iuxm@yandex.ru
Kemerovo, 650000 Russia
G. Belokurov
Federal Research Center for Coal and Coal Chemistry, Siberian Branch, Russian Academy of Sciences
Email: lesinko-iuxm@yandex.ru
Kemerovo, 650000 Russia
I. Liskov
Federal Research Center for Coal and Coal Chemistry, Siberian Branch, Russian Academy of Sciences
Email: lesinko-iuxm@yandex.ru
Kemerovo, 650000 Russia
Z. Ismagilov
Federal Research Center for Coal and Coal Chemistry, Siberian Branch, Russian Academy of Sciences
编辑信件的主要联系方式.
Email: lesinko-iuxm@yandex.ru
Kemerovo, 650000 Russia
参考
- Paul L.D., Seeley R.R. // Corrosion. 1991. V. 47. № 2. P. 152. https://doi.org/10.5006/1.3585231
- Askarova A.S., Karpenko E.I., Lavrishcheva Y.I., Messerle V.E., Ustimenko A.B. // IEEE Transactions on Plasma Science. 2007. V. 35. P. 1607. https://doi.org/10.1109/TPS.2007.910142
- Masserle V.E., Karpenko E.I., Ustimenko A.B., Lavrichshev O.A. // Fuel Processing Technology. 2013. V. 107. P. 93. https://doi.org/10.1016/j.fuproc.2012.07.001
- Chen J.C., Taniguchi M., Narato K., Ito K. // Combustion and Flame. 1994. V. 97. № 1. P. 107. https://doi.org/10.1016/0010- 2180(94)90119-8
- Глова A.Ф., Лысиков A.Ю., Зверев М.М. // Квантовая электроника. 2009. Т. 39. № 6. С. 537. [Glova A.F., Lysikov A.Ju., Zverev M.M. // Quantum Electron. 2009. V. 39. № 6. P. 537. https://doi.org/10.1070/QE2009v039n06ABEH013906]
- Taniguchi M., Kobayashi H., Kiyama K., Shimogori Y. // Fuel. 2009. V. 88. № 8. P. 1478–. https://doi.org/10.1016/j.fuel.2009.02.009
- Boiko V.M., Volan’skii P., Klimkin V.F. // Combust. Explos. Shock. Waves. 1981. V. 17. № 5. P. 545. https://doi.org/10.1007/BF00798143
- Phuoc T.X., Mathur M.P., Ekmann J.M. // Combustion and Flame. 1993. V. 93. № 1–2. P. 19. https://doi.org/10.1016/0010- 2180(93)90081-D
- Погодаев В.А. // Физика горения и взрыва. 1984. Т. 20. № 1. С. 51–55. [Pogodaev V.A. // Combustion, Explosion, and Shock Waves. 1984. V. 20. № 1. P. 46. https://doi.org/10.1007/BF00749917]
- Kuzikovskii A.V., Pogodaev V.A. // Combust. Explos. Shock. Waves. 1977. V. 13. № 5. P. 666. https://doi.org/10.1007/BF00742231
- Phuoc T.X., Mathur M.P., Ekmann J.M. // Combustion and Flame. 1993. V. 94. № 4. P. 349. https://doi.org/10.1016/0010- 2180(93)90119-Ng
- Адуев Б.П., Нурмухаметов Д.Р., Нелюбина Н.В., Ковалев Р.Ю., Заостровский А.Н., Исмагилов З.Р. // Химическая физика. 2016. Т. 35. № 12. С. 47. [Aduev B.P., Nurmukhametov D.R., Nelyubina N.V., Kovalev R.Y., Zaostrovskii A.N., Ismagilov Z.R. // Russ. J. Phys. Chem. В. 2016. V. 10. P. 963. https://doi.org/10.1134/S1990793116060154]https://doi.org/10.7868/S0207401X16120025
- Адуев Б.П., Нурмухаметов Д.Р., Ковалев Р.Ю., Крафт Я.В., Заостровский А.Н., Гудилин А.В., Исмагилов З.P. // Оптика и спектроскопия. 2018. Т. 125. № 2. С. 277. [Aduev B.P., Nurmukhametov D.R., Kovalev R.Y., Kraft Ya.V., Zaostrovskii A.N., Ismagilov Z.R., Gudilin A.V. // Opt. Spectrosс. 2018. V. 125. P. 293. https://doi.org/https://doi.org/10.1134/S0030400X18080039]10.1134/S0030400X18080039
- Адуев Б.П., Крафт Я.В., Нурмухаметов Д.Р., Исмагилов З.Р. // Химия в интересах устойчивого развития. 2019. Т. 27. № 6. С. 549. [Aduev B.P., Kraft Y.V., Nurmukhametov D.R., Ismagilov Z.R. // Chem. Sustain. Dev. 2019. V. 27. P. 549. https://doi.org/10.15372/CSD2019172]https://doi.org/10.15372/KhUR2019172
- Адуев Б.П., Нурмухаметов Д.Р., Крафт Я.В., Исмагилов З.P. // Химия в интересах устойчивого развития. 2020. Т. 28. № 6. С. 535. [Aduev B.P., Nurmuhametov D.R., Kraft Y.V., Ismagilov Z.R. // Chem. Sustain. Dev. 2020. V. 28. P. 518. https://doi.org/10.15372/CSD2020260]https://doi.org/10.15372/KhUR2020260
- Адуев Б.П., Нурмухаметов Д.Р., Крафт Я.В., Исмагилов З.P. // Оптика и спектроскопия. 2020. Т. 128. № 12. С. 1898. [Aduev B.P., Nurmukhametov D.R., Kraft Y.V., Ismagilov Z.R. // Opt. Spectrosс. 2020. V. 128 P. 2008. https://doi.org/0.1134/S0030400X20120838]https://doi.org/10.21883/OS.2020.12.50327.187-20
- Адуев Б.П., Нурмухаметов Д.Р., Крафт Я.В., Исмагилов З.P. // Оптика и спектроскопия. 2020. Т. 128. № 3. С. 442. [Aduev B.P., Nurmukhametov D.R., Kraft Y.V., Ismagilov Z.R. // Opt. Spectrosс. 2020. V. 128. P. 429. https://doi.org/10.1134/S0030400X20030029]https://doi.org/10.21883/OS.2020.03.49073.302-19
- Адуев Б.П., Нурмухаметов Д.Р., Крафт Я.В., Исмагилов З.P. // Оптика и спектроскопия. 2022. Т. 130. № 2. P. 1193. https://doi.org/10.21883/OS.2022.08.52905.3750-22
- Адуев Б.П., Нурмухаметов Д.Р., Крафт Я.В., Исмагилов З.Р. // Химическая физика. 2022. Т. 41. № 3. С. 13. [Aduev B.P., Nurmukhametov D.R., Kraft Ya.V., Ismagilov Z.R. // Russ. Phys. Chem. В. 2022. V. 16. P. 227. https://doi.org/10.1134/S1990793122020026]https://doi.org/10.31857/S0207401X22030025
- Адуев Б.П., Нурмухаметов Д.Р., Нелюбина Н.В., Крафт Я.В., Исмагилов З.Р. // Журнал прикладной спектроскопии. 2021. Т. 88. № 4. С. 582. [Aduev B.P., Nurmukhametov D.R., Nelyubina N.V., Kraft Y.V., Ismagilov Z.R. // J. Appl. Spectrosс. 2021. V. 88. P. 761. https://doi.org/10.1007/s10812-021-01237-w]
- Aduev B.P., Kraft Y.V., Nurmukhametov D.R., Ismagilov Z.R. // Combustion Science and Technologythis. 2022. https://doi.org/10.1080/00102202.2022.2075699
- Адуев Б.П., Нурмухаметов Д.Р., Белокуров Г.М., Звеков А.А., Каленский А.В., Никитин А.П., Лисков И.Ю. // Журнал технической физики. 2014. Т. 84. № 9. С. 126. [Aduev B.P., Nurmukhame-tov D.R., Belokurov G.M., Zvekov A.A., Nikitin A.P., Liskov I.Y., Kalenskii A.V. // Technical Physics. 2014. V. 59. № 9. P. 1387. https://doi.org/10.1134/S1063784214090023]
- Адуев Б.П., Нурмухаметов Д.Р., Звеков А.А., Никитин А.П., Нелюбина Н.В., Белокуров Г.М., Каленский А.В. // Приборы и техника эксперимента. 2015. № 6. С. 60. [Aduev B.P., Nurmukhametov D.R., Zvekov A.A., Nikitin A.P., Nelyubina N.V., Belokurov G.M., Kalenskii A.V. // Instrum. Exp. Tech. 2015. V. 58. P. 765. https://doi.org/10.1134/S0020441215050012]https://doi.org/10.7868/S0032816215050018
- Aduev B.P., Belokurov G.M., Liskov I.Yu., Nurmukhametov D.R., Ismagilov Z.R. // Eurasian Chem.-Technol. J. 2022. V. 24. P. 93. https://doi.org/10.18321/ectj1321
补充文件






